The protective effect of zinc oxide nanoparticles on boar sperm during preservation at 17 °C.

IF 2.1 4区 农林科学 Q2 AGRICULTURE, DAIRY & ANIMAL SCIENCE
Animal Reproduction Pub Date : 2025-01-20 eCollection Date: 2025-01-01 DOI:10.1590/1984-3143-AR2023-0013
Qimeng Hu
{"title":"The protective effect of zinc oxide nanoparticles on boar sperm during preservation at 17 °C.","authors":"Qimeng Hu","doi":"10.1590/1984-3143-AR2023-0013","DOIUrl":null,"url":null,"abstract":"<p><p>More than 90% of spermatozoa of boars in pork producing countries is stored in liquid at 17 °C; however, the quality of these spermatozoa is affected by bacterial breeding and oxidative damage. This study analyzed sperm quality and sperm capacitation after storage to study the effects of the effects of ZnO nanoparticles (ZnO NPs) supplementation on seminal plasma (SP)-free sperm preservation. We investigated the effects of adding 20, 50, 100 and 200 μg/mL of ZnO NPs to a seminal free boar sperm diluent over a 7-day period at 17 °C to assess the changes in non-capacitated/capacitated sperm quality parameters, antioxidant capacity, ATP content and extent of protein tyrosine phosphorylation. The addition of different doses of ZnO NPs to stored sperm did not induce significant effects on the sperm motility and ATP content when compared to the sperm without ZnO NPs treatment. However, the addition of 50, 100, 200 μg/mL ZnO NPs to stored sperm improved total antioxidant capacity (T-AOC) and CuZn-superoxide dismutase (CuZn-SOD) (<i>p</i> < 0.05). ZnO NPs also reduced the malondialdehyde (MDA) content of the preserved sperm (<i>p</i> < 0.05). Moreover, our results indicate that the supplementation of 50 μg/mL ZnO NPs to preserved sperm improved the sperm membrane integrity (<i>p</i> < 0.05). ZnO NPs exerted protective effects on protein tyrosine phosphorylation, especially with regards to membrane proteins. Following incubation and capacitation, sperm exhibited good levels of protein tyrosine phosphorylation and ATP levels with high T-AOC and CuZn-SOD activity and low MDA content. ZnO NPs exerted protective capacity to a preservation extender used for SP-free boar sperm during storage at 17 °C. The optimal concentration of ZnO NPs for preservation extender was 50 μg/mL.</p>","PeriodicalId":7889,"journal":{"name":"Animal Reproduction","volume":"22 1","pages":"e20230013"},"PeriodicalIF":2.1000,"publicationDate":"2025-01-20","publicationTypes":"Journal Article","fieldsOfStudy":null,"isOpenAccess":false,"openAccessPdf":"https://www.ncbi.nlm.nih.gov/pmc/articles/PMC11758902/pdf/","citationCount":"0","resultStr":null,"platform":"Semanticscholar","paperid":null,"PeriodicalName":"Animal Reproduction","FirstCategoryId":"97","ListUrlMain":"https://doi.org/10.1590/1984-3143-AR2023-0013","RegionNum":4,"RegionCategory":"农林科学","ArticlePicture":[],"TitleCN":null,"AbstractTextCN":null,"PMCID":null,"EPubDate":"2025/1/1 0:00:00","PubModel":"eCollection","JCR":"Q2","JCRName":"AGRICULTURE, DAIRY & ANIMAL SCIENCE","Score":null,"Total":0}
引用次数: 0

Abstract

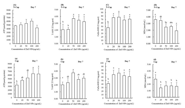
More than 90% of spermatozoa of boars in pork producing countries is stored in liquid at 17 °C; however, the quality of these spermatozoa is affected by bacterial breeding and oxidative damage. This study analyzed sperm quality and sperm capacitation after storage to study the effects of the effects of ZnO nanoparticles (ZnO NPs) supplementation on seminal plasma (SP)-free sperm preservation. We investigated the effects of adding 20, 50, 100 and 200 μg/mL of ZnO NPs to a seminal free boar sperm diluent over a 7-day period at 17 °C to assess the changes in non-capacitated/capacitated sperm quality parameters, antioxidant capacity, ATP content and extent of protein tyrosine phosphorylation. The addition of different doses of ZnO NPs to stored sperm did not induce significant effects on the sperm motility and ATP content when compared to the sperm without ZnO NPs treatment. However, the addition of 50, 100, 200 μg/mL ZnO NPs to stored sperm improved total antioxidant capacity (T-AOC) and CuZn-superoxide dismutase (CuZn-SOD) (p < 0.05). ZnO NPs also reduced the malondialdehyde (MDA) content of the preserved sperm (p < 0.05). Moreover, our results indicate that the supplementation of 50 μg/mL ZnO NPs to preserved sperm improved the sperm membrane integrity (p < 0.05). ZnO NPs exerted protective effects on protein tyrosine phosphorylation, especially with regards to membrane proteins. Following incubation and capacitation, sperm exhibited good levels of protein tyrosine phosphorylation and ATP levels with high T-AOC and CuZn-SOD activity and low MDA content. ZnO NPs exerted protective capacity to a preservation extender used for SP-free boar sperm during storage at 17 °C. The optimal concentration of ZnO NPs for preservation extender was 50 μg/mL.

Abstract Image

Abstract Image

Abstract Image

氧化锌纳米颗粒对猪精子在17℃保存过程中的保护作用。
猪肉生产国90%以上的公猪精子储存在17°C的液体中;然而,这些精子的质量受到细菌繁殖和氧化损伤的影响。本研究通过分析精子质量和储存后的精子获能情况,研究ZnO纳米颗粒(ZnO NPs)对无精浆(SP)精子保存的影响。在17℃条件下,在无精猪精子稀释液中分别添加20、50、100和200 μg/mL氧化锌NPs,观察其对无能化/能化精子质量参数、抗氧化能力、ATP含量和蛋白酪氨酸磷酸化程度的影响。与未处理氧化锌NPs的精子相比,添加不同剂量氧化锌NPs对精子活力和ATP含量没有显著影响。而在精子中添加50、100、200 μg/mL氧化锌NPs可提高精子的总抗氧化能力(T-AOC)和cuzn -超氧化物歧化酶(CuZn-SOD) (p < 0.05)。氧化锌NPs还降低了保存精子的丙二醛(MDA)含量(p < 0.05)。此外,我们的研究结果表明,在保存的精子中添加50 μg/mL的ZnO NPs可以提高精子膜的完整性(p < 0.05)。氧化锌NPs对蛋白酪氨酸磷酸化具有保护作用,特别是对膜蛋白。经过孵育和获能后,精子表现出良好的蛋白酪氨酸磷酸化水平和ATP水平,T-AOC和CuZn-SOD活性高,MDA含量低。在17℃条件下,氧化锌NPs对无sp野猪精子的保鲜剂有一定的保护作用。ZnO NPs作为保藏剂的最佳浓度为50 μg/mL。
本文章由计算机程序翻译,如有差异,请以英文原文为准。
求助全文
约1分钟内获得全文 求助全文
来源期刊
Animal Reproduction
Animal Reproduction AGRICULTURE, DAIRY & ANIMAL SCIENCE-
CiteScore
2.30
自引率
11.80%
发文量
49
审稿时长
70 days
期刊介绍: Animal Reproduction (AR) publishes original scientific papers and invited literature reviews, in the form of Basic Research, Biotechnology, Applied Research and Review Articles, with the goal of contributing to a better understanding of phenomena related to animal reproduction. The scope of the journal applies to students, researchers and practitioners in the fields of veterinary, biology and animal science, also being of interest to practitioners of human medicine. Animal Reproduction Journal is the official organ of the Brazilian College of Animal Reproduction in Brazil.
×
引用
GB/T 7714-2015
复制
MLA
复制
APA
复制
导出至
BibTeX EndNote RefMan NoteFirst NoteExpress
×
提示
您的信息不完整,为了账户安全,请先补充。
现在去补充
×
提示
您因"违规操作"
具体请查看互助需知
我知道了
×
提示
确定
请完成安全验证×
copy
已复制链接
快去分享给好友吧!
我知道了
右上角分享
点击右上角分享
0
联系我们:info@booksci.cn Book学术提供免费学术资源搜索服务,方便国内外学者检索中英文文献。致力于提供最便捷和优质的服务体验。 Copyright © 2023 布克学术 All rights reserved.
京ICP备2023020795号-1
ghs 京公网安备 11010802042870号
Book学术文献互助
Book学术文献互助群
群 号:604180095
Book学术官方微信