Population structure, distribution pattern and habitat utilization of Yellow-wattled Lapwing, Vanellus malabaricus (Boddaert, 1783), in Northern India.

IF 1.7 3区 生物学 Q2 ZOOLOGY
Prateek, Himanshu Mishra, Vikas Kumar, Ashish Kumar
{"title":"Population structure, distribution pattern and habitat utilization of Yellow-wattled Lapwing, Vanellus malabaricus (Boddaert, 1783), in Northern India.","authors":"Prateek, Himanshu Mishra, Vikas Kumar, Ashish Kumar","doi":"10.1186/s40850-025-00222-6","DOIUrl":null,"url":null,"abstract":"<p><p>This field study investigated the population structure, distribution pattern and habitat utilization of Yellow-wattled Lapwings. The line transect method was used to estimate the density of Yellow-wattled Lapwings. An average of 394 individuals including 77 chicks of Yellow-wattled Lapwings have been registered with an average density of 38 birds per km. The outcome of the GLM analysis exhibited, that Bakshi Ka Talab had the highest lapwing count while, Malihabad had the lowest lapwing count. A significant lapwing count in the year 2021 was confirmed. The winter season had the lowest lapwing counts, whereas the summer season had the highest values. Moreover, the largest lapwing counts were estimated in uncultivated while, the lowest lapwing count was documented in river habitat types. There was a significant difference in the mean flock size across the seasons and the habitat types. Being sighted in flocks of various sizes the distribution pattern was found to be clumped in Yellow-wattled Lapwings. The results of the factorial ANOVA showed a significant difference in the habitat utilization of Yellow-wattled Lapwings across study sites, years, seasons and habitat types. Uncultivated habitat types were the most utilized habitat types during summer seasons.</p>","PeriodicalId":48590,"journal":{"name":"BMC Zoology","volume":"10 1","pages":"1"},"PeriodicalIF":1.7000,"publicationDate":"2025-01-26","publicationTypes":"Journal Article","fieldsOfStudy":null,"isOpenAccess":false,"openAccessPdf":"https://www.ncbi.nlm.nih.gov/pmc/articles/PMC11765937/pdf/","citationCount":"0","resultStr":null,"platform":"Semanticscholar","paperid":null,"PeriodicalName":"BMC Zoology","FirstCategoryId":"99","ListUrlMain":"https://doi.org/10.1186/s40850-025-00222-6","RegionNum":3,"RegionCategory":"生物学","ArticlePicture":[],"TitleCN":null,"AbstractTextCN":null,"PMCID":null,"EPubDate":"","PubModel":"","JCR":"Q2","JCRName":"ZOOLOGY","Score":null,"Total":0}
引用次数: 0

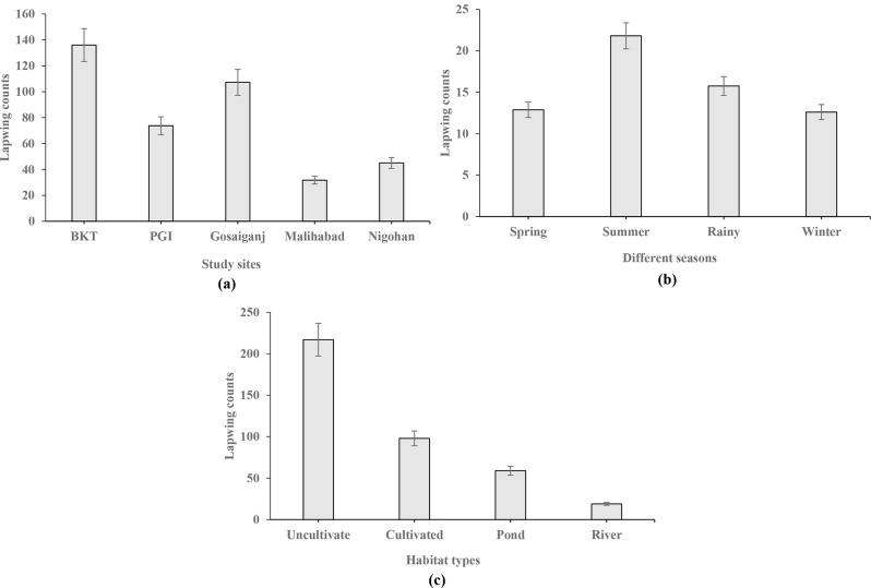
Abstract

This field study investigated the population structure, distribution pattern and habitat utilization of Yellow-wattled Lapwings. The line transect method was used to estimate the density of Yellow-wattled Lapwings. An average of 394 individuals including 77 chicks of Yellow-wattled Lapwings have been registered with an average density of 38 birds per km. The outcome of the GLM analysis exhibited, that Bakshi Ka Talab had the highest lapwing count while, Malihabad had the lowest lapwing count. A significant lapwing count in the year 2021 was confirmed. The winter season had the lowest lapwing counts, whereas the summer season had the highest values. Moreover, the largest lapwing counts were estimated in uncultivated while, the lowest lapwing count was documented in river habitat types. There was a significant difference in the mean flock size across the seasons and the habitat types. Being sighted in flocks of various sizes the distribution pattern was found to be clumped in Yellow-wattled Lapwings. The results of the factorial ANOVA showed a significant difference in the habitat utilization of Yellow-wattled Lapwings across study sites, years, seasons and habitat types. Uncultivated habitat types were the most utilized habitat types during summer seasons.

Abstract Image

Abstract Image

Abstract Image

印度北部黄鸮(Vanellus malabaricus,Boddaert,1783 年)的种群结构、分布模式和栖息地利用情况。
本研究调查了黄喉田凫的种群结构、分布格局和生境利用情况。采用样线法对黄头鸡密度进行了估算。平均394只,包括77只雏鸟,平均密度为每公里38只。GLM分析结果显示,Bakshi Ka Talab的田窝数最高,而Malihabad的田窝数最低。在2021年确认了大量的田凫计数。田凫数量冬季最少,夏季最高。此外,在未开垦的生境类型中,田凫数量最多,而在河流生境类型中,田凫数量最少。不同季节和生境类型的平均群数有显著差异。在不同大小的鸡群中观察到的分布模式被发现是在黄翅田鸡中群集的。因子方差分析结果显示,不同研究地点、不同年份、不同季节和不同生境类型的黄头翁对生境的利用存在显著差异。未开垦生境类型是夏季利用最多的生境类型。
本文章由计算机程序翻译,如有差异,请以英文原文为准。
求助全文
约1分钟内获得全文 求助全文
来源期刊
BMC Zoology
BMC Zoology Agricultural and Biological Sciences-Animal Science and Zoology
CiteScore
2.30
自引率
6.20%
发文量
53
审稿时长
24 weeks
期刊介绍: BMC Zoology is an open access, peer-reviewed journal that considers articles on all aspects of zoology, including physiology, mechanistic and functional studies, anatomy, life history, behavior, signalling and communication, cognition, parasitism, taxonomy and conservation.
×
引用
GB/T 7714-2015
复制
MLA
复制
APA
复制
导出至
BibTeX EndNote RefMan NoteFirst NoteExpress
×
提示
您的信息不完整,为了账户安全,请先补充。
现在去补充
×
提示
您因"违规操作"
具体请查看互助需知
我知道了
×
提示
确定
请完成安全验证×
copy
已复制链接
快去分享给好友吧!
我知道了
右上角分享
点击右上角分享
0
联系我们:info@booksci.cn Book学术提供免费学术资源搜索服务,方便国内外学者检索中英文文献。致力于提供最便捷和优质的服务体验。 Copyright © 2023 布克学术 All rights reserved.
京ICP备2023020795号-1
ghs 京公网安备 11010802042870号
Book学术文献互助
Book学术文献互助群
群 号:604180095
Book学术官方微信