Relationship between resting augmentation index and spontaneous cardiac baroreflex sensitivity during handgrip exercise in postmenopausal women.

IF 1.9 4区 医学 Q2 BIOLOGY
E Prodel, M F S C Moreira, M L Gondim, H N M Rocha, P A C Mira, A C L Nobrega
{"title":"Relationship between resting augmentation index and spontaneous cardiac baroreflex sensitivity during handgrip exercise in postmenopausal women.","authors":"E Prodel, M F S C Moreira, M L Gondim, H N M Rocha, P A C Mira, A C L Nobrega","doi":"10.1590/1414-431X2024e14152","DOIUrl":null,"url":null,"abstract":"<p><p>The stiffening of the conductance arteries is a hallmark of ageing and increases drastically after menopause. Therefore, the augmentation index (AIx), a surrogate for arterial stiffness, could be related to the decline in baroreflex sensitivity. We sought to investigate the relationship between resting AIx and spontaneous cardiac baroreflex sensitivity (cBRS) during handgrip exercise in ageing women. Thirteen young women (YW: 24±5 years; 24±2 kg/m2) and nine postmenopausal women (PMW: 60±5 years; 26±3 kg/m2) underwent the protocol, which consisted of 10 min of supine resting followed by 3 min of static handgrip exercise at 40% of the maximal voluntary force. The AIx was provided by the aortic pressure waveform and cBRS was calculated using the sequence technique, and vagal activity was accessed via heart rate variability using the root mean square of successive differences (RMSSD) index. Resting AIx was higher in PMW compared to YW (YW: 8±10%; PMW: 23±8%; P<0.01), while the cBRS (YW: 16±12 ms/mmHg; PMW: 10±5 ms/mmHg; P=0.08) and RMSSD (YW: 46±35 ms; PMW: 34±12 ms; P=0.26) were similar in YW and PMW. At rest, there was no significant (P>0.05) relationship between the AIx and cBRS in YW and PMW. However, in PMW, a negative (slope=-0.22) and strong (r=-0.70; P=0.03) relationship was observed between AIx and cBRS for the increment of blood pressure during the handgrip exercise. The stiffening of the arterial tree is one possible mechanism to explain the decrease of spontaneous cardiac baroreflex sensitivity during exercise in postmenopausal women.</p>","PeriodicalId":9088,"journal":{"name":"Brazilian Journal of Medical and Biological Research","volume":"58 ","pages":"e14152"},"PeriodicalIF":1.9000,"publicationDate":"2025-02-03","publicationTypes":"Journal Article","fieldsOfStudy":null,"isOpenAccess":false,"openAccessPdf":"https://www.ncbi.nlm.nih.gov/pmc/articles/PMC11793149/pdf/","citationCount":"0","resultStr":null,"platform":"Semanticscholar","paperid":null,"PeriodicalName":"Brazilian Journal of Medical and Biological Research","FirstCategoryId":"3","ListUrlMain":"https://doi.org/10.1590/1414-431X2024e14152","RegionNum":4,"RegionCategory":"医学","ArticlePicture":[],"TitleCN":null,"AbstractTextCN":null,"PMCID":null,"EPubDate":"2025/1/1 0:00:00","PubModel":"eCollection","JCR":"Q2","JCRName":"BIOLOGY","Score":null,"Total":0}
引用次数: 0

Abstract

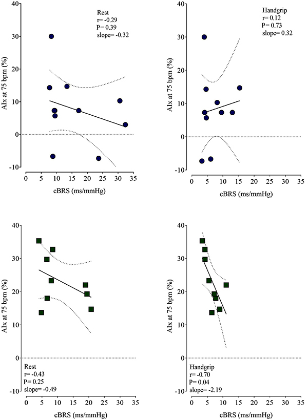
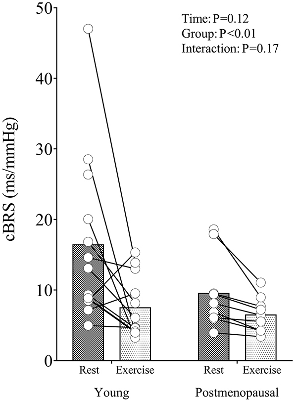
The stiffening of the conductance arteries is a hallmark of ageing and increases drastically after menopause. Therefore, the augmentation index (AIx), a surrogate for arterial stiffness, could be related to the decline in baroreflex sensitivity. We sought to investigate the relationship between resting AIx and spontaneous cardiac baroreflex sensitivity (cBRS) during handgrip exercise in ageing women. Thirteen young women (YW: 24±5 years; 24±2 kg/m2) and nine postmenopausal women (PMW: 60±5 years; 26±3 kg/m2) underwent the protocol, which consisted of 10 min of supine resting followed by 3 min of static handgrip exercise at 40% of the maximal voluntary force. The AIx was provided by the aortic pressure waveform and cBRS was calculated using the sequence technique, and vagal activity was accessed via heart rate variability using the root mean square of successive differences (RMSSD) index. Resting AIx was higher in PMW compared to YW (YW: 8±10%; PMW: 23±8%; P<0.01), while the cBRS (YW: 16±12 ms/mmHg; PMW: 10±5 ms/mmHg; P=0.08) and RMSSD (YW: 46±35 ms; PMW: 34±12 ms; P=0.26) were similar in YW and PMW. At rest, there was no significant (P>0.05) relationship between the AIx and cBRS in YW and PMW. However, in PMW, a negative (slope=-0.22) and strong (r=-0.70; P=0.03) relationship was observed between AIx and cBRS for the increment of blood pressure during the handgrip exercise. The stiffening of the arterial tree is one possible mechanism to explain the decrease of spontaneous cardiac baroreflex sensitivity during exercise in postmenopausal women.

Abstract Image

Abstract Image

绝经后妇女握力运动中静息增强指数与自发性心脏压力反射敏感性的关系。
传导动脉硬化是衰老的标志,绝经后会急剧增加。因此,增强指数(AIx),动脉硬度的替代指标,可能与气压反射敏感性的下降有关。我们试图研究老年女性握力运动时静息AIx与自发性心脏压力反射敏感性(cBRS)之间的关系。年轻女性13例(年龄:24±5岁;24±2 kg/m2)和9名绝经后妇女(PMW: 60±5岁;(26±3 kg/m2),其中包括10分钟仰卧休息,然后以40%的最大自主力进行3分钟的静态握力练习。AIx由主动脉压波形提供,cBRS使用序列技术计算,迷走神经活动通过心率变异性使用连续差异均方根(RMSSD)指数获得。PMW组的静息AIx高于YW组(YW: 8±10%;麻省理工:23±8%;YW和PMW患者的AIx与cBRS的关系(P0.05)。然而,在PMW中,负(斜率=-0.22)和强(r=-0.70;P=0.03), AIx与cBRS对握力运动时血压升高的影响呈正相关。动脉树的硬化是解释绝经后妇女运动时自发性心脏压力反射敏感性降低的一种可能机制。
本文章由计算机程序翻译,如有差异,请以英文原文为准。
求助全文
约1分钟内获得全文 求助全文
来源期刊
CiteScore
4.00
自引率
0.00%
发文量
129
审稿时长
2 months
期刊介绍: The Brazilian Journal of Medical and Biological Research, founded by Michel Jamra, is edited and published monthly by the Associação Brasileira de Divulgação Científica (ABDC), a federation of Brazilian scientific societies: - Sociedade Brasileira de Biofísica (SBBf) - Sociedade Brasileira de Farmacologia e Terapêutica Experimental (SBFTE) - Sociedade Brasileira de Fisiologia (SBFis) - Sociedade Brasileira de Imunologia (SBI) - Sociedade Brasileira de Investigação Clínica (SBIC) - Sociedade Brasileira de Neurociências e Comportamento (SBNeC).
×
引用
GB/T 7714-2015
复制
MLA
复制
APA
复制
导出至
BibTeX EndNote RefMan NoteFirst NoteExpress
×
提示
您的信息不完整,为了账户安全,请先补充。
现在去补充
×
提示
您因"违规操作"
具体请查看互助需知
我知道了
×
提示
确定
请完成安全验证×
copy
已复制链接
快去分享给好友吧!
我知道了
右上角分享
点击右上角分享
0
联系我们:info@booksci.cn Book学术提供免费学术资源搜索服务,方便国内外学者检索中英文文献。致力于提供最便捷和优质的服务体验。 Copyright © 2023 布克学术 All rights reserved.
京ICP备2023020795号-1
ghs 京公网安备 11010802042870号
Book学术文献互助
Book学术文献互助群
群 号:604180095
Book学术官方微信