The use of topical antiseptic solutions in the healing process of post-surgical skin wounds in dogs (Canis lupus familiaris).

IF 1.3
Acta cirurgica brasileira Pub Date : 2025-01-13 eCollection Date: 2025-01-01 DOI:10.1590/acb400525
Thomás Souza E Silva, Soke Gninlome Cedril Hounkonnou, Hiasmin Marcia de Souza Lima, Joana Luiza Crispiano Cunha Santos, Fábio de Souza Mendonça, Rinaldo Florencio-Silva, Ricardo Dos Santos Simões, Fabrício Bezerra da Sá, Joaquim Evêncio-Neto
{"title":"The use of topical antiseptic solutions in the healing process of post-surgical skin wounds in dogs (Canis lupus familiaris).","authors":"Thomás Souza E Silva, Soke Gninlome Cedril Hounkonnou, Hiasmin Marcia de Souza Lima, Joana Luiza Crispiano Cunha Santos, Fábio de Souza Mendonça, Rinaldo Florencio-Silva, Ricardo Dos Santos Simões, Fabrício Bezerra da Sá, Joaquim Evêncio-Neto","doi":"10.1590/acb400525","DOIUrl":null,"url":null,"abstract":"<p><strong>Purpose: </strong>To evaluate whether the effectiveness of topical antiseptic solutions in restoring skin continuity solutions is related to their antimicrobial action or to their action in maintaining moisture, in dogs undergoing elective surgeries.</p><p><strong>Methods: </strong>Forty dogs, 20 males and 20 females, underwent orchiectomy and oophorectomy, respectively. Thereafter, the animals were allocated into four groups (n = 5) and treated with different topical solutions: polyhexanide 0.1% (G1), chlorhexidine digluconate 0.05% (G2), povidone-iodine 0.1% (G3), and sodium chloride 0.9% (control). Macroscopically evaluation of wounds on days 1, 5, and 10 after procedures, and hematological parameters were performed. Data were subjected to statistical analysis (p 0.05).</p><p><strong>Results: </strong>No significant differences in the macroscopic evaluation of the wounds and hematological parameters were observed among groups, in the healing of clean elective surgical wounds. However, applying a topical solution dressing to maintain a moist wound promoted adequate tissue healing.</p><p><strong>Conclusion: </strong>In our experimental conditions, moisture provided by topical antiseptic solutions is an important factor compared to the antiseptic activity of these solutions, for skin wound healing in post-surgical dressings resulting from clean, short-term elective surgeries in male and female dogs. Moreover, the type of topical antiseptic solution used does not influence the development of post-surgical infection.</p>","PeriodicalId":93850,"journal":{"name":"Acta cirurgica brasileira","volume":"40 ","pages":"e400525"},"PeriodicalIF":1.3000,"publicationDate":"2025-01-13","publicationTypes":"Journal Article","fieldsOfStudy":null,"isOpenAccess":false,"openAccessPdf":"https://www.ncbi.nlm.nih.gov/pmc/articles/PMC11729199/pdf/","citationCount":"0","resultStr":null,"platform":"Semanticscholar","paperid":null,"PeriodicalName":"Acta cirurgica brasileira","FirstCategoryId":"1085","ListUrlMain":"https://doi.org/10.1590/acb400525","RegionNum":0,"RegionCategory":null,"ArticlePicture":[],"TitleCN":null,"AbstractTextCN":null,"PMCID":null,"EPubDate":"2025/1/1 0:00:00","PubModel":"eCollection","JCR":"","JCRName":"","Score":null,"Total":0}
引用次数: 0

Abstract

Purpose: To evaluate whether the effectiveness of topical antiseptic solutions in restoring skin continuity solutions is related to their antimicrobial action or to their action in maintaining moisture, in dogs undergoing elective surgeries.

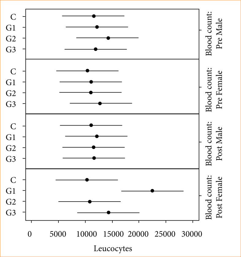
Methods: Forty dogs, 20 males and 20 females, underwent orchiectomy and oophorectomy, respectively. Thereafter, the animals were allocated into four groups (n = 5) and treated with different topical solutions: polyhexanide 0.1% (G1), chlorhexidine digluconate 0.05% (G2), povidone-iodine 0.1% (G3), and sodium chloride 0.9% (control). Macroscopically evaluation of wounds on days 1, 5, and 10 after procedures, and hematological parameters were performed. Data were subjected to statistical analysis (p 0.05).

Results: No significant differences in the macroscopic evaluation of the wounds and hematological parameters were observed among groups, in the healing of clean elective surgical wounds. However, applying a topical solution dressing to maintain a moist wound promoted adequate tissue healing.

Conclusion: In our experimental conditions, moisture provided by topical antiseptic solutions is an important factor compared to the antiseptic activity of these solutions, for skin wound healing in post-surgical dressings resulting from clean, short-term elective surgeries in male and female dogs. Moreover, the type of topical antiseptic solution used does not influence the development of post-surgical infection.

Abstract Image

Abstract Image

Abstract Image

局部抗菌溶液在犬(犬狼疮)术后皮肤伤口愈合过程中的应用。
目的:评估局部抗菌溶液在恢复皮肤连续性中的有效性,是否与它们的抗菌作用或保持水分的作用有关,在接受选择性手术的狗。方法:40只犬,公犬20只,母犬20只,分别行睾丸切除术和卵巢切除术。随后,将动物分为4组(n = 5),分别给予0.1%聚己胺(G1)、0.05%二光酸氯己定(G2)、0.1%聚维酮碘(G3)、0.9%氯化钠(对照组)。术后第1、5、10天对创面进行宏观评价,并对血液学参数进行评价。数据进行统计学分析(p < 0.05)。结果:清洁择期手术创面愈合时,两组间创面宏观评价及血液学指标无明显差异。然而,使用局部溶液敷料来保持伤口湿润,促进了足够的组织愈合。结论:在我们的实验条件下,相对于这些溶液的抗菌活性,外用抗菌溶液提供的水分是影响公犬和母犬清洁短期择期手术后敷料皮肤创面愈合的重要因素。此外,使用的局部消毒溶液的类型不影响术后感染的发展。
本文章由计算机程序翻译,如有差异,请以英文原文为准。
求助全文
约1分钟内获得全文 求助全文
来源期刊
自引率
0.00%
发文量
0
×
引用
GB/T 7714-2015
复制
MLA
复制
APA
复制
导出至
BibTeX EndNote RefMan NoteFirst NoteExpress
×
提示
您的信息不完整,为了账户安全,请先补充。
现在去补充
×
提示
您因"违规操作"
具体请查看互助需知
我知道了
×
提示
确定
请完成安全验证×
copy
已复制链接
快去分享给好友吧!
我知道了
右上角分享
点击右上角分享
0
联系我们:info@booksci.cn Book学术提供免费学术资源搜索服务,方便国内外学者检索中英文文献。致力于提供最便捷和优质的服务体验。 Copyright © 2023 布克学术 All rights reserved.
京ICP备2023020795号-1
ghs 京公网安备 11010802042870号
Book学术文献互助
Book学术文献互助群
群 号:604180095
Book学术官方微信