Number of Teeth and Incidence of Hip Fracture in Older Adults Aged ≥75 Years: The OHSAKA Study.

IF 3 2区 医学 Q1 PUBLIC, ENVIRONMENTAL & OCCUPATIONAL HEALTH
Journal of Epidemiology Pub Date : 2025-07-05 Epub Date: 2025-06-03 DOI:10.2188/jea.JE20240165
Naoko Otsuki, Tomoaki Mameno, Yuya Kanie, Masahiro Wada, Maki Shinzawa, Kazunori Ikebe, Ryohei Yamamoto
{"title":"Number of Teeth and Incidence of Hip Fracture in Older Adults Aged ≥75 Years: The OHSAKA Study.","authors":"Naoko Otsuki, Tomoaki Mameno, Yuya Kanie, Masahiro Wada, Maki Shinzawa, Kazunori Ikebe, Ryohei Yamamoto","doi":"10.2188/jea.JE20240165","DOIUrl":null,"url":null,"abstract":"<p><strong>Background: </strong>Several studies reported an association between the number of teeth and the incidence of hip fractures in observational studies, mainly in middle-aged adults. This retrospective cohort study aimed to clarify the association between the number of teeth and the incidence of hip fractures.</p><p><strong>Methods: </strong>In this retrospective cohort study, a total of 256,772 participants aged 75 years or older who underwent public dental checkups in Japan were evaluated. Exposure in this study was the number of teeth, with a maximum number of 28, excluding third molars. Outcome measures were the incidence of hip fractures needing surgery, using the Japanese procedure codes in medical claims.</p><p><strong>Results: </strong>A total of 190,998 participants met the inclusion criteria and were available for analysis. Adjusted Fine and Gray models identified a significant association between the number of teeth, including sound, filled, and decayed teeth, and the incidence of hip fractures among women but not for men. The continuous net reclassification improvement of the sound and filled teeth count model increased by 0.078 compared with that of the sound, filled, and decayed teeth count model among women.</p><p><strong>Conclusion: </strong>The number of sound and filled teeth predicted the risk of hip fractures in women, whereas no association was observed between the number of teeth and hip fractures in men.</p>","PeriodicalId":15799,"journal":{"name":"Journal of Epidemiology","volume":" ","pages":"313-320"},"PeriodicalIF":3.0000,"publicationDate":"2025-07-05","publicationTypes":"Journal Article","fieldsOfStudy":null,"isOpenAccess":false,"openAccessPdf":"https://www.ncbi.nlm.nih.gov/pmc/articles/PMC12162183/pdf/","citationCount":"0","resultStr":null,"platform":"Semanticscholar","paperid":null,"PeriodicalName":"Journal of Epidemiology","FirstCategoryId":"3","ListUrlMain":"https://doi.org/10.2188/jea.JE20240165","RegionNum":2,"RegionCategory":"医学","ArticlePicture":[],"TitleCN":null,"AbstractTextCN":null,"PMCID":null,"EPubDate":"2025/6/3 0:00:00","PubModel":"Epub","JCR":"Q1","JCRName":"PUBLIC, ENVIRONMENTAL & OCCUPATIONAL HEALTH","Score":null,"Total":0}
引用次数: 0

Abstract

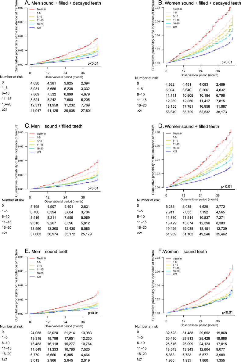
Background: Several studies reported an association between the number of teeth and the incidence of hip fractures in observational studies, mainly in middle-aged adults. This retrospective cohort study aimed to clarify the association between the number of teeth and the incidence of hip fractures.

Methods: In this retrospective cohort study, a total of 256,772 participants aged 75 years or older who underwent public dental checkups in Japan were evaluated. Exposure in this study was the number of teeth, with a maximum number of 28, excluding third molars. Outcome measures were the incidence of hip fractures needing surgery, using the Japanese procedure codes in medical claims.

Results: A total of 190,998 participants met the inclusion criteria and were available for analysis. Adjusted Fine and Gray models identified a significant association between the number of teeth, including sound, filled, and decayed teeth, and the incidence of hip fractures among women but not for men. The continuous net reclassification improvement of the sound and filled teeth count model increased by 0.078 compared with that of the sound, filled, and decayed teeth count model among women.

Conclusion: The number of sound and filled teeth predicted the risk of hip fractures in women, whereas no association was observed between the number of teeth and hip fractures in men.

Abstract Image

≥75岁老年人的牙齿数量与髋部骨折发病率:OHSAKA研究。
背景:几项研究报道了观察性研究中牙齿数量与髋部骨折发生率之间的关联,主要发生在中年人中。本回顾性队列研究旨在阐明牙齿数量与髋部骨折发生率之间的关系。方法:在这项回顾性队列研究中,对日本接受公共牙科检查的年龄在75岁及以上的256,772名参与者进行了评估。在这项研究中暴露的是牙齿的数量,最多有28个,不包括第三磨牙。结果测量是髋部骨折需要手术的发生率,在医疗索赔中使用日本程序代码。结果:共有190,998名参与者符合纳入标准并可用于分析。调整后的Fine和Gray模型确定了牙齿数量(包括健全的、补牙的和蛀牙的)与女性髋部骨折发生率之间的显著关联,但对男性没有影响。在女性中,健全和补牙数模型的连续净重分类改进(NRI)比健全、补牙和蛀牙数模型提高0.078。结论:完整牙齿和填充牙齿的数量预测了女性髋部骨折的风险,而在男性中,牙齿数量和髋部骨折之间没有关联。
本文章由计算机程序翻译,如有差异,请以英文原文为准。
求助全文
约1分钟内获得全文 求助全文
来源期刊
Journal of Epidemiology
Journal of Epidemiology 医学-公共卫生、环境卫生与职业卫生
CiteScore
7.50
自引率
4.30%
发文量
172
审稿时长
6-12 weeks
期刊介绍: The Journal of Epidemiology is the official open access scientific journal of the Japan Epidemiological Association. The Journal publishes a broad range of original research on epidemiology as it relates to human health, and aims to promote communication among those engaged in the field of epidemiological research and those who use epidemiological findings.
×
引用
GB/T 7714-2015
复制
MLA
复制
APA
复制
导出至
BibTeX EndNote RefMan NoteFirst NoteExpress
×
提示
您的信息不完整,为了账户安全,请先补充。
现在去补充
×
提示
您因"违规操作"
具体请查看互助需知
我知道了
×
提示
确定
请完成安全验证×
copy
已复制链接
快去分享给好友吧!
我知道了
右上角分享
点击右上角分享
0
联系我们:info@booksci.cn Book学术提供免费学术资源搜索服务,方便国内外学者检索中英文文献。致力于提供最便捷和优质的服务体验。 Copyright © 2023 布克学术 All rights reserved.
京ICP备2023020795号-1
ghs 京公网安备 11010802042870号
Book学术文献互助
Book学术文献互助群
群 号:604180095
Book学术官方微信