Understanding the Difficulties in Diagnosing Neonatal Sepsis: Assessing the Role of Sepsis Biomarkers.

IF 1.7 Q4 CRITICAL CARE MEDICINE
Journal of Critical Care Medicine Pub Date : 2024-10-31 eCollection Date: 2024-10-01 DOI:10.2478/jccm-2024-0039
Nicoleta Lungu, Ana-Maria-Cristina Jura, Daniela-Eugenia Popescu, Florin George Horhat, Aniko Maria Manea, Marioara Boia
{"title":"Understanding the Difficulties in Diagnosing Neonatal Sepsis: Assessing the Role of Sepsis Biomarkers.","authors":"Nicoleta Lungu, Ana-Maria-Cristina Jura, Daniela-Eugenia Popescu, Florin George Horhat, Aniko Maria Manea, Marioara Boia","doi":"10.2478/jccm-2024-0039","DOIUrl":null,"url":null,"abstract":"<p><strong>Background: </strong>Neonatal sepsis is a serious condition with high rates of morbidity and mortality, caused by the rapid growth of microorganisms that trigger a systemic reaction. Symptoms can range from mild to severe presentations. The causative microorganism is usually transmitted from mothers, especially from the urogenital tract, or can originate from the community or hospital.</p><p><strong>Methods: </strong>Our retrospective study assessed 121 newborns, including both preterm and term infants, divided into three groups within the first 28 days of life: early-onset sepsis (35), late-onset sepsis (39), and a control group (47). Blood samples and cultures were obtained upon admission or at the onset of sepsis (at 24 and 72 hours). The study aimed to evaluate the limitations of commonly used biomarkers and new markers such as lactate dehydrogenase and ferritin in more accurately diagnosing neonatal sepsis.</p><p><strong>Results: </strong>Our study revealed a significant difference between the initial and final measures of lactate dehydrogenase (LDH) and ferritin in the early-onset sepsis (EOS) and late-onset sepsis (LOS) groups.</p><p><strong>Conclusion: </strong>Ferritin and LDH may serve as potential markers associated with systemic response and sepsis in cases of both early and late-onset sepsis. Monitoring these biomarkers can aid in the timely detection and management of sepsis, potentially improving patient outcomes.</p>","PeriodicalId":44227,"journal":{"name":"Journal of Critical Care Medicine","volume":"10 4","pages":"316-328"},"PeriodicalIF":1.7000,"publicationDate":"2024-10-31","publicationTypes":"Journal Article","fieldsOfStudy":null,"isOpenAccess":false,"openAccessPdf":"https://www.ncbi.nlm.nih.gov/pmc/articles/PMC11740700/pdf/","citationCount":"0","resultStr":null,"platform":"Semanticscholar","paperid":null,"PeriodicalName":"Journal of Critical Care Medicine","FirstCategoryId":"1085","ListUrlMain":"https://doi.org/10.2478/jccm-2024-0039","RegionNum":0,"RegionCategory":null,"ArticlePicture":[],"TitleCN":null,"AbstractTextCN":null,"PMCID":null,"EPubDate":"2024/10/1 0:00:00","PubModel":"eCollection","JCR":"Q4","JCRName":"CRITICAL CARE MEDICINE","Score":null,"Total":0}
引用次数: 0

Abstract

Background: Neonatal sepsis is a serious condition with high rates of morbidity and mortality, caused by the rapid growth of microorganisms that trigger a systemic reaction. Symptoms can range from mild to severe presentations. The causative microorganism is usually transmitted from mothers, especially from the urogenital tract, or can originate from the community or hospital.

Methods: Our retrospective study assessed 121 newborns, including both preterm and term infants, divided into three groups within the first 28 days of life: early-onset sepsis (35), late-onset sepsis (39), and a control group (47). Blood samples and cultures were obtained upon admission or at the onset of sepsis (at 24 and 72 hours). The study aimed to evaluate the limitations of commonly used biomarkers and new markers such as lactate dehydrogenase and ferritin in more accurately diagnosing neonatal sepsis.

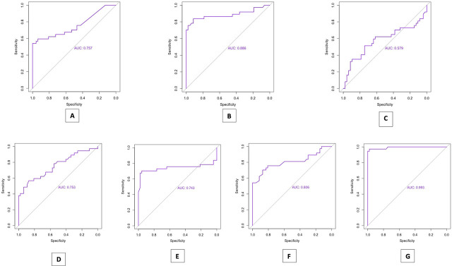
Results: Our study revealed a significant difference between the initial and final measures of lactate dehydrogenase (LDH) and ferritin in the early-onset sepsis (EOS) and late-onset sepsis (LOS) groups.

Conclusion: Ferritin and LDH may serve as potential markers associated with systemic response and sepsis in cases of both early and late-onset sepsis. Monitoring these biomarkers can aid in the timely detection and management of sepsis, potentially improving patient outcomes.

Abstract Image

Abstract Image

了解诊断新生儿败血症的困难:评估败血症生物标志物的作用。
背景:新生儿脓毒症是一种发病率和死亡率高的严重疾病,由微生物的快速生长引起全身反应。症状可以从轻微到严重。致病微生物通常来自母亲,特别是来自泌尿生殖道,也可能来自社区或医院。方法:我们的回顾性研究评估了121名新生儿,包括早产儿和足月婴儿,在出生后28天内分为三组:早发性败血症(35),晚发性败血症(39)和对照组(47)。在入院时或脓毒症发病时(24和72小时)采集血样和培养物。本研究旨在评估常用生物标志物和乳酸脱氢酶、铁蛋白等新标志物在更准确诊断新生儿败血症方面的局限性。结果:我们的研究揭示了早发性脓毒症(EOS)和晚发性脓毒症(LOS)组乳酸脱氢酶(LDH)和铁蛋白的初始和最终测量之间的显著差异。结论:铁蛋白和LDH可能是早期和晚发型脓毒症患者全身反应和脓毒症的潜在标志物。监测这些生物标志物可以帮助及时发现和管理败血症,潜在地改善患者的预后。
本文章由计算机程序翻译,如有差异,请以英文原文为准。
求助全文
约1分钟内获得全文 求助全文
来源期刊
Journal of Critical Care Medicine
Journal of Critical Care Medicine CRITICAL CARE MEDICINE-
CiteScore
2.00
自引率
9.10%
发文量
21
审稿时长
11 weeks
×
引用
GB/T 7714-2015
复制
MLA
复制
APA
复制
导出至
BibTeX EndNote RefMan NoteFirst NoteExpress
×
提示
您的信息不完整,为了账户安全,请先补充。
现在去补充
×
提示
您因"违规操作"
具体请查看互助需知
我知道了
×
提示
确定
请完成安全验证×
copy
已复制链接
快去分享给好友吧!
我知道了
右上角分享
点击右上角分享
0
联系我们:info@booksci.cn Book学术提供免费学术资源搜索服务,方便国内外学者检索中英文文献。致力于提供最便捷和优质的服务体验。 Copyright © 2023 布克学术 All rights reserved.
京ICP备2023020795号-1
ghs 京公网安备 11010802042870号
Book学术文献互助
Book学术文献互助群
群 号:604180095
Book学术官方微信