Effect of Preoperative Pulmonary Hypertension on the Course of Right Ventricular Function: A Three-dimensional Echocardiographic Study in Valvular Surgery Patients.

IF 1 Q4 CARDIAC & CARDIOVASCULAR SYSTEMS
Journal of Cardiovascular Echography Pub Date : 2024-10-01 Epub Date: 2024-12-19 DOI:10.4103/jcecho.jcecho_38_24
Shinya Ito, Kenji Yoshitani, Satsuki Fukushima, Hitoshi Matsuda
{"title":"Effect of Preoperative Pulmonary Hypertension on the Course of Right Ventricular Function: A Three-dimensional Echocardiographic Study in Valvular Surgery Patients.","authors":"Shinya Ito, Kenji Yoshitani, Satsuki Fukushima, Hitoshi Matsuda","doi":"10.4103/jcecho.jcecho_38_24","DOIUrl":null,"url":null,"abstract":"<p><strong>Context: </strong>Postoperative right heart failure is a poor prognostic factor after cardiac surgery. However, the factors that influence perioperative right ventricular (RV) function remain unknown. This study investigated whether preoperative pulmonary hypertension (PH) affects changes in RV systolic function during the perioperative period.</p><p><strong>Aims: </strong>This study aimed to determine the effect of preoperative PH on changes in RV systolic function in patients undergoing aortic or mitral valve surgery.</p><p><strong>Settings and design: </strong>This was a retrospective review of three-dimensional echocardiographic datasets of 157 patients undergoing aortic or mitral valve surgery.</p><p><strong>Materials and methods: </strong>Patients were classified into the PH (<i>n</i> = 105) or non-PH (<i>n</i> = 51) group based on preoperative right heart catheterization findings. RV ejection fraction and RV longitudinal strain (RVLS) of the free wall and septum were calculated using semiautomated image analysis software at four time points: before surgery, end of surgery, 3 months after surgery, and 1 year after surgery.</p><p><strong>Statistical analysis used: </strong>A mixed-effects model was used to compare changes in RV function between groups.</p><p><strong>Results: </strong>Over 1 year, no significant differences in trends were observed between groups for any of the parameters. However, a significant deterioration in free wall RVLS was observed in the non-PH group when focusing on the change from baseline to 1 year (<i>P</i> value for interaction = 0.013).</p><p><strong>Conclusions: </strong>In patients undergoing valvular surgery, the presence of preoperative PH did not significantly influence changes in RV function throughout the perioperative period.</p>","PeriodicalId":15191,"journal":{"name":"Journal of Cardiovascular Echography","volume":"34 4","pages":"170-178"},"PeriodicalIF":1.0000,"publicationDate":"2024-10-01","publicationTypes":"Journal Article","fieldsOfStudy":null,"isOpenAccess":false,"openAccessPdf":"https://www.ncbi.nlm.nih.gov/pmc/articles/PMC11784735/pdf/","citationCount":"0","resultStr":null,"platform":"Semanticscholar","paperid":null,"PeriodicalName":"Journal of Cardiovascular Echography","FirstCategoryId":"1085","ListUrlMain":"https://doi.org/10.4103/jcecho.jcecho_38_24","RegionNum":0,"RegionCategory":null,"ArticlePicture":[],"TitleCN":null,"AbstractTextCN":null,"PMCID":null,"EPubDate":"2024/12/19 0:00:00","PubModel":"Epub","JCR":"Q4","JCRName":"CARDIAC & CARDIOVASCULAR SYSTEMS","Score":null,"Total":0}
引用次数: 0

Abstract

Context: Postoperative right heart failure is a poor prognostic factor after cardiac surgery. However, the factors that influence perioperative right ventricular (RV) function remain unknown. This study investigated whether preoperative pulmonary hypertension (PH) affects changes in RV systolic function during the perioperative period.

Aims: This study aimed to determine the effect of preoperative PH on changes in RV systolic function in patients undergoing aortic or mitral valve surgery.

Settings and design: This was a retrospective review of three-dimensional echocardiographic datasets of 157 patients undergoing aortic or mitral valve surgery.

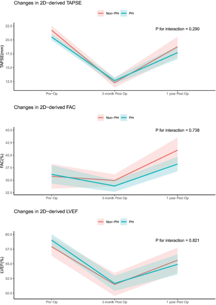
Materials and methods: Patients were classified into the PH (n = 105) or non-PH (n = 51) group based on preoperative right heart catheterization findings. RV ejection fraction and RV longitudinal strain (RVLS) of the free wall and septum were calculated using semiautomated image analysis software at four time points: before surgery, end of surgery, 3 months after surgery, and 1 year after surgery.

Statistical analysis used: A mixed-effects model was used to compare changes in RV function between groups.

Results: Over 1 year, no significant differences in trends were observed between groups for any of the parameters. However, a significant deterioration in free wall RVLS was observed in the non-PH group when focusing on the change from baseline to 1 year (P value for interaction = 0.013).

Conclusions: In patients undergoing valvular surgery, the presence of preoperative PH did not significantly influence changes in RV function throughout the perioperative period.

Abstract Image

Abstract Image

Abstract Image

术前肺动脉高压对心脏瓣膜手术患者右心室功能的影响:三维超声心动图研究。
背景:术后右心衰是心脏手术后预后不良的因素。然而,影响围手术期右心室功能的因素尚不清楚。本研究探讨术前肺动脉高压(PH)是否影响围手术期右心室收缩功能的变化。目的:本研究旨在确定术前PH对主动脉瓣或二尖瓣手术患者右心室收缩功能变化的影响。背景和设计:这是一项对157例接受主动脉瓣或二尖瓣手术患者的三维超声心动图数据集的回顾性研究。材料与方法:根据术前右心导管检查结果将患者分为PH组(105例)和非PH组(51例)。采用半自动图像分析软件在术前、术后、术后3个月、术后1年4个时间点计算游离壁和中隔右心室射血分数和右心室纵向应变(RVLS)。采用统计学分析:采用混合效应模型比较两组间RV功能的变化。结果:在1年多的时间里,各组之间的任何参数的趋势都没有显著差异。然而,当关注从基线到1年的变化时,非ph组观察到自由壁RVLS显著恶化(相互作用的P值= 0.013)。结论:在接受瓣膜手术的患者中,术前PH的存在对整个围手术期右心室功能的变化没有显著影响。
本文章由计算机程序翻译,如有差异,请以英文原文为准。
求助全文
约1分钟内获得全文 求助全文
来源期刊
Journal of Cardiovascular Echography
Journal of Cardiovascular Echography CARDIAC & CARDIOVASCULAR SYSTEMS-
CiteScore
1.40
自引率
12.50%
发文量
27
×
引用
GB/T 7714-2015
复制
MLA
复制
APA
复制
导出至
BibTeX EndNote RefMan NoteFirst NoteExpress
×
提示
您的信息不完整,为了账户安全,请先补充。
现在去补充
×
提示
您因"违规操作"
具体请查看互助需知
我知道了
×
提示
确定
请完成安全验证×
copy
已复制链接
快去分享给好友吧!
我知道了
右上角分享
点击右上角分享
0
联系我们:info@booksci.cn Book学术提供免费学术资源搜索服务,方便国内外学者检索中英文文献。致力于提供最便捷和优质的服务体验。 Copyright © 2023 布克学术 All rights reserved.
京ICP备2023020795号-1
ghs 京公网安备 11010802042870号
Book学术文献互助
Book学术文献互助群
群 号:604180095
Book学术官方微信