HIV prevention among adolescents travestis and transgender women in three Brazilian capitals, 2019-2023.

IF 2 Q1 Multidisciplinary
Beo Oliveira Leite, Laio Magno, Dirceu Greco, Alexandre Grangeiro, Ines Dourado
{"title":"HIV prevention among adolescents travestis and transgender women in three Brazilian capitals, 2019-2023.","authors":"Beo Oliveira Leite, Laio Magno, Dirceu Greco, Alexandre Grangeiro, Ines Dourado","doi":"10.1590/S2237-96222024v33e2024321.especial.en","DOIUrl":null,"url":null,"abstract":"<p><strong>Objective: </strong>To describe HIV prevention strategies and gender-based discrimination among adolescent travestis and transgender women.</p><p><strong>Methods: </strong>This was a cross-sectional study involving 148 adolescent travestis and transgender women aged 15 to 19 years in Salvador, Bahia state, São Paulo, São Paulo state, and Belo Horizonte, Minas Gerais state, conducted between February 2019 and March 2023. Fisher's exact test was performed to assess differences between prevention strategies and gender-based discrimination within healthcare services.</p><p><strong>Results: </strong>18.9 % reported engaging in receptive anal sex using condom in the past 6 months; 62.2% had undergone HIV test at least once in their lifetime; and 88.5% had started pre-exposure prophylaxis (PrEP) for HIV. Adolescents aged 15 to 17 years with previous experiences of discrimination in healthcare services had undergone fewer HIV tests in their lifetime or had started PrEP less frequently.</p><p><strong>Conclusion: </strong>There is an urgent need for the implementation of public policies that eradicate gender-based discrimination and expand access to HIV prevention.</p>","PeriodicalId":51473,"journal":{"name":"Epidemiologia e Servicos de Saude","volume":"33 spe1","pages":"e2024321"},"PeriodicalIF":2.0000,"publicationDate":"2025-01-10","publicationTypes":"Journal Article","fieldsOfStudy":null,"isOpenAccess":false,"openAccessPdf":"https://www.ncbi.nlm.nih.gov/pmc/articles/PMC11734661/pdf/","citationCount":"0","resultStr":null,"platform":"Semanticscholar","paperid":null,"PeriodicalName":"Epidemiologia e Servicos de Saude","FirstCategoryId":"1085","ListUrlMain":"https://doi.org/10.1590/S2237-96222024v33e2024321.especial.en","RegionNum":0,"RegionCategory":null,"ArticlePicture":[],"TitleCN":null,"AbstractTextCN":null,"PMCID":null,"EPubDate":"2025/1/1 0:00:00","PubModel":"eCollection","JCR":"Q1","JCRName":"Multidisciplinary","Score":null,"Total":0}
引用次数: 0

Abstract

Objective: To describe HIV prevention strategies and gender-based discrimination among adolescent travestis and transgender women.

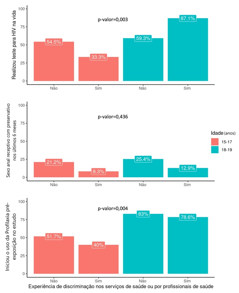
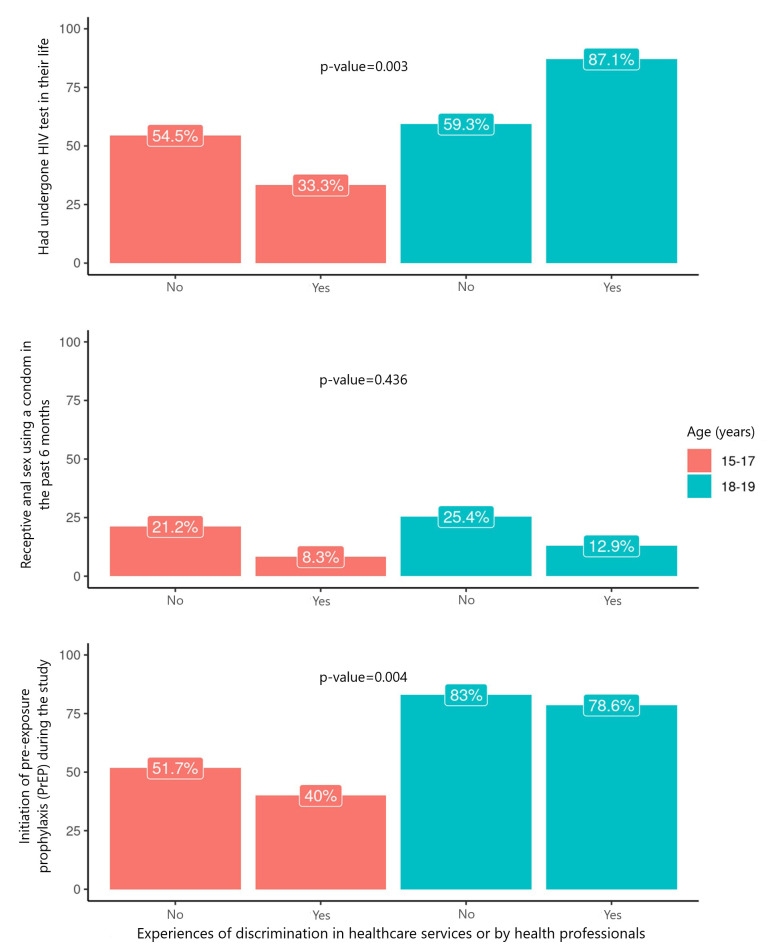
Methods: This was a cross-sectional study involving 148 adolescent travestis and transgender women aged 15 to 19 years in Salvador, Bahia state, São Paulo, São Paulo state, and Belo Horizonte, Minas Gerais state, conducted between February 2019 and March 2023. Fisher's exact test was performed to assess differences between prevention strategies and gender-based discrimination within healthcare services.

Results: 18.9 % reported engaging in receptive anal sex using condom in the past 6 months; 62.2% had undergone HIV test at least once in their lifetime; and 88.5% had started pre-exposure prophylaxis (PrEP) for HIV. Adolescents aged 15 to 17 years with previous experiences of discrimination in healthcare services had undergone fewer HIV tests in their lifetime or had started PrEP less frequently.

Conclusion: There is an urgent need for the implementation of public policies that eradicate gender-based discrimination and expand access to HIV prevention.

Abstract Image

Abstract Image

2019-2023年巴西三个首都青少年和跨性别女性的艾滋病毒预防
目的:了解青少年变性女性艾滋病预防策略及性别歧视情况。方法:这是一项横断面研究,于2019年2月至2023年3月期间在巴伊亚州萨尔瓦多、圣保罗州、圣保罗州和米纳斯吉拉斯州贝洛奥里藏特进行,涉及148名15至19岁的青少年变性妇女和变性妇女。采用Fisher精确检验来评估保健服务中预防策略和基于性别的歧视之间的差异。结果:18.9%的人报告在过去6个月内使用安全套进行过接受性肛交;62.2%的人一生中至少接受过一次艾滋病毒检测;88.5%的人开始了HIV暴露前预防(PrEP)。15至17岁的青少年在其一生中接受的艾滋病毒检测较少,以前在保健服务中受到歧视的经历较少,或开始PrEP的频率较低。结论:迫切需要实施消除性别歧视和扩大艾滋病预防可及性的公共政策。
本文章由计算机程序翻译,如有差异,请以英文原文为准。
求助全文
约1分钟内获得全文 求助全文
来源期刊
Epidemiologia e Servicos de Saude
Epidemiologia e Servicos de Saude PUBLIC, ENVIRONMENTAL & OCCUPATIONAL HEALTH-
CiteScore
4.90
自引率
0.00%
发文量
88
审稿时长
21 weeks
×
引用
GB/T 7714-2015
复制
MLA
复制
APA
复制
导出至
BibTeX EndNote RefMan NoteFirst NoteExpress
×
提示
您的信息不完整,为了账户安全,请先补充。
现在去补充
×
提示
您因"违规操作"
具体请查看互助需知
我知道了
×
提示
确定
请完成安全验证×
copy
已复制链接
快去分享给好友吧!
我知道了
右上角分享
点击右上角分享
0
联系我们:info@booksci.cn Book学术提供免费学术资源搜索服务,方便国内外学者检索中英文文献。致力于提供最便捷和优质的服务体验。 Copyright © 2023 布克学术 All rights reserved.
京ICP备2023020795号-1
ghs 京公网安备 11010802042870号
Book学术文献互助
Book学术文献互助群
群 号:604180095
Book学术官方微信