Relationship between Biological and Qualitative Indices in Surface Waters Receiving the Effluent of Fish Farms in the Northwest of Iran.

IF 0.7 4区 医学 Q4 PARASITOLOGY
Journal of Arthropod-Borne Diseases Pub Date : 2024-06-30 eCollection Date: 2024-06-01 DOI:10.18502/jad.v18i2.17539
Farhad Pourfaraj, Malek Abazari, Eslam Moradi-Asl, S Amad Mokhtari
{"title":"Relationship between Biological and Qualitative Indices in Surface Waters Receiving the Effluent of Fish Farms in the Northwest of Iran.","authors":"Farhad Pourfaraj, Malek Abazari, Eslam Moradi-Asl, S Amad Mokhtari","doi":"10.18502/jad.v18i2.17539","DOIUrl":null,"url":null,"abstract":"<p><strong>Background: </strong>Water quality is usually measured using various indicators based on physical, chemical and biological parameters. By using the biological index that is based on the identification of the arthropod families, it is possible to make a logical judgment about the ecosystem condition. The aim of this study was measuring correlation coefficients between qualitative and biological Indices.</p><p><strong>Methods: </strong>Water samples were collected 27 samples in northwest of Iran and aquatic insects' samples 54 in 2019. The NSFWQI and IRWQISC as the most important indices of physical and chemical quality of water ranged from 54.45-76.21 and from 41.32 to 77.40, respectively.</p><p><strong>Results: </strong>A total of 2,953 aquatic insects were collected, and biological Index ranged from 6.26 to 3.38. It can be stated that increasing in the concentration of pollutants in the source and end of the river could lead to a sharp decrease in biological index. IRWQISC index, the effluent stations of fish farms can fit into 'fairly bad quality' and 'moderate quality' categories.</p><p><strong>Conclusion: </strong>The linear regression analysis revealed a significant relationship between the Hilsenhoff biological Index and the physiochemical parameters of pH, DO (Dissolved Oxygen) and total dissolved solids. The activity of fish farms and discharging their effluents into water sources, can change the physical, chemical and biological parameters of receiving waters, therefore it is recommended that the location of these units be reviewed and also the appropriate treatment for such effluents should be considered, so that the health risks caused by them can be effectively reduced.</p>","PeriodicalId":15095,"journal":{"name":"Journal of Arthropod-Borne Diseases","volume":"18 2","pages":"157-171"},"PeriodicalIF":0.7000,"publicationDate":"2024-06-30","publicationTypes":"Journal Article","fieldsOfStudy":null,"isOpenAccess":false,"openAccessPdf":"https://www.ncbi.nlm.nih.gov/pmc/articles/PMC11752673/pdf/","citationCount":"0","resultStr":null,"platform":"Semanticscholar","paperid":null,"PeriodicalName":"Journal of Arthropod-Borne Diseases","FirstCategoryId":"3","ListUrlMain":"https://doi.org/10.18502/jad.v18i2.17539","RegionNum":4,"RegionCategory":"医学","ArticlePicture":[],"TitleCN":null,"AbstractTextCN":null,"PMCID":null,"EPubDate":"2024/6/1 0:00:00","PubModel":"eCollection","JCR":"Q4","JCRName":"PARASITOLOGY","Score":null,"Total":0}
引用次数: 0

Abstract

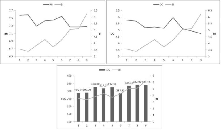
Background: Water quality is usually measured using various indicators based on physical, chemical and biological parameters. By using the biological index that is based on the identification of the arthropod families, it is possible to make a logical judgment about the ecosystem condition. The aim of this study was measuring correlation coefficients between qualitative and biological Indices.

Methods: Water samples were collected 27 samples in northwest of Iran and aquatic insects' samples 54 in 2019. The NSFWQI and IRWQISC as the most important indices of physical and chemical quality of water ranged from 54.45-76.21 and from 41.32 to 77.40, respectively.

Results: A total of 2,953 aquatic insects were collected, and biological Index ranged from 6.26 to 3.38. It can be stated that increasing in the concentration of pollutants in the source and end of the river could lead to a sharp decrease in biological index. IRWQISC index, the effluent stations of fish farms can fit into 'fairly bad quality' and 'moderate quality' categories.

Conclusion: The linear regression analysis revealed a significant relationship between the Hilsenhoff biological Index and the physiochemical parameters of pH, DO (Dissolved Oxygen) and total dissolved solids. The activity of fish farms and discharging their effluents into water sources, can change the physical, chemical and biological parameters of receiving waters, therefore it is recommended that the location of these units be reviewed and also the appropriate treatment for such effluents should be considered, so that the health risks caused by them can be effectively reduced.

Abstract Image

Abstract Image

伊朗西北部养鱼场污水地表水中生物指标与质量指标的关系。
背景:通常用基于物理、化学和生物参数的各种指标来测量水质。利用基于节肢动物科类鉴定的生物学指标,可以对生态系统状况做出逻辑判断。本研究的目的是测量定性指标和生物学指标之间的相关系数。方法:2019年在伊朗西北部采集水样27份,水生昆虫54份。NSFWQI和IRWQISC分别为54.45 ~ 76.21和41.32 ~ 77.40,是水体理化质量最重要的指标。结果:共捕获水生昆虫2953只,生物指数在6.26 ~ 3.38之间。可以说,河流源端污染物浓度的增加会导致生物指数的急剧下降。根据IRWQISC指数,养鱼场的污水站可分为“较差”和“中等”两类。结论:Hilsenhoff生物指数与pH、溶解氧(DO)、总溶解固形物等理化参数之间存在显著的线性回归关系。养鱼场的活动及其向水源排放的污水会改变接收水的物理、化学和生物参数,因此建议审查这些设施的位置,并考虑对这些污水进行适当处理,从而有效地减少它们造成的健康风险。
本文章由计算机程序翻译,如有差异,请以英文原文为准。
求助全文
约1分钟内获得全文 求助全文
来源期刊
Journal of Arthropod-Borne Diseases
Journal of Arthropod-Borne Diseases PUBLIC, ENVIRONMENTAL & OCCUPATIONAL HEALTH-PARASITOLOGY
CiteScore
2.00
自引率
11.10%
发文量
17
审稿时长
8 weeks
期刊介绍: The journal publishes original research paper, short communica­tion, scientific note, case report, letter to the editor, and review article in English. The scope of papers comprises all aspects of arthropod borne diseases includ­ing: ● Systematics ● Vector ecology ● Epidemiology ● Immunology ● Parasitology ● Molecular biology ● Genetics ● Population dynamics ● Toxicology ● Vector control ● Diagnosis and treatment and other related subjects.
×
引用
GB/T 7714-2015
复制
MLA
复制
APA
复制
导出至
BibTeX EndNote RefMan NoteFirst NoteExpress
×
提示
您的信息不完整,为了账户安全,请先补充。
现在去补充
×
提示
您因"违规操作"
具体请查看互助需知
我知道了
×
提示
确定
请完成安全验证×
copy
已复制链接
快去分享给好友吧!
我知道了
右上角分享
点击右上角分享
0
联系我们:info@booksci.cn Book学术提供免费学术资源搜索服务,方便国内外学者检索中英文文献。致力于提供最便捷和优质的服务体验。 Copyright © 2023 布克学术 All rights reserved.
京ICP备2023020795号-1
ghs 京公网安备 11010802042870号
Book学术文献互助
Book学术文献互助群
群 号:604180095
Book学术官方微信