[Simultaneous determination of 51 indazole-type synthetic cannabinoids in urine and blood by online solid-phase extraction-liquid chromatography-linear ion trap mass spectrometry].

Xuan Luo, Jun Zhang, Ding-Ji Zhu, Ke-Jian Huang, Ning Yang, Xiao-Feng Liu, Qiu-Lian Luo
{"title":"[Simultaneous determination of 51 indazole-type synthetic cannabinoids in urine and blood by online solid-phase extraction-liquid chromatography-linear ion trap mass spectrometry].","authors":"Xuan Luo, Jun Zhang, Ding-Ji Zhu, Ke-Jian Huang, Ning Yang, Xiao-Feng Liu, Qiu-Lian Luo","doi":"10.3724/SP.J.1123.2024.02008","DOIUrl":null,"url":null,"abstract":"<p><p>To evade legal controls, new psychoactive substances (NPS), which have been designed as substitutes for traditional and synthetic drugs, are gradually dominating the drug market. Synthetic cannabinoids (SCs), which account for the majority of NPS, are rapidly being derivatized; consequently, controlling increasing abuse by merely listing individual compounds is difficult. Therefore, China has included the entire SC category of SCs listed as legal controlled substances since July 1, 2021. However, new SCs obtained through structural modification are still appearing and pose significant analytical challenges for forensic laboratories. Therefore, an efficient, green, and automated detection method is urgently required to provide technical support for the accurate screening actual samples. Meanwhile, the number of indazole-type SCs has increased sharply since 2013, which is ascribable to their stronger psychoactive effects. Indeed, forensic laboratories mainly analyze this key SC subclass. Therefore, in this study, we developed a new method for analyzing 51 indazole-type SCs in human urine and blood, which involves online solid-phase extraction (online SPE) as the preprocessing technology, with analysis performed using liquid chromatography-linear ion trap mass spectrometry. Deproteinization was achieved by adding acetonitrile, with dilution performed using 10 mmol/L ammonium acetate solution (pH 4.8) containing 0.1% formic acid. Samples were then analyzed directly using acetonitrile-10 mmol/L ammonium acetate aqueous solution (containing 0.1% formic acid) as the mobile phase. The mass-to-charge ratios of protonated molecular ions ([M+H]<sup>+</sup>) in the mass spectra acquired in full-scan mode, and the retention times in the chromatograms of the analytes were selected with the aim of monitoring the MS<sup>2</sup> ions of the various compounds. Characteristic fragment ions of the various SC structures were summarized, with five groups of isomers, each containing ten compounds, successfully distinguished using multistage mass spectrometry and their retention times. Multistage MS was used to qualitatively screen 51 indazole-type SCs, which were then quantitatively analyzed using MS<sup>2</sup> ion pairs (as quantitative ion pairs). The analytes exhibited limits of detection (LODs) of 0.02-1 ng/mL, with limits of quantification (LOQs) of 0.04-4 and 0.1-4 ng/mL in urine and blood, respectively. Linear fitting (weighting factor 1/<i>x</i>) revealed good linearity for each analyte within its respective linear range, with correlation coefficients (<i>R</i><sup>2</sup>) greater than 0.99 in both urine and blood. The validity of the analytical method was tested by determining precision and spiked recovery values (<i>n</i>=6). Recoveries of 83.47%-116.95% were obtained at LOQ levels, with precisions of 2.29%-13.40%. In addition, recoveries of 86.63%-113.38% and precisions of 0.58%-13.79% were obtained at low, medium, and high levels. The method described herein is not only easy to operate but also can be automated. Indeed, high-throughput sample analysis was achieved when sample extraction, enrichment, and analysis were performed in dynamic mode through valve switching. Meanwhile, the method exhibited good sensitivity and is applicable to a wider range of compounds than those previously reported; it also provides a scientific basis and technical support for the rapid screening and quantitative analysis of SCs in actual relevant cases.</p>","PeriodicalId":101336,"journal":{"name":"Se pu = Chinese journal of chromatography","volume":"43 2","pages":"164-176"},"PeriodicalIF":0.0000,"publicationDate":"2025-02-01","publicationTypes":"Journal Article","fieldsOfStudy":null,"isOpenAccess":false,"openAccessPdf":"https://www.ncbi.nlm.nih.gov/pmc/articles/PMC11758235/pdf/","citationCount":"0","resultStr":null,"platform":"Semanticscholar","paperid":null,"PeriodicalName":"Se pu = Chinese journal of chromatography","FirstCategoryId":"1085","ListUrlMain":"https://doi.org/10.3724/SP.J.1123.2024.02008","RegionNum":0,"RegionCategory":null,"ArticlePicture":[],"TitleCN":null,"AbstractTextCN":null,"PMCID":null,"EPubDate":"","PubModel":"","JCR":"","JCRName":"","Score":null,"Total":0}
引用次数: 0

Abstract

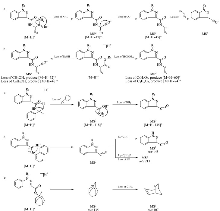
To evade legal controls, new psychoactive substances (NPS), which have been designed as substitutes for traditional and synthetic drugs, are gradually dominating the drug market. Synthetic cannabinoids (SCs), which account for the majority of NPS, are rapidly being derivatized; consequently, controlling increasing abuse by merely listing individual compounds is difficult. Therefore, China has included the entire SC category of SCs listed as legal controlled substances since July 1, 2021. However, new SCs obtained through structural modification are still appearing and pose significant analytical challenges for forensic laboratories. Therefore, an efficient, green, and automated detection method is urgently required to provide technical support for the accurate screening actual samples. Meanwhile, the number of indazole-type SCs has increased sharply since 2013, which is ascribable to their stronger psychoactive effects. Indeed, forensic laboratories mainly analyze this key SC subclass. Therefore, in this study, we developed a new method for analyzing 51 indazole-type SCs in human urine and blood, which involves online solid-phase extraction (online SPE) as the preprocessing technology, with analysis performed using liquid chromatography-linear ion trap mass spectrometry. Deproteinization was achieved by adding acetonitrile, with dilution performed using 10 mmol/L ammonium acetate solution (pH 4.8) containing 0.1% formic acid. Samples were then analyzed directly using acetonitrile-10 mmol/L ammonium acetate aqueous solution (containing 0.1% formic acid) as the mobile phase. The mass-to-charge ratios of protonated molecular ions ([M+H]+) in the mass spectra acquired in full-scan mode, and the retention times in the chromatograms of the analytes were selected with the aim of monitoring the MS2 ions of the various compounds. Characteristic fragment ions of the various SC structures were summarized, with five groups of isomers, each containing ten compounds, successfully distinguished using multistage mass spectrometry and their retention times. Multistage MS was used to qualitatively screen 51 indazole-type SCs, which were then quantitatively analyzed using MS2 ion pairs (as quantitative ion pairs). The analytes exhibited limits of detection (LODs) of 0.02-1 ng/mL, with limits of quantification (LOQs) of 0.04-4 and 0.1-4 ng/mL in urine and blood, respectively. Linear fitting (weighting factor 1/x) revealed good linearity for each analyte within its respective linear range, with correlation coefficients (R2) greater than 0.99 in both urine and blood. The validity of the analytical method was tested by determining precision and spiked recovery values (n=6). Recoveries of 83.47%-116.95% were obtained at LOQ levels, with precisions of 2.29%-13.40%. In addition, recoveries of 86.63%-113.38% and precisions of 0.58%-13.79% were obtained at low, medium, and high levels. The method described herein is not only easy to operate but also can be automated. Indeed, high-throughput sample analysis was achieved when sample extraction, enrichment, and analysis were performed in dynamic mode through valve switching. Meanwhile, the method exhibited good sensitivity and is applicable to a wider range of compounds than those previously reported; it also provides a scientific basis and technical support for the rapid screening and quantitative analysis of SCs in actual relevant cases.

Abstract Image

Abstract Image

Abstract Image

在线固相萃取-液相色谱-线性离子阱质谱法同时测定尿和血中51种吲哚类合成大麻素。
为逃避法律管制,新型精神活性物质(NPS)被设计为传统药物和合成药物的替代品,正逐渐主导毒品市场。合成大麻素(SCs)占NPS的大部分,正在迅速衍生;因此,仅仅通过列出单个化合物来控制日益增加的滥用是困难的。因此,自2021年7月1日起,中国将整个SC类别的SC列入法定管制物质。然而,通过结构修饰获得的新SCs仍在出现,并对法医实验室提出了重大的分析挑战。因此,迫切需要一种高效、绿色、自动化的检测方法,为准确筛选实际样品提供技术支持。与此同时,自2013年以来,茚唑类SCs的数量急剧增加,这是由于它们具有更强的精神活性作用。事实上,法医实验室主要分析这个关键的SC子类。因此,在本研究中,我们建立了一种新的方法,以在线固相萃取(online SPE)为预处理技术,采用液相色谱-线性离子阱质谱法分析人体尿液和血液中的51种吲达唑型SCs。脱蛋白的方法是加入乙腈,用含有0.1%甲酸的10 mmol/L (pH 4.8)醋酸铵溶液稀释。然后以乙腈-10 mmol/L乙酸铵水溶液(含0.1%甲酸)为流动相直接分析样品。选择全扫描质谱中质子化分子离子([M+H]+)的质荷比,以及分析物色谱中的保留时间,目的是监测各种化合物的MS2离子。总结了各种SC结构的特征片段离子,用多级质谱法和保留时间成功地区分了5组异构体,每组含有10个化合物。采用多级质谱法对51个茚唑型SCs进行定性筛选,并利用MS2离子对(作为定量离子对)对其进行定量分析。检测限为0.02 ~ 1 ng/mL,定量限分别为0.04 ~ 4 ng/mL和0.1 ~ 4 ng/mL。线性拟合(加权因子1/x)显示,每种分析物在各自的线性范围内具有良好的线性关系,尿液和血液的相关系数(R2)均大于0.99。通过测定精密度和加标回收率(n=6)来检验分析方法的有效性。加样回收率为83.47% ~ 116.95%,精密度为2.29% ~ 13.40%。低、中、高水平加样回收率为86.63% ~ 113.38%,精密度为0.58% ~ 13.79%。该方法不仅操作简便,而且可实现自动化。实际上,通过阀门开关在动态模式下进行样品提取、富集和分析时,实现了高通量样品分析。同时,该方法具有良好的灵敏度,比以往报道的方法适用于更广泛的化合物;为实际相关病例中SCs的快速筛选和定量分析提供了科学依据和技术支持。
本文章由计算机程序翻译,如有差异,请以英文原文为准。
求助全文
约1分钟内获得全文 求助全文
来源期刊
自引率
0.00%
发文量
0
×
引用
GB/T 7714-2015
复制
MLA
复制
APA
复制
导出至
BibTeX EndNote RefMan NoteFirst NoteExpress
×
提示
您的信息不完整,为了账户安全,请先补充。
现在去补充
×
提示
您因"违规操作"
具体请查看互助需知
我知道了
×
提示
确定
请完成安全验证×
copy
已复制链接
快去分享给好友吧!
我知道了
右上角分享
点击右上角分享
0
联系我们:info@booksci.cn Book学术提供免费学术资源搜索服务,方便国内外学者检索中英文文献。致力于提供最便捷和优质的服务体验。 Copyright © 2023 布克学术 All rights reserved.
京ICP备2023020795号-1
ghs 京公网安备 11010802042870号
Book学术文献互助
Book学术文献互助群
群 号:604180095
Book学术官方微信