Melanoma in a Colombian population: a survival study.

IF 0.7 Q4 ONCOLOGY
Melanoma Management Pub Date : 2024-12-01 Epub Date: 2024-08-05 DOI:10.1080/20450885.2024.2382079
Mauricio Arias Flórez, Germán Alberto Moreno Gómez, Mateo Aguirre Flórez, Isaac López Bueno, Juanita Moreno Gómez, Mateo Moreno Gómez, Juan José Restrepo Gutiérrez
{"title":"Melanoma in a Colombian population: a survival study.","authors":"Mauricio Arias Flórez, Germán Alberto Moreno Gómez, Mateo Aguirre Flórez, Isaac López Bueno, Juanita Moreno Gómez, Mateo Moreno Gómez, Juan José Restrepo Gutiérrez","doi":"10.1080/20450885.2024.2382079","DOIUrl":null,"url":null,"abstract":"<p><p><b>Background:</b> Melanoma, the deadliest skin cancer, presents significant challenges globally. This study examines survival factors among patients treated at a high-complexity oncology center in Colombia's coffee-growing region. <b>Methods:</b> Records from 2010 to 2021 were analyzed, capturing socio-demographics, clinical variables and survival outcomes via Kaplan-Meier and Cox regression. <b>Results:</b> Among 766 patients, factors influencing survival included sex, TNM stage, diagnostic stage, ulceration, metastasis, Breslow thickness ≥1 mm and positive nodes. Age, ulceration, distant stage at diagnosis and Breslow thickness ≥1 mm were associated with mortality. <b>Conclusion:</b> Colombian melanoma patients exhibit lower survival rates compared with global trends. Key survival determinants align with international literature. Enhanced photoprotection and early detection initiatives are imperative.</p>","PeriodicalId":44562,"journal":{"name":"Melanoma Management","volume":"11 1","pages":"2382079"},"PeriodicalIF":0.7000,"publicationDate":"2024-12-01","publicationTypes":"Journal Article","fieldsOfStudy":null,"isOpenAccess":false,"openAccessPdf":"https://www.ncbi.nlm.nih.gov/pmc/articles/PMC11318695/pdf/","citationCount":"0","resultStr":null,"platform":"Semanticscholar","paperid":null,"PeriodicalName":"Melanoma Management","FirstCategoryId":"1085","ListUrlMain":"https://doi.org/10.1080/20450885.2024.2382079","RegionNum":0,"RegionCategory":null,"ArticlePicture":[],"TitleCN":null,"AbstractTextCN":null,"PMCID":null,"EPubDate":"2024/8/5 0:00:00","PubModel":"Epub","JCR":"Q4","JCRName":"ONCOLOGY","Score":null,"Total":0}
引用次数: 0

Abstract

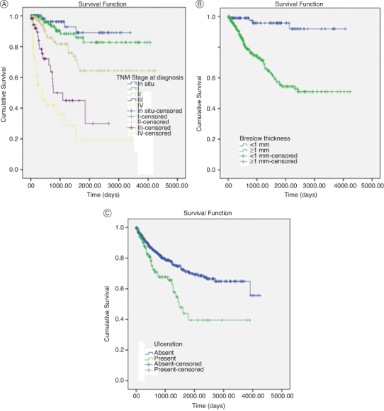
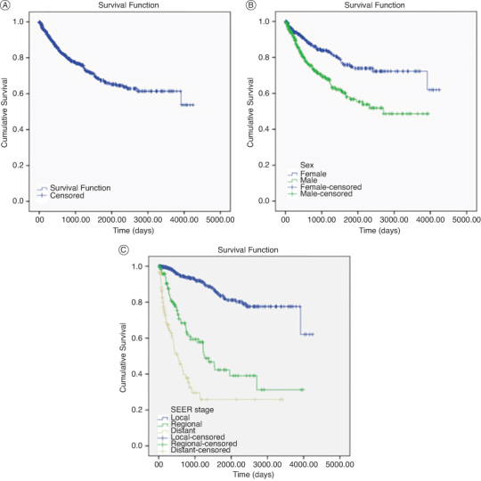
Background: Melanoma, the deadliest skin cancer, presents significant challenges globally. This study examines survival factors among patients treated at a high-complexity oncology center in Colombia's coffee-growing region. Methods: Records from 2010 to 2021 were analyzed, capturing socio-demographics, clinical variables and survival outcomes via Kaplan-Meier and Cox regression. Results: Among 766 patients, factors influencing survival included sex, TNM stage, diagnostic stage, ulceration, metastasis, Breslow thickness ≥1 mm and positive nodes. Age, ulceration, distant stage at diagnosis and Breslow thickness ≥1 mm were associated with mortality. Conclusion: Colombian melanoma patients exhibit lower survival rates compared with global trends. Key survival determinants align with international literature. Enhanced photoprotection and early detection initiatives are imperative.

Abstract Image

Abstract Image

哥伦比亚人群中的黑色素瘤:一项生存研究。
背景:黑色素瘤是最致命的皮肤癌,给全球带来了巨大挑战。本研究探讨了在哥伦比亚咖啡种植区一家高难度肿瘤中心接受治疗的患者的生存因素。研究方法分析 2010 年至 2021 年的记录,通过 Kaplan-Meier 和 Cox 回归分析社会人口统计学、临床变量和生存结果。结果在766名患者中,影响生存的因素包括性别、TNM分期、诊断分期、溃疡、转移、布瑞斯罗厚度≥1毫米和阳性结节。年龄、溃疡、诊断时的远处分期和布氏厚度≥1毫米与死亡率有关。结论与全球趋势相比,哥伦比亚黑色素瘤患者的存活率较低。决定存活率的关键因素与国际文献一致。加强光防护和早期检测措施势在必行。
本文章由计算机程序翻译,如有差异,请以英文原文为准。
求助全文
约1分钟内获得全文 求助全文
来源期刊
CiteScore
5.10
自引率
0.00%
发文量
4
审稿时长
13 weeks
期刊介绍: Skin cancer is on the rise. According to the World Health Organization, 132,000 melanoma skin cancers occur globally each year. While early-stage melanoma is usually relatively easy to treat, once disease spreads prognosis worsens considerably. Therefore, research into combating advanced-stage melanoma is a high priority. New and emerging therapies, such as monoclonal antibodies, B-RAF and KIT inhibitors, antiangiogenic agents and novel chemotherapy approaches hold promise for prolonging survival, but the search for a cure is ongoing. Melanoma Management publishes high-quality peer-reviewed articles on all aspects of melanoma, from prevention to diagnosis and from treatment of early-stage disease to late-stage melanoma and metastasis. The journal presents the latest research findings in melanoma research and treatment, together with authoritative reviews, cutting-edge editorials and perspectives that highlight hot topics and controversy in the field. Independent drug evaluations assess newly approved medications and their role in clinical practice. Key topics covered include: Risk factors, prevention and sun safety education Diagnosis, staging and grading Surgical excision of melanoma lesions Sentinel lymph node biopsy Biological therapies, including immunotherapy and vaccination Novel chemotherapy options Treatment of metastasis Prevention of recurrence Patient care and quality of life.
×
引用
GB/T 7714-2015
复制
MLA
复制
APA
复制
导出至
BibTeX EndNote RefMan NoteFirst NoteExpress
×
提示
您的信息不完整,为了账户安全,请先补充。
现在去补充
×
提示
您因"违规操作"
具体请查看互助需知
我知道了
×
提示
确定
请完成安全验证×
copy
已复制链接
快去分享给好友吧!
我知道了
右上角分享
点击右上角分享
0
联系我们:info@booksci.cn Book学术提供免费学术资源搜索服务,方便国内外学者检索中英文文献。致力于提供最便捷和优质的服务体验。 Copyright © 2023 布克学术 All rights reserved.
京ICP备2023020795号-1
ghs 京公网安备 11010802042870号
Book学术文献互助
Book学术文献互助群
群 号:604180095
Book学术官方微信