The Outcome of Hospital-Acquired Bloodstream Infection and Its Associated Factors in Critical Care Unit.

IF 1.5 Q4 MEDICINE, RESEARCH & EXPERIMENTAL
Malaysian Journal of Medical Sciences Pub Date : 2024-12-01 Epub Date: 2024-12-31 DOI:10.21315/mjms2024.31.6.13
Nurul Rahatul Ilyani Mohamed Shukri, Shamsul Kamalrujan Hassan, Siti Suraiya Md Noor, Siti Azrin Ab Hamid, Nik Abdullah Nik Mohamad, Wan Fadzlina Wan Muhd Shukeri, Mohd Zulfakar Mazlan
{"title":"The Outcome of Hospital-Acquired Bloodstream Infection and Its Associated Factors in Critical Care Unit.","authors":"Nurul Rahatul Ilyani Mohamed Shukri, Shamsul Kamalrujan Hassan, Siti Suraiya Md Noor, Siti Azrin Ab Hamid, Nik Abdullah Nik Mohamad, Wan Fadzlina Wan Muhd Shukeri, Mohd Zulfakar Mazlan","doi":"10.21315/mjms2024.31.6.13","DOIUrl":null,"url":null,"abstract":"<p><strong>Background: </strong>Hospital-acquired bloodstream infections (BSI) are associated with high morbidity and mortality rates. This study was conducted to describe the outcomes and the prognosis of hospital-acquired BSI in the Critical Care Unit, Hospital Pakar Universiti Sains Malaysia (HPUSM), as well as to identify associated factors of treatment failure and mortality at 28 days.</p><p><strong>Methods: </strong>This prospective cohort study was conducted in the Critical Care Unit of HPUSM from September 2019 to March 2021. Eligible participants included patients with a positive blood culture recorded after 48 hours of admission to hospital.</p><p><strong>Results: </strong>There was a total of 250 patients, whose positive blood cultures were isolated. The main isolated organisms were <i>Klebsiella pneumonia</i> (23.6%), <i>Pseudomonas</i> spp. (19.2%), <i>Escherichia coli</i> (12.8%) and <i>Acinetobacter sp.</i> (9.2%). The mortality of hospital-acquired BSI was 27.6%. Multiple logistic regression analysis revealed that age [adjusted odds ratio (OR) = 1.06; 95% confidence interval (CI): 1.03, 1.09; <i>p</i> < 0.001], cases with extended-spectrum beta-lactamases (ESBL) (adjusted OR = 5.57; 95% CI: 2.04, 15.21; <i>p</i> = 0.001), with multidrug-resistant (MDR) organisms (adjusted OR = 14.70; 95% CI: 3.97, 54.48; <i>p</i> < 0.001) and those with a sequential organ failure assessment (SOFA) score > 11 (adjusted OR = 4.16; 95% CI: 1.31, 13.19; <i>p</i> = 0.015) had statistically significant associations with treatment failure. Factors significantly associated with 28-day mortality included age (adjusted OR: 1.06: 95% CI; 1.03, 1.09; <i>p</i> < 0.001), MDR organisms (adjusted OR = 14.70; 95% CI: 3.97, 54.48; <i>p</i> < 0.001) and SOFA score > 11 (adjusted OR = 4.16; 95% CI: 1.31, 13.19; <i>p</i> = 0.015).</p><p><strong>Conclusion: </strong>The elderly, ESBL, MDR organisms and high SOFA scores were associated with treatment failure and 28-day mortality in hospital-acquired BSI.</p>","PeriodicalId":47388,"journal":{"name":"Malaysian Journal of Medical Sciences","volume":"31 6","pages":"160-177"},"PeriodicalIF":1.5000,"publicationDate":"2024-12-01","publicationTypes":"Journal Article","fieldsOfStudy":null,"isOpenAccess":false,"openAccessPdf":"https://www.ncbi.nlm.nih.gov/pmc/articles/PMC11740822/pdf/","citationCount":"0","resultStr":null,"platform":"Semanticscholar","paperid":null,"PeriodicalName":"Malaysian Journal of Medical Sciences","FirstCategoryId":"1085","ListUrlMain":"https://doi.org/10.21315/mjms2024.31.6.13","RegionNum":0,"RegionCategory":null,"ArticlePicture":[],"TitleCN":null,"AbstractTextCN":null,"PMCID":null,"EPubDate":"2024/12/31 0:00:00","PubModel":"Epub","JCR":"Q4","JCRName":"MEDICINE, RESEARCH & EXPERIMENTAL","Score":null,"Total":0}
引用次数: 0

Abstract

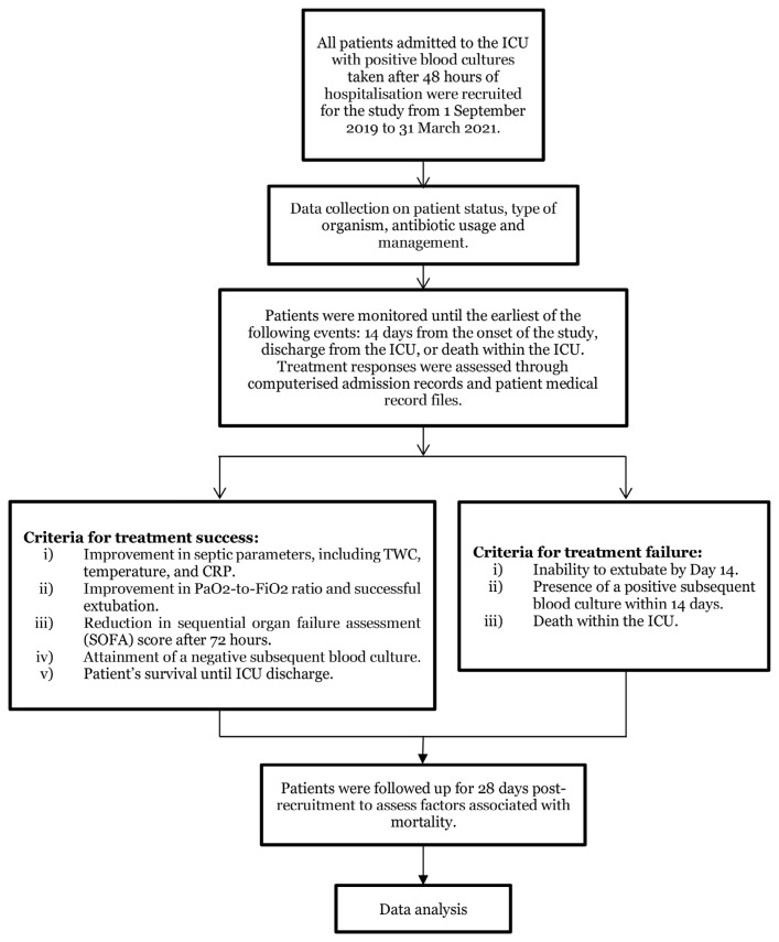
Background: Hospital-acquired bloodstream infections (BSI) are associated with high morbidity and mortality rates. This study was conducted to describe the outcomes and the prognosis of hospital-acquired BSI in the Critical Care Unit, Hospital Pakar Universiti Sains Malaysia (HPUSM), as well as to identify associated factors of treatment failure and mortality at 28 days.

Methods: This prospective cohort study was conducted in the Critical Care Unit of HPUSM from September 2019 to March 2021. Eligible participants included patients with a positive blood culture recorded after 48 hours of admission to hospital.

Results: There was a total of 250 patients, whose positive blood cultures were isolated. The main isolated organisms were Klebsiella pneumonia (23.6%), Pseudomonas spp. (19.2%), Escherichia coli (12.8%) and Acinetobacter sp. (9.2%). The mortality of hospital-acquired BSI was 27.6%. Multiple logistic regression analysis revealed that age [adjusted odds ratio (OR) = 1.06; 95% confidence interval (CI): 1.03, 1.09; p < 0.001], cases with extended-spectrum beta-lactamases (ESBL) (adjusted OR = 5.57; 95% CI: 2.04, 15.21; p = 0.001), with multidrug-resistant (MDR) organisms (adjusted OR = 14.70; 95% CI: 3.97, 54.48; p < 0.001) and those with a sequential organ failure assessment (SOFA) score > 11 (adjusted OR = 4.16; 95% CI: 1.31, 13.19; p = 0.015) had statistically significant associations with treatment failure. Factors significantly associated with 28-day mortality included age (adjusted OR: 1.06: 95% CI; 1.03, 1.09; p < 0.001), MDR organisms (adjusted OR = 14.70; 95% CI: 3.97, 54.48; p < 0.001) and SOFA score > 11 (adjusted OR = 4.16; 95% CI: 1.31, 13.19; p = 0.015).

Conclusion: The elderly, ESBL, MDR organisms and high SOFA scores were associated with treatment failure and 28-day mortality in hospital-acquired BSI.

Abstract Image

重症监护病房医院获得性血液感染的结局及其相关因素。
背景:医院获得性血流感染(BSI)与高发病率和死亡率相关。本研究旨在描述马来西亚巴卡尔大学医院重症监护病房(HPUSM)医院获得性BSI的结果和预后,并确定治疗失败和28天死亡率的相关因素。方法:本前瞻性队列研究于2019年9月至2021年3月在HPUSM重症监护病房进行。符合条件的参与者包括入院48小时后记录血培养阳性的患者。结果:共分离出阳性血培养物250例。主要分离出肺炎克雷伯菌(23.6%)、假单胞菌(19.2%)、大肠埃希菌(12.8%)和不动杆菌(9.2%)。医院获得性BSI的死亡率为27.6%。多元logistic回归分析显示年龄[校正优势比(OR) = 1.06;95%置信区间(CI): 1.03, 1.09;p < 0.001],广谱β -内酰胺酶(ESBL)病例(调整OR = 5.57;95% ci: 2.04, 15.21;p = 0.001),多药耐药(MDR)菌(调整OR = 14.70;95% ci: 3.97, 54.48;p < 0.001)和顺序器官衰竭评估(SOFA)评分bbb11的患者(调整OR = 4.16;95% ci: 1.31, 13.19;P = 0.015)与治疗失败有统计学意义。与28天死亡率显著相关的因素包括年龄(校正OR: 1.06: 95% CI;1.03、1.09;p < 0.001),耐多药菌(调整OR = 14.70;95% ci: 3.97, 54.48;p < 0.001), SOFA评分bbb11(校正OR = 4.16;95% ci: 1.31, 13.19;P = 0.015)。结论:老年、ESBL、MDR微生物和高SOFA评分与医院获得性BSI的治疗失败和28天死亡率相关。
本文章由计算机程序翻译,如有差异,请以英文原文为准。
求助全文
约1分钟内获得全文 求助全文
来源期刊
Malaysian Journal of Medical Sciences
Malaysian Journal of Medical Sciences MEDICINE, RESEARCH & EXPERIMENTAL-
CiteScore
2.70
自引率
0.00%
发文量
89
审稿时长
9 weeks
期刊介绍: The Malaysian Journal of Medical Sciences (MJMS) is a peer-reviewed, open-access, fully online journal that is published at least six times a year. The journal’s scope encompasses all aspects of medical sciences including biomedical, allied health, clinical and social sciences. We accept high quality papers from basic to translational research especially from low & middle income countries, as classified by the United Nations & World Bank (https://datahelpdesk.worldbank.org/knowledgebase/ articles/906519), with the aim that published research will benefit back the bottom billion population from these countries. Manuscripts submitted from developed or high income countries to MJMS must contain data and information that will benefit the socio-health and bio-medical sciences of these low and middle income countries. The MJMS editorial board consists of internationally regarded clinicians and scientists from low and middle income countries.
×
引用
GB/T 7714-2015
复制
MLA
复制
APA
复制
导出至
BibTeX EndNote RefMan NoteFirst NoteExpress
×
提示
您的信息不完整,为了账户安全,请先补充。
现在去补充
×
提示
您因"违规操作"
具体请查看互助需知
我知道了
×
提示
确定
请完成安全验证×
copy
已复制链接
快去分享给好友吧!
我知道了
右上角分享
点击右上角分享
0
联系我们:info@booksci.cn Book学术提供免费学术资源搜索服务,方便国内外学者检索中英文文献。致力于提供最便捷和优质的服务体验。 Copyright © 2023 布克学术 All rights reserved.
京ICP备2023020795号-1
ghs 京公网安备 11010802042870号
Book学术文献互助
Book学术文献互助群
群 号:604180095
Book学术官方微信