The diagnostic value of cytology in the mammary intraductal lesions of patients with pathological nipple discharge.

IF 3.9 2区 综合性期刊 Q1 MULTIDISCIPLINARY SCIENCES
Yifei Zeng, Jifeng Li, Dongxiao Zhang, Na Fu, Yu Zhou, Yubo Guo, Min Liu, Hongkai Zhang, Jianchun Cui
{"title":"The diagnostic value of cytology in the mammary intraductal lesions of patients with pathological nipple discharge.","authors":"Yifei Zeng, Jifeng Li, Dongxiao Zhang, Na Fu, Yu Zhou, Yubo Guo, Min Liu, Hongkai Zhang, Jianchun Cui","doi":"10.1038/s41598-025-86533-7","DOIUrl":null,"url":null,"abstract":"<p><p>This study aimed to explore the diagnostic value of the two cytology techniques, including liquid-based cytology of mammary ductal lavage fluid and nipple discharge smear cytology, in the intraductal lesions in patients with pathological nipple discharge (PND). This retrospective analysis included 119 patients with PND who underwent surgical treatment. At the same time, they all underwent fiberoptic ductoscopy (FDS), nipple discharge smear cytology and liquid-based cytology of ductal lavage fluid before surgery. With postoperative pathological diagnosis as the gold standard, we compared the clinical diagnostic efficacy of the two cytology techniques applied independently and combined with FDS to evaluate their diagnostic value in intraductal lesions. Finally, the receiver operating characteristic (ROC) curves and the area under the curve (AUC) were used to evaluate the diagnostic value of each examination method. There were 22 breast malignant tumors, 75 intraductal papillomas and 22 non-tumorous lesions among the 119 PND patients. The cell types of liquid-based cytology of ductal lavage fluid was significantly more abundant than that of smear cytology, and the detection rate of tumor cells, atypia cells and atypical hyperplasia cells was significantly increased. The diagnostic accuracy and sensitivity of liquid-based cytology of ductal lavage fluid were significantly higher than that of smear cytology (P < 0.05). At the same time, the accuracy of liquid-based cytology was superior to that of smear cytology when combined with FDS (P < 0.05), and the diagnostic efficiency was excellent. FDS combined with liquid-based cytology of ductal lavage fluid was more effective than the other methods (AUC = 0.8182). When diagnosing the intraductal space-occupying lesions in PND patients, liquid-based cytology of ductal lavage fluid can obtain more abundant intraductal shed cells. This advantage can compensate for the limitation of FDS for diagnosing terminal ductal unit lesions and significantly improve the early diagnosis rate of intraductal lesions, especially intraductal malignant tumors.</p>","PeriodicalId":21811,"journal":{"name":"Scientific Reports","volume":"15 1","pages":"3243"},"PeriodicalIF":3.9000,"publicationDate":"2025-01-25","publicationTypes":"Journal Article","fieldsOfStudy":null,"isOpenAccess":false,"openAccessPdf":"https://www.ncbi.nlm.nih.gov/pmc/articles/PMC11762987/pdf/","citationCount":"0","resultStr":null,"platform":"Semanticscholar","paperid":null,"PeriodicalName":"Scientific Reports","FirstCategoryId":"103","ListUrlMain":"https://doi.org/10.1038/s41598-025-86533-7","RegionNum":2,"RegionCategory":"综合性期刊","ArticlePicture":[],"TitleCN":null,"AbstractTextCN":null,"PMCID":null,"EPubDate":"","PubModel":"","JCR":"Q1","JCRName":"MULTIDISCIPLINARY SCIENCES","Score":null,"Total":0}
引用次数: 0

Abstract

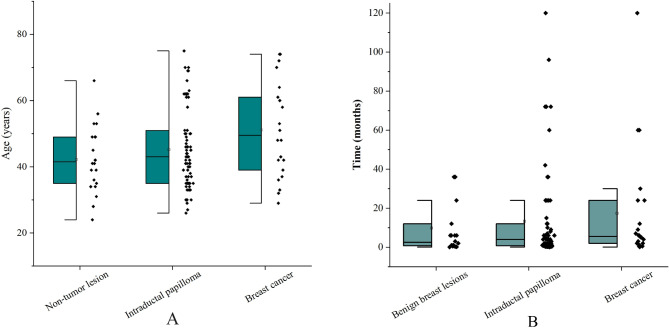
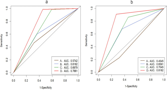
This study aimed to explore the diagnostic value of the two cytology techniques, including liquid-based cytology of mammary ductal lavage fluid and nipple discharge smear cytology, in the intraductal lesions in patients with pathological nipple discharge (PND). This retrospective analysis included 119 patients with PND who underwent surgical treatment. At the same time, they all underwent fiberoptic ductoscopy (FDS), nipple discharge smear cytology and liquid-based cytology of ductal lavage fluid before surgery. With postoperative pathological diagnosis as the gold standard, we compared the clinical diagnostic efficacy of the two cytology techniques applied independently and combined with FDS to evaluate their diagnostic value in intraductal lesions. Finally, the receiver operating characteristic (ROC) curves and the area under the curve (AUC) were used to evaluate the diagnostic value of each examination method. There were 22 breast malignant tumors, 75 intraductal papillomas and 22 non-tumorous lesions among the 119 PND patients. The cell types of liquid-based cytology of ductal lavage fluid was significantly more abundant than that of smear cytology, and the detection rate of tumor cells, atypia cells and atypical hyperplasia cells was significantly increased. The diagnostic accuracy and sensitivity of liquid-based cytology of ductal lavage fluid were significantly higher than that of smear cytology (P < 0.05). At the same time, the accuracy of liquid-based cytology was superior to that of smear cytology when combined with FDS (P < 0.05), and the diagnostic efficiency was excellent. FDS combined with liquid-based cytology of ductal lavage fluid was more effective than the other methods (AUC = 0.8182). When diagnosing the intraductal space-occupying lesions in PND patients, liquid-based cytology of ductal lavage fluid can obtain more abundant intraductal shed cells. This advantage can compensate for the limitation of FDS for diagnosing terminal ductal unit lesions and significantly improve the early diagnosis rate of intraductal lesions, especially intraductal malignant tumors.

Abstract Image

Abstract Image

Abstract Image

病理乳头溢液患者乳腺导管内病变的细胞学诊断价值。
本研究旨在探讨乳腺导管灌洗液液基细胞学和乳头溢液涂片细胞学两种细胞学技术对病理性乳头溢液(PND)患者导管内病变的诊断价值。本回顾性分析包括119例接受手术治疗的PND患者。同时术前均行纤维导管镜检查、乳头溢液涂片细胞学检查及导管灌洗液液基细胞学检查。我们以术后病理诊断为金标准,比较两种细胞学技术单独应用和与FDS联合应用的临床诊断效果,评价其对导管内病变的诊断价值。最后,采用受试者工作特征(ROC)曲线和曲线下面积(AUC)评价各检查方法的诊断价值。119例PND患者中,乳腺恶性肿瘤22例,导管内乳头状瘤75例,非肿瘤病变22例。导管灌洗液液基细胞学的细胞类型明显比涂片细胞学丰富,肿瘤细胞、异型细胞和不典型增生细胞的检出率明显提高。导管灌洗液液基细胞学诊断的准确性和敏感性均显著高于涂片细胞学(P
本文章由计算机程序翻译,如有差异,请以英文原文为准。
求助全文
约1分钟内获得全文 求助全文
来源期刊
Scientific Reports
Scientific Reports Natural Science Disciplines-
CiteScore
7.50
自引率
4.30%
发文量
19567
审稿时长
3.9 months
期刊介绍: We publish original research from all areas of the natural sciences, psychology, medicine and engineering. You can learn more about what we publish by browsing our specific scientific subject areas below or explore Scientific Reports by browsing all articles and collections. Scientific Reports has a 2-year impact factor: 4.380 (2021), and is the 6th most-cited journal in the world, with more than 540,000 citations in 2020 (Clarivate Analytics, 2021). •Engineering Engineering covers all aspects of engineering, technology, and applied science. It plays a crucial role in the development of technologies to address some of the world''s biggest challenges, helping to save lives and improve the way we live. •Physical sciences Physical sciences are those academic disciplines that aim to uncover the underlying laws of nature — often written in the language of mathematics. It is a collective term for areas of study including astronomy, chemistry, materials science and physics. •Earth and environmental sciences Earth and environmental sciences cover all aspects of Earth and planetary science and broadly encompass solid Earth processes, surface and atmospheric dynamics, Earth system history, climate and climate change, marine and freshwater systems, and ecology. It also considers the interactions between humans and these systems. •Biological sciences Biological sciences encompass all the divisions of natural sciences examining various aspects of vital processes. The concept includes anatomy, physiology, cell biology, biochemistry and biophysics, and covers all organisms from microorganisms, animals to plants. •Health sciences The health sciences study health, disease and healthcare. This field of study aims to develop knowledge, interventions and technology for use in healthcare to improve the treatment of patients.
×
引用
GB/T 7714-2015
复制
MLA
复制
APA
复制
导出至
BibTeX EndNote RefMan NoteFirst NoteExpress
×
提示
您的信息不完整,为了账户安全,请先补充。
现在去补充
×
提示
您因"违规操作"
具体请查看互助需知
我知道了
×
提示
确定
请完成安全验证×
copy
已复制链接
快去分享给好友吧!
我知道了
右上角分享
点击右上角分享
0
联系我们:info@booksci.cn Book学术提供免费学术资源搜索服务,方便国内外学者检索中英文文献。致力于提供最便捷和优质的服务体验。 Copyright © 2023 布克学术 All rights reserved.
京ICP备2023020795号-1
ghs 京公网安备 11010802042870号
Book学术文献互助
Book学术文献互助群
群 号:604180095
Book学术官方微信