Association between use of sodium-glucose co-transporter-2 inhibitor and the risk of incident dementia: a population-based cohort study.

IF 4.1 2区 医学 Q2 ENDOCRINOLOGY & METABOLISM
Zarin Abdullah, Ying Cui, Robert W Platt, Christel Renoux, Laurent Azoulay, Chenjie Xia, Oriana Hoi Yun Yu
{"title":"Association between use of sodium-glucose co-transporter-2 inhibitor and the risk of incident dementia: a population-based cohort study.","authors":"Zarin Abdullah, Ying Cui, Robert W Platt, Christel Renoux, Laurent Azoulay, Chenjie Xia, Oriana Hoi Yun Yu","doi":"10.1136/bmjdrc-2024-004541","DOIUrl":null,"url":null,"abstract":"<p><strong>Objectives: </strong>To assess the association between sodium-glucose co-transporter-2 inhibitor (SGLT-2i) use and the risk of incident dementia compared with dipeptidyl peptidase-4 inhibitors (DPP-4i) use among individuals with type 2 diabetes.</p><p><strong>Design: </strong>A population-based retrospective cohort study.</p><p><strong>Setting: </strong>The Clinical Practice Research Datalink (CPRD) Aurum database from the UK.</p><p><strong>Participants: </strong>Individuals with type 2 diabetes, aged 40 years or older, newly prescribed SGLT-2i or DPP-4i on or after 2013-2021, registered in the CPRD Aurum database.</p><p><strong>Main outcome measure: </strong>The primary outcome was incident dementia, and the secondary outcome was incident mild cognitive impairment (MCI). Cox proportional hazard models were used to estimate the HR and corresponding 95% CI for the primary and secondary outcomes. Propensity score fine stratification weights were used to adjust for confounding.</p><p><strong>Results: </strong>Among a cohort of 118 006 individuals, the incident rate (IR) of dementia was 0.56/1000 person-years over a median follow-up period of 1.54 years among SGLT-2i users compared with 2.67/1000 person-years in DPP-4i users, over a median follow-up period of 1.79 years. The adjusted HR for SGLT-2i use compared with DPP-4i use for dementia was 0.78 (95% CI 0.55 to 1.12), while for MCI was 0.86 (95% CI 0.80 to 0.92). The age-specific stratified analysis demonstrated the adjusted HR for SGLT-2i use compared with DPP-4i use for the risk of incident dementia among elderly, aged ≥65 years, was 0.50 (95% CI 0.31 to 0.80).</p><p><strong>Conclusion: </strong>Primary findings did not yield conclusive evidence to infer an association between SGLT-2i use and the risk of incident dementia.</p>","PeriodicalId":9151,"journal":{"name":"BMJ Open Diabetes Research & Care","volume":"13 1","pages":""},"PeriodicalIF":4.1000,"publicationDate":"2025-01-21","publicationTypes":"Journal Article","fieldsOfStudy":null,"isOpenAccess":false,"openAccessPdf":"https://www.ncbi.nlm.nih.gov/pmc/articles/PMC11751778/pdf/","citationCount":"0","resultStr":null,"platform":"Semanticscholar","paperid":null,"PeriodicalName":"BMJ Open Diabetes Research & Care","FirstCategoryId":"3","ListUrlMain":"https://doi.org/10.1136/bmjdrc-2024-004541","RegionNum":2,"RegionCategory":"医学","ArticlePicture":[],"TitleCN":null,"AbstractTextCN":null,"PMCID":null,"EPubDate":"","PubModel":"","JCR":"Q2","JCRName":"ENDOCRINOLOGY & METABOLISM","Score":null,"Total":0}
引用次数: 0

Abstract

Objectives: To assess the association between sodium-glucose co-transporter-2 inhibitor (SGLT-2i) use and the risk of incident dementia compared with dipeptidyl peptidase-4 inhibitors (DPP-4i) use among individuals with type 2 diabetes.

Design: A population-based retrospective cohort study.

Setting: The Clinical Practice Research Datalink (CPRD) Aurum database from the UK.

Participants: Individuals with type 2 diabetes, aged 40 years or older, newly prescribed SGLT-2i or DPP-4i on or after 2013-2021, registered in the CPRD Aurum database.

Main outcome measure: The primary outcome was incident dementia, and the secondary outcome was incident mild cognitive impairment (MCI). Cox proportional hazard models were used to estimate the HR and corresponding 95% CI for the primary and secondary outcomes. Propensity score fine stratification weights were used to adjust for confounding.

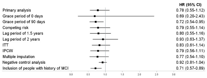
Results: Among a cohort of 118 006 individuals, the incident rate (IR) of dementia was 0.56/1000 person-years over a median follow-up period of 1.54 years among SGLT-2i users compared with 2.67/1000 person-years in DPP-4i users, over a median follow-up period of 1.79 years. The adjusted HR for SGLT-2i use compared with DPP-4i use for dementia was 0.78 (95% CI 0.55 to 1.12), while for MCI was 0.86 (95% CI 0.80 to 0.92). The age-specific stratified analysis demonstrated the adjusted HR for SGLT-2i use compared with DPP-4i use for the risk of incident dementia among elderly, aged ≥65 years, was 0.50 (95% CI 0.31 to 0.80).

Conclusion: Primary findings did not yield conclusive evidence to infer an association between SGLT-2i use and the risk of incident dementia.

Abstract Image

Abstract Image

钠-葡萄糖共转运蛋白-2抑制剂的使用与痴呆发生风险之间的关系:一项基于人群的队列研究
目的:评估在2型糖尿病患者中,与使用二肽基肽酶-4抑制剂(DPP-4i)相比,使用钠-葡萄糖共转运蛋白-2抑制剂(SGLT-2i)与痴呆发生风险之间的关系。设计:以人群为基础的回顾性队列研究。背景:英国临床实践研究数据链(CPRD) Aurum数据库。参与者:患有2型糖尿病的个体,年龄在40岁或以上,2013-2021年或之后新开SGLT-2i或DPP-4i,在CPRD Aurum数据库中注册。主要结局指标:主要结局为痴呆的发生,次要结局为轻度认知障碍(MCI)的发生。Cox比例风险模型用于估计主要和次要结局的HR和相应的95% CI。倾向评分精细分层权重用于校正混杂。结果:在11806人的队列中,SGLT-2i使用者的痴呆发病率(IR)为0.56/1000人年,中位随访期为1.54年,而DPP-4i使用者的IR为2.67/1000人年,中位随访期为1.79年。与使用DPP-4i治疗痴呆相比,使用SGLT-2i的调整风险比为0.78 (95% CI 0.55至1.12),而使用MCI的调整风险比为0.86 (95% CI 0.80至0.92)。年龄特异性分层分析显示,在≥65岁的老年人中,使用SGLT-2i与使用DPP-4i发生痴呆风险的校正HR为0.50 (95% CI 0.31 - 0.80)。结论:初步研究结果并没有提供确凿的证据来推断SGLT-2i的使用与痴呆发生风险之间的关联。
本文章由计算机程序翻译,如有差异,请以英文原文为准。
求助全文
约1分钟内获得全文 求助全文
来源期刊
BMJ Open Diabetes Research & Care
BMJ Open Diabetes Research & Care Medicine-Endocrinology, Diabetes and Metabolism
CiteScore
9.30
自引率
2.40%
发文量
123
审稿时长
18 weeks
期刊介绍: BMJ Open Diabetes Research & Care is an open access journal committed to publishing high-quality, basic and clinical research articles regarding type 1 and type 2 diabetes, and associated complications. Only original content will be accepted, and submissions are subject to rigorous peer review to ensure the publication of high-quality — and evidence-based — original research articles.
×
引用
GB/T 7714-2015
复制
MLA
复制
APA
复制
导出至
BibTeX EndNote RefMan NoteFirst NoteExpress
×
提示
您的信息不完整,为了账户安全,请先补充。
现在去补充
×
提示
您因"违规操作"
具体请查看互助需知
我知道了
×
提示
确定
请完成安全验证×
copy
已复制链接
快去分享给好友吧!
我知道了
右上角分享
点击右上角分享
0
联系我们:info@booksci.cn Book学术提供免费学术资源搜索服务,方便国内外学者检索中英文文献。致力于提供最便捷和优质的服务体验。 Copyright © 2023 布克学术 All rights reserved.
京ICP备2023020795号-1
ghs 京公网安备 11010802042870号
Book学术文献互助
Book学术文献互助群
群 号:604180095
Book学术官方微信