Exploring infodemiology: unraveling the intricate relationships among stress, headaches, migraines, and suicide through Google Trends analysis.

IF 2.4 Q3 COMPUTER SCIENCE, INFORMATION SYSTEMS
Frontiers in Big Data Pub Date : 2025-01-07 eCollection Date: 2024-01-01 DOI:10.3389/fdata.2024.1365417
Rapuru Rushendran, Vellapandian Chitra
{"title":"Exploring infodemiology: unraveling the intricate relationships among stress, headaches, migraines, and suicide through Google Trends analysis.","authors":"Rapuru Rushendran, Vellapandian Chitra","doi":"10.3389/fdata.2024.1365417","DOIUrl":null,"url":null,"abstract":"<p><strong>Introduction: </strong>Google Trends has emerged as a vital resource for understanding public information-seeking behavior. This study investigates the interconnected search trends of stress, headaches, migraines, and suicide, highlighting their relevance to public health and mental well-being. By employing infodemiology, the study explores temporal and geographical patterns in search behavior and examines the impact of global events like the COVID-19 pandemic.</p><p><strong>Methods: </strong>Data mining was conducted using Google Trends for the search terms \"stress,\" \"headache,\" \"migraine,\" and \"suicide.\" Relative Search Volume (RSV) data from October 2013 to October 2023 was collected and adjusted for time and location. Statistical analyses, including Pearson correlation tests, linear regression, and seasonal Mann-Kendall tests, were applied to identify correlations, trends, and seasonal variations. Geographical differences were also analyzed to understand regional disparities.</p><p><strong>Results: </strong>Significant correlations were observed among the search terms, with \"migraine\" and \"suicide\" showing the strongest association. Seasonal variations revealed a peak in search volumes during winter months. Geographical analysis highlighted consistently high RSV in the Philippines for all terms. During the COVID-19 pandemic, searches for stress, headaches, and migraines showed notable increases, reflecting heightened public interest in mental health-related topics during this period.</p><p><strong>Discussion: </strong>The study underscores the interconnected nature of stress, headaches, migraines, and suicide in public search behavior. Seasonal patterns and regional variations emphasize the need for targeted interventions. The observed surge in search volume during the COVID-19 pandemic highlights the profound impact of global crises on mental health and the importance of timely public health responses.</p><p><strong>Conclusion: </strong>Google Trends provides valuable insights into the public's interest in health-related topics, demonstrating the intricate relationship between stress, headaches, migraines, and suicide. The findings highlight the need for increased mental health awareness and interventions, particularly during times of heightened stress. Further research is essential to develop strategies that mitigate the impact of these stressors on public health.</p>","PeriodicalId":52859,"journal":{"name":"Frontiers in Big Data","volume":"7 ","pages":"1365417"},"PeriodicalIF":2.4000,"publicationDate":"2025-01-07","publicationTypes":"Journal Article","fieldsOfStudy":null,"isOpenAccess":false,"openAccessPdf":"https://www.ncbi.nlm.nih.gov/pmc/articles/PMC11747232/pdf/","citationCount":"0","resultStr":null,"platform":"Semanticscholar","paperid":null,"PeriodicalName":"Frontiers in Big Data","FirstCategoryId":"1085","ListUrlMain":"https://doi.org/10.3389/fdata.2024.1365417","RegionNum":0,"RegionCategory":null,"ArticlePicture":[],"TitleCN":null,"AbstractTextCN":null,"PMCID":null,"EPubDate":"2024/1/1 0:00:00","PubModel":"eCollection","JCR":"Q3","JCRName":"COMPUTER SCIENCE, INFORMATION SYSTEMS","Score":null,"Total":0}
引用次数: 0

Abstract

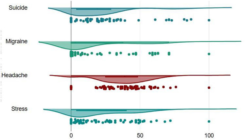
Introduction: Google Trends has emerged as a vital resource for understanding public information-seeking behavior. This study investigates the interconnected search trends of stress, headaches, migraines, and suicide, highlighting their relevance to public health and mental well-being. By employing infodemiology, the study explores temporal and geographical patterns in search behavior and examines the impact of global events like the COVID-19 pandemic.

Methods: Data mining was conducted using Google Trends for the search terms "stress," "headache," "migraine," and "suicide." Relative Search Volume (RSV) data from October 2013 to October 2023 was collected and adjusted for time and location. Statistical analyses, including Pearson correlation tests, linear regression, and seasonal Mann-Kendall tests, were applied to identify correlations, trends, and seasonal variations. Geographical differences were also analyzed to understand regional disparities.

Results: Significant correlations were observed among the search terms, with "migraine" and "suicide" showing the strongest association. Seasonal variations revealed a peak in search volumes during winter months. Geographical analysis highlighted consistently high RSV in the Philippines for all terms. During the COVID-19 pandemic, searches for stress, headaches, and migraines showed notable increases, reflecting heightened public interest in mental health-related topics during this period.

Discussion: The study underscores the interconnected nature of stress, headaches, migraines, and suicide in public search behavior. Seasonal patterns and regional variations emphasize the need for targeted interventions. The observed surge in search volume during the COVID-19 pandemic highlights the profound impact of global crises on mental health and the importance of timely public health responses.

Conclusion: Google Trends provides valuable insights into the public's interest in health-related topics, demonstrating the intricate relationship between stress, headaches, migraines, and suicide. The findings highlight the need for increased mental health awareness and interventions, particularly during times of heightened stress. Further research is essential to develop strategies that mitigate the impact of these stressors on public health.

Abstract Image

Abstract Image

Abstract Image

探索信息流行病学:通过谷歌趋势分析揭示压力、头痛、偏头痛和自杀之间的复杂关系。
谷歌Trends已成为了解公众信息寻求行为的重要资源。这项研究调查了压力、头痛、偏头痛和自杀的相互关联的搜索趋势,强调了它们与公众健康和心理健康的相关性。通过使用信息流行病学,该研究探索了搜索行为的时间和地理模式,并研究了COVID-19大流行等全球事件的影响。方法:使用谷歌Trends对搜索词“压力”、“头痛”、“偏头痛”和“自杀”进行数据挖掘。收集2013年10月至2023年10月的相对搜索量(RSV)数据,并根据时间和地点进行调整。统计分析,包括Pearson相关检验、线性回归和季节性Mann-Kendall检验,用于确定相关性、趋势和季节变化。还分析了地理差异,以了解区域差异。结果:搜索词之间存在显著的相关性,其中“偏头痛”和“自杀”的相关性最强。季节变化显示,搜索量在冬季达到峰值。地理分析强调了菲律宾所有时期RSV的持续高水平。在2019冠状病毒病大流行期间,对压力、头痛和偏头痛的搜索量显着增加,反映出这一时期公众对精神健康相关话题的兴趣增强。讨论:该研究强调了压力、头痛、偏头痛和自杀在公共搜索行为中的相互联系的本质。季节性模式和区域差异强调需要采取有针对性的干预措施。在2019冠状病毒病大流行期间观察到的搜索量激增凸显了全球危机对精神卫生的深远影响以及及时采取公共卫生应对措施的重要性。结论:谷歌Trends为公众对健康相关话题的兴趣提供了有价值的见解,展示了压力、头痛、偏头痛和自杀之间的复杂关系。研究结果强调了提高心理健康意识和干预措施的必要性,特别是在压力加剧的时候。进一步的研究对于制定减轻这些压力源对公共卫生影响的战略至关重要。
本文章由计算机程序翻译,如有差异,请以英文原文为准。
求助全文
约1分钟内获得全文 求助全文
来源期刊
CiteScore
5.20
自引率
3.20%
发文量
122
审稿时长
13 weeks
×
引用
GB/T 7714-2015
复制
MLA
复制
APA
复制
导出至
BibTeX EndNote RefMan NoteFirst NoteExpress
×
提示
您的信息不完整,为了账户安全,请先补充。
现在去补充
×
提示
您因"违规操作"
具体请查看互助需知
我知道了
×
提示
确定
请完成安全验证×
copy
已复制链接
快去分享给好友吧!
我知道了
右上角分享
点击右上角分享
0
联系我们:info@booksci.cn Book学术提供免费学术资源搜索服务,方便国内外学者检索中英文文献。致力于提供最便捷和优质的服务体验。 Copyright © 2023 布克学术 All rights reserved.
京ICP备2023020795号-1
ghs 京公网安备 11010802042870号
Book学术文献互助
Book学术文献互助群
群 号:604180095
Book学术官方微信