Access to healthcare: waiting time until the surgical procedure.

IF 4.3
Annals of medicine Pub Date : 2025-12-01 Epub Date: 2025-01-20 DOI:10.1080/07853890.2025.2452358
Cassiane de Santana Lemos, Ana Maria Muller Magalhães, Danielle Saraiva Tuma Dos Reis, Alessandra Yuri Takehana de Andrade, Karla Cristina de Almeida, Fabiana Zerbieri Martins, Nancy Reynolds, Vanessa de Brito Poveda
{"title":"Access to healthcare: waiting time until the surgical procedure.","authors":"Cassiane de Santana Lemos, Ana Maria Muller Magalhães, Danielle Saraiva Tuma Dos Reis, Alessandra Yuri Takehana de Andrade, Karla Cristina de Almeida, Fabiana Zerbieri Martins, Nancy Reynolds, Vanessa de Brito Poveda","doi":"10.1080/07853890.2025.2452358","DOIUrl":null,"url":null,"abstract":"<p><strong>Background: </strong>Understanding the determinants that limit the population's access to surgical care in health services is highly relevant in order to provide data to support political interventions.</p><p><strong>Objective: </strong>This study aimed to evaluate the time between diagnosis and elective surgery in adult patients with the longest waiting lists in Brazil; identify the determinants that interfere with access to the health service to perform surgery; and analyze the quality of life after the indicative diagnosis of surgical intervention.</p><p><strong>Methods: </strong>A cross-sectional study was conducted with adult patients treated at three hospitals in the Southeast, North and South regions of Brazil, from October 2020 to October 2022. Data collection included socio-demographic data and assessment of quality of life using the WHOQOL-Bref instrument in the immediate postoperative period and one month after surgery.</p><p><strong>Results: </strong>A total of 250 patients participated in the study, 55.6% patients from the Southeast, 20.4% patients from the North and 24% patients from the South, with a mean age of 51.86 (SD = 14.27) years and clinical history such as arterial hypertension (<i>p</i> < 0.001). The longest mean waiting time for surgery identified was 26.23 (SD = 17.62) months in the South region, with a significant difference between the evaluated institutions (<i>p</i> = 0.02). Differences were observed between the first place of care of the evaluated patients (<i>p</i> < 0.001). There was a difference in the perception of quality of life between the immediate and late postoperative periods (<i>p</i> = 0.007) and in the physical domain, with an increase in scores among older patients (<i>p</i> = 0.004) and previous clinical history (<i>p</i> = 0.03).</p><p><strong>Conclusion: </strong>Access to the health system varies by region and does not meet the standards proposed by the Brazilian health system. In addition, it seems that longer waiting times for surgery more perceptibly affect the quality of life of older adults and those with other associated diseases.</p>","PeriodicalId":93874,"journal":{"name":"Annals of medicine","volume":"57 1","pages":"2452358"},"PeriodicalIF":4.3000,"publicationDate":"2025-12-01","publicationTypes":"Journal Article","fieldsOfStudy":null,"isOpenAccess":false,"openAccessPdf":"https://www.ncbi.nlm.nih.gov/pmc/articles/PMC11749150/pdf/","citationCount":"0","resultStr":null,"platform":"Semanticscholar","paperid":null,"PeriodicalName":"Annals of medicine","FirstCategoryId":"1085","ListUrlMain":"https://doi.org/10.1080/07853890.2025.2452358","RegionNum":0,"RegionCategory":null,"ArticlePicture":[],"TitleCN":null,"AbstractTextCN":null,"PMCID":null,"EPubDate":"2025/1/20 0:00:00","PubModel":"Epub","JCR":"","JCRName":"","Score":null,"Total":0}
引用次数: 0

Abstract

Background: Understanding the determinants that limit the population's access to surgical care in health services is highly relevant in order to provide data to support political interventions.

Objective: This study aimed to evaluate the time between diagnosis and elective surgery in adult patients with the longest waiting lists in Brazil; identify the determinants that interfere with access to the health service to perform surgery; and analyze the quality of life after the indicative diagnosis of surgical intervention.

Methods: A cross-sectional study was conducted with adult patients treated at three hospitals in the Southeast, North and South regions of Brazil, from October 2020 to October 2022. Data collection included socio-demographic data and assessment of quality of life using the WHOQOL-Bref instrument in the immediate postoperative period and one month after surgery.

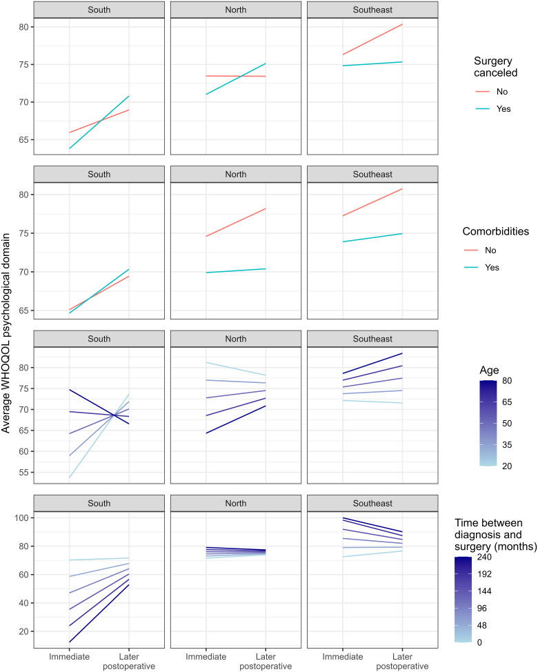
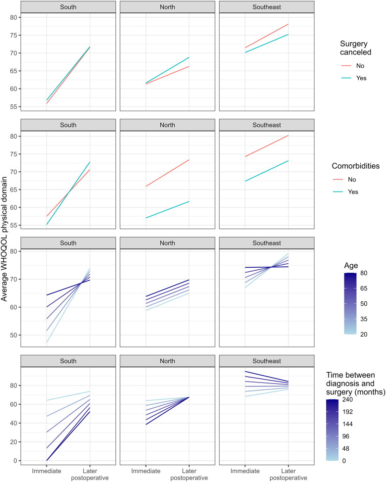
Results: A total of 250 patients participated in the study, 55.6% patients from the Southeast, 20.4% patients from the North and 24% patients from the South, with a mean age of 51.86 (SD = 14.27) years and clinical history such as arterial hypertension (p < 0.001). The longest mean waiting time for surgery identified was 26.23 (SD = 17.62) months in the South region, with a significant difference between the evaluated institutions (p = 0.02). Differences were observed between the first place of care of the evaluated patients (p < 0.001). There was a difference in the perception of quality of life between the immediate and late postoperative periods (p = 0.007) and in the physical domain, with an increase in scores among older patients (p = 0.004) and previous clinical history (p = 0.03).

Conclusion: Access to the health system varies by region and does not meet the standards proposed by the Brazilian health system. In addition, it seems that longer waiting times for surgery more perceptibly affect the quality of life of older adults and those with other associated diseases.

Abstract Image

Abstract Image

获得医疗保健:手术前的等待时间。
背景:了解限制人口在卫生服务中获得外科护理的决定因素对于提供数据支持政治干预具有重要意义。目的:本研究旨在评估巴西候诊名单最长的成年患者从诊断到择期手术之间的时间;确定妨碍获得外科手术保健服务的决定因素;并分析手术干预指示性诊断后的生活质量。方法:对2020年10月至2022年10月在巴西东南部、北部和南部地区三家医院接受治疗的成年患者进行横断面研究。数据收集包括社会人口统计数据和使用WHOQOL-Bref仪器在术后即刻和术后1个月的生活质量评估。结果:共有250例患者参与研究,其中东南部55.6%,北部20.4%,南部24%,平均年龄51.86 (SD = 14.27)岁,有动脉高血压等临床病史(p p = 0.02)。在评估患者的第一护理地点和身体领域观察到差异(p = 0.007),老年患者的得分增加(p = 0.004)和既往临床病史(p = 0.03)。结论:卫生系统的可及性因地区而异,不符合巴西卫生系统提出的标准。此外,等待手术的时间较长似乎更明显地影响老年人和其他相关疾病患者的生活质量。
本文章由计算机程序翻译,如有差异,请以英文原文为准。
求助全文
约1分钟内获得全文 求助全文
来源期刊
自引率
0.00%
发文量
0
×
引用
GB/T 7714-2015
复制
MLA
复制
APA
复制
导出至
BibTeX EndNote RefMan NoteFirst NoteExpress
×
提示
您的信息不完整,为了账户安全,请先补充。
现在去补充
×
提示
您因"违规操作"
具体请查看互助需知
我知道了
×
提示
确定
请完成安全验证×
copy
已复制链接
快去分享给好友吧!
我知道了
右上角分享
点击右上角分享
0
联系我们:info@booksci.cn Book学术提供免费学术资源搜索服务,方便国内外学者检索中英文文献。致力于提供最便捷和优质的服务体验。 Copyright © 2023 布克学术 All rights reserved.
京ICP备2023020795号-1
ghs 京公网安备 11010802042870号
Book学术文献互助
Book学术文献互助群
群 号:604180095
Book学术官方微信