VEGFA Gene Expression in Breast Cancer Is Associated With Worse Prognosis, but Better Response to Chemotherapy and Immunotherapy.

IF 2.2 Q3 ONCOLOGY
World Journal of Oncology Pub Date : 2025-02-01 Epub Date: 2025-01-13 DOI:10.14740/wjon1993
Pia Sharma, Kohei Chida, Rongrong Wu, Kaity Tung, Kenichi Hakamada, Takashi Ishikawa, Kazuaki Takabe
{"title":"<i>VEGFA</i> Gene Expression in Breast Cancer Is Associated With Worse Prognosis, but Better Response to Chemotherapy and Immunotherapy.","authors":"Pia Sharma, Kohei Chida, Rongrong Wu, Kaity Tung, Kenichi Hakamada, Takashi Ishikawa, Kazuaki Takabe","doi":"10.14740/wjon1993","DOIUrl":null,"url":null,"abstract":"<p><strong>Background: </strong>Vascular endothelial growth factor-A (VEGFA) is a key inducer of angiogenesis, responsible for generating new blood vessels in the tumor microenvironment (TME) and facilitating metastasis. Notably, Avastin, which targets VEGFA, failed to demonstrate any significant benefit in clinical trials for breast cancer (BC). This study aimed to investigate the clinical relevance of <i>VEGFA</i> gene expression in BC.</p><p><strong>Methods: </strong>A total of 7,336 BC patients across eight independent cohorts: ISPY2 (GSE173839), Sweden Cancerome Analysis Network-Breast (SCAN-B) (GSE96058), Molecular Taxonomy of Breast Cancer International Consortium (METABRIC), GSE25066, GSE163882, GSE34138, GSE20194, and The Cancer Genome Atlas (TCGA), were analyzed. The calculated median <i>VEGFA</i> expression level was used to stratify these cohorts into high and low groups.</p><p><strong>Results: </strong>High <i>VEGFA</i> was associated with worse disease-free, disease-specific, and overall survival in the METABRIC cohort, with findings supported by the SCAN-B cohort, which also showed worse overall survival (all P < 0.02). High <i>VEGFA</i> expression was seen in triple-negative breast cancer (TNBC) but not in BC with lymph node metastasis. Additionally, there was a significant correlation between high <i>VEGFA</i> expression and higher silent and non-silent mutations, single-nucleotide variant (SNV) neoantigens, homologous recombination defect, intratumoral heterogeneity, in the TCGA cohort. In the TCGA, METABRIC, and SCAN-B cohorts, high <i>VEGFA</i> BC was also associated with higher cell proliferation: higher Ki67 gene expression, higher Nottingham histological grade, and consistent enrichment of all the Hallmark cell proliferation-related gene sets. Unexpectedly, the angiogenesis gene set was not enriched in any of the cohorts and showed no association with infiltrations of lymphatic or blood vascular endothelial cells besides pericytes. High <i>VEGFA</i> BC had significantly less infiltration of anti-cancer immune cells but higher infiltration of pro-cancer immune cells in TCGA, METABRIC, and SCAN-B cohorts. Interestingly, BC, which had a pathological complete response (pCR) after anthracycline- and taxane-based neoadjuvant therapy, was associated with significantly heightened <i>VEGFA</i> expression in both estrogen receptor (ER)+/human epidermal growth factor receptor 2 (HER2)- and TNBC subtypes in the GSE25066 cohort and after immunotherapy in ER+/ HER2- subtype, but not TNBC in the ISPY2 cohort.</p><p><strong>Conclusions: </strong>Our research indicates that high <i>VEGFA</i> BC confers high cell proliferation, reduced immune cell infiltration, and poorer survival, but allows better response to anthracycline- and taxane-based chemotherapy, and immunotherapy.</p>","PeriodicalId":46797,"journal":{"name":"World Journal of Oncology","volume":"16 1","pages":"120-130"},"PeriodicalIF":2.2000,"publicationDate":"2025-02-01","publicationTypes":"Journal Article","fieldsOfStudy":null,"isOpenAccess":false,"openAccessPdf":"https://www.ncbi.nlm.nih.gov/pmc/articles/PMC11750749/pdf/","citationCount":"0","resultStr":null,"platform":"Semanticscholar","paperid":null,"PeriodicalName":"World Journal of Oncology","FirstCategoryId":"1085","ListUrlMain":"https://doi.org/10.14740/wjon1993","RegionNum":0,"RegionCategory":null,"ArticlePicture":[],"TitleCN":null,"AbstractTextCN":null,"PMCID":null,"EPubDate":"2025/1/13 0:00:00","PubModel":"Epub","JCR":"Q3","JCRName":"ONCOLOGY","Score":null,"Total":0}
引用次数: 0

Abstract

Background: Vascular endothelial growth factor-A (VEGFA) is a key inducer of angiogenesis, responsible for generating new blood vessels in the tumor microenvironment (TME) and facilitating metastasis. Notably, Avastin, which targets VEGFA, failed to demonstrate any significant benefit in clinical trials for breast cancer (BC). This study aimed to investigate the clinical relevance of VEGFA gene expression in BC.

Methods: A total of 7,336 BC patients across eight independent cohorts: ISPY2 (GSE173839), Sweden Cancerome Analysis Network-Breast (SCAN-B) (GSE96058), Molecular Taxonomy of Breast Cancer International Consortium (METABRIC), GSE25066, GSE163882, GSE34138, GSE20194, and The Cancer Genome Atlas (TCGA), were analyzed. The calculated median VEGFA expression level was used to stratify these cohorts into high and low groups.

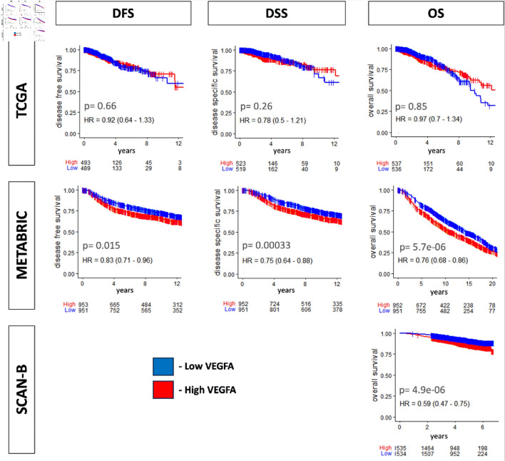
Results: High VEGFA was associated with worse disease-free, disease-specific, and overall survival in the METABRIC cohort, with findings supported by the SCAN-B cohort, which also showed worse overall survival (all P < 0.02). High VEGFA expression was seen in triple-negative breast cancer (TNBC) but not in BC with lymph node metastasis. Additionally, there was a significant correlation between high VEGFA expression and higher silent and non-silent mutations, single-nucleotide variant (SNV) neoantigens, homologous recombination defect, intratumoral heterogeneity, in the TCGA cohort. In the TCGA, METABRIC, and SCAN-B cohorts, high VEGFA BC was also associated with higher cell proliferation: higher Ki67 gene expression, higher Nottingham histological grade, and consistent enrichment of all the Hallmark cell proliferation-related gene sets. Unexpectedly, the angiogenesis gene set was not enriched in any of the cohorts and showed no association with infiltrations of lymphatic or blood vascular endothelial cells besides pericytes. High VEGFA BC had significantly less infiltration of anti-cancer immune cells but higher infiltration of pro-cancer immune cells in TCGA, METABRIC, and SCAN-B cohorts. Interestingly, BC, which had a pathological complete response (pCR) after anthracycline- and taxane-based neoadjuvant therapy, was associated with significantly heightened VEGFA expression in both estrogen receptor (ER)+/human epidermal growth factor receptor 2 (HER2)- and TNBC subtypes in the GSE25066 cohort and after immunotherapy in ER+/ HER2- subtype, but not TNBC in the ISPY2 cohort.

Conclusions: Our research indicates that high VEGFA BC confers high cell proliferation, reduced immune cell infiltration, and poorer survival, but allows better response to anthracycline- and taxane-based chemotherapy, and immunotherapy.

Abstract Image

Abstract Image

Abstract Image

乳腺癌中VEGFA基因表达与预后差相关,但对化疗和免疫治疗的反应更好。
背景:血管内皮生长因子- a (Vascular endothelial growth factor-A, VEGFA)是血管生成的关键诱导剂,在肿瘤微环境(tumor microenvironment, TME)中生成新血管,促进肿瘤转移。值得注意的是,靶向VEGFA的Avastin在乳腺癌(BC)的临床试验中未能显示出任何显著的益处。本研究旨在探讨VEGFA基因表达在BC中的临床意义。方法:对来自ISPY2 (GSE173839)、瑞典乳腺癌癌症基因组分析网络(SCAN-B) (GSE96058)、乳腺癌国际分子分类协会(METABRIC)、GSE25066、GSE163882、GSE34138、GSE20194和癌症基因组图谱(TCGA) 8个独立队列的7336例BC患者进行分析。计算的中位VEGFA表达水平用于将这些队列分为高组和低组。结果:在METABRIC队列中,高VEGFA与更差的无病生存、疾病特异性生存和总生存相关,SCAN-B队列也支持这一发现,也显示出更差的总生存(均P < 0.02)。VEGFA在三阴性乳腺癌(TNBC)中高表达,但在伴有淋巴结转移的乳腺癌中未见表达。此外,在TCGA队列中,VEGFA高表达与较高的沉默和非沉默突变、单核苷酸变异(SNV)新抗原、同源重组缺陷、肿瘤内异质性存在显著相关性。在TCGA, METABRIC和SCAN-B队列中,高VEGFA BC也与较高的细胞增殖相关:较高的Ki67基因表达,较高的诺丁汉组织学分级,以及所有Hallmark细胞增殖相关基因集的一致富集。出乎意料的是,血管生成基因集在任何队列中都不富集,并且与淋巴细胞或血管内皮细胞的浸润无关。在TCGA、METABRIC和SCAN-B队列中,高VEGFA BC的抗癌免疫细胞浸润明显减少,而促癌免疫细胞浸润较高。有趣的是,在蒽环类药物和紫杉素为基础的新辅助治疗后,BC有病理完全缓解(pCR),在GSE25066队列中,雌激素受体(ER)+/人表皮生长因子受体2 (HER2)-和TNBC亚型中,以及在ER+/ HER2-亚型中免疫治疗后,VEGFA表达均显著升高,但在ISPY2队列中没有。结论:我们的研究表明,高VEGFA BC会导致高细胞增殖,减少免疫细胞浸润和较差的存活率,但对蒽环类和紫杉烷类化疗和免疫治疗有更好的反应。
本文章由计算机程序翻译,如有差异,请以英文原文为准。
求助全文
约1分钟内获得全文 求助全文
来源期刊
CiteScore
6.10
自引率
15.40%
发文量
37
期刊介绍: World Journal of Oncology, bimonthly, publishes original contributions describing basic research and clinical investigation of cancer, on the cellular, molecular, prevention, diagnosis, therapy and prognosis aspects. The submissions can be basic research or clinical investigation oriented. This journal welcomes those submissions focused on the clinical trials of new treatment modalities for cancer, and those submissions focused on molecular or cellular research of the oncology pathogenesis. Case reports submitted for consideration of publication should explore either a novel genomic event/description or a new safety signal from an oncolytic agent. The areas of interested manuscripts are these disciplines: tumor immunology and immunotherapy; cancer molecular pharmacology and chemotherapy; drug sensitivity and resistance; cancer epidemiology; clinical trials; cancer pathology; radiobiology and radiation oncology; solid tumor oncology; hematological malignancies; surgical oncology; pediatric oncology; molecular oncology and cancer genes; gene therapy; cancer endocrinology; cancer metastasis; prevention and diagnosis of cancer; other cancer related subjects. The types of manuscripts accepted are original article, review, editorial, short communication, case report, letter to the editor, book review.
×
引用
GB/T 7714-2015
复制
MLA
复制
APA
复制
导出至
BibTeX EndNote RefMan NoteFirst NoteExpress
×
提示
您的信息不完整,为了账户安全,请先补充。
现在去补充
×
提示
您因"违规操作"
具体请查看互助需知
我知道了
×
提示
确定
请完成安全验证×
copy
已复制链接
快去分享给好友吧!
我知道了
右上角分享
点击右上角分享
0
联系我们:info@booksci.cn Book学术提供免费学术资源搜索服务,方便国内外学者检索中英文文献。致力于提供最便捷和优质的服务体验。 Copyright © 2023 布克学术 All rights reserved.
京ICP备2023020795号-1
ghs 京公网安备 11010802042870号
Book学术文献互助
Book学术文献互助群
群 号:604180095
Book学术官方微信