Comparison of two point-of-care lung ultrasound techniques and their associated outcomes for bronchiolitis in the pediatric emergency department.

IF 2.9 Q2 Medicine
Jaron A Smith, Michael C Cooper, Kenneth Yen, Joan Reisch, Bethsabee S Stone
{"title":"Comparison of two point-of-care lung ultrasound techniques and their associated outcomes for bronchiolitis in the pediatric emergency department.","authors":"Jaron A Smith, Michael C Cooper, Kenneth Yen, Joan Reisch, Bethsabee S Stone","doi":"10.1186/s13089-025-00410-y","DOIUrl":null,"url":null,"abstract":"<p><strong>Background: </strong>Acute bronchiolitis (AB) is the most common lower respiratory tract infection in infants. Clinician diagnosis and management vary due to limited objective assessment tools. Point-of-care lung ultrasound (LUS) offers a promising diagnostic and prognostic tool in the emergency department (ED), however, the time to perform LUS is of concern in the emergency setting.</p><p><strong>Methods: </strong>Infants ≤ 12 months diagnosed with AB in the emergency department were enrolled. Two LUS techniques were performed sequentially: a 12-segment \"lawnmower\" approach and a posterior paravertebral \"waterfall\" technique. LUS were scored (0-36 for lawnmower; 0-6 for waterfall). Respiratory support (RS) was categorized into three levels: no RS (room air), low RS (wall O2 or heated high flow nasal cannula < 1L/kg), and high RS (heated high flow nasal cannula ≥ 1L/kg or positive pressure). Clinical data, including RS at 12 and 24 h, maximum RS, disposition, and length of stay, were extracted via chart review and compared to mean LUS scores for each technique. Calculated areas under the curve (AUC) were compared using the Youden Index (J).</p><p><strong>Results: </strong>82 infants were enrolled. The mean waterfall scanning time was 1.65 min (SD 0.55) compared to the lawnmower's 7.65 min (SD 1.45). The difference between mean LUS scores for the waterfall technique was statistically significant for all disposition comparisons and nearly all RS comparisons. While the lawnmower AUC was greater than the waterfall AUC for all RS and disposition comparisons, the Youden Index (J) was statistically significantly different for only two of the eight comparisons.</p><p><strong>Conclusion: </strong>The posterior-only LUS technique is faster than the lawnmower technique, provides comparable information for disposition, and has a stronger association with LOS, but is less associated with RS. The waterfall technique may be a suitable alternative to more time-intensive, thorough techniques.</p>","PeriodicalId":36911,"journal":{"name":"Ultrasound Journal","volume":"17 1","pages":"8"},"PeriodicalIF":2.9000,"publicationDate":"2025-01-17","publicationTypes":"Journal Article","fieldsOfStudy":null,"isOpenAccess":false,"openAccessPdf":"https://www.ncbi.nlm.nih.gov/pmc/articles/PMC11748713/pdf/","citationCount":"0","resultStr":null,"platform":"Semanticscholar","paperid":null,"PeriodicalName":"Ultrasound Journal","FirstCategoryId":"1085","ListUrlMain":"https://doi.org/10.1186/s13089-025-00410-y","RegionNum":0,"RegionCategory":null,"ArticlePicture":[],"TitleCN":null,"AbstractTextCN":null,"PMCID":null,"EPubDate":"","PubModel":"","JCR":"Q2","JCRName":"Medicine","Score":null,"Total":0}
引用次数: 0

Abstract

Background: Acute bronchiolitis (AB) is the most common lower respiratory tract infection in infants. Clinician diagnosis and management vary due to limited objective assessment tools. Point-of-care lung ultrasound (LUS) offers a promising diagnostic and prognostic tool in the emergency department (ED), however, the time to perform LUS is of concern in the emergency setting.

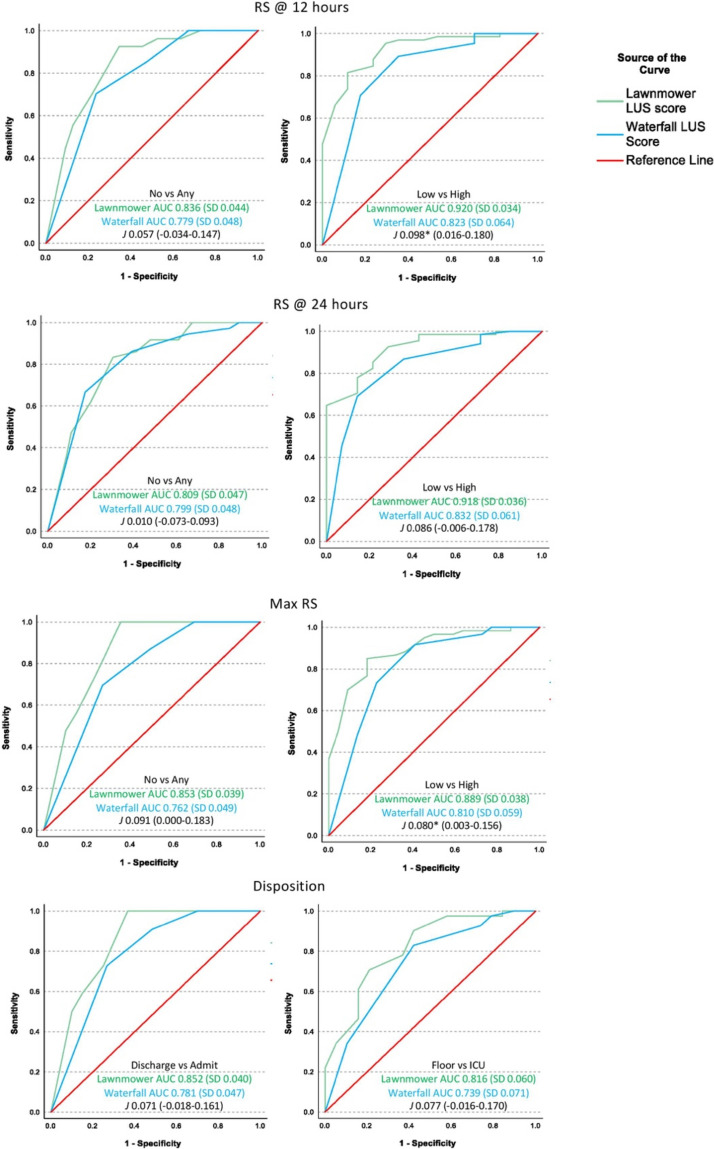
Methods: Infants ≤ 12 months diagnosed with AB in the emergency department were enrolled. Two LUS techniques were performed sequentially: a 12-segment "lawnmower" approach and a posterior paravertebral "waterfall" technique. LUS were scored (0-36 for lawnmower; 0-6 for waterfall). Respiratory support (RS) was categorized into three levels: no RS (room air), low RS (wall O2 or heated high flow nasal cannula < 1L/kg), and high RS (heated high flow nasal cannula ≥ 1L/kg or positive pressure). Clinical data, including RS at 12 and 24 h, maximum RS, disposition, and length of stay, were extracted via chart review and compared to mean LUS scores for each technique. Calculated areas under the curve (AUC) were compared using the Youden Index (J).

Results: 82 infants were enrolled. The mean waterfall scanning time was 1.65 min (SD 0.55) compared to the lawnmower's 7.65 min (SD 1.45). The difference between mean LUS scores for the waterfall technique was statistically significant for all disposition comparisons and nearly all RS comparisons. While the lawnmower AUC was greater than the waterfall AUC for all RS and disposition comparisons, the Youden Index (J) was statistically significantly different for only two of the eight comparisons.

Conclusion: The posterior-only LUS technique is faster than the lawnmower technique, provides comparable information for disposition, and has a stronger association with LOS, but is less associated with RS. The waterfall technique may be a suitable alternative to more time-intensive, thorough techniques.

Abstract Image

Abstract Image

Abstract Image

小儿急诊科毛细支气管炎的两种即时肺部超声技术及其相关结果的比较
背景:急性细支气管炎(AB)是婴儿最常见的下呼吸道感染。由于客观评估工具有限,临床医生的诊断和治疗各不相同。即时肺超声(LUS)为急诊科(ED)提供了一种很有前途的诊断和预后工具,然而,在急诊环境中,执行LUS的时间是一个值得关注的问题。方法:纳入急诊诊断为AB的≤12个月的婴儿。两种LUS技术依次进行:12节段“割草机”入路和椎旁后路“瀑布”技术。LUS的评分为(0-36):割草机;0-6为瀑布)。呼吸支持(RS)分为三个级别:无RS(室内空气),低RS(壁氧)或加热高流量鼻插管。平均瀑布扫描时间为1.65分钟(SD 0.55),而割草机为7.65分钟(SD 1.45)。瀑布技术的平均LUS评分之间的差异在所有倾向比较和几乎所有RS比较中都具有统计学意义。虽然除草机的AUC在所有RS和处置比较中都大于瀑布的AUC,但约登指数(J)在8个比较中仅在2个比较中有统计学显著差异。结论:纯后验LUS技术比割草机技术更快,提供了相当的处置信息,与LOS的相关性更强,但与RS的相关性较小。瀑布技术可能是更耗时、更彻底的技术的合适选择。
本文章由计算机程序翻译,如有差异,请以英文原文为准。
求助全文
约1分钟内获得全文 求助全文
来源期刊
Ultrasound Journal
Ultrasound Journal Health Professions-Radiological and Ultrasound Technology
CiteScore
6.80
自引率
2.90%
发文量
45
审稿时长
22 weeks
×
引用
GB/T 7714-2015
复制
MLA
复制
APA
复制
导出至
BibTeX EndNote RefMan NoteFirst NoteExpress
×
提示
您的信息不完整,为了账户安全,请先补充。
现在去补充
×
提示
您因"违规操作"
具体请查看互助需知
我知道了
×
提示
确定
请完成安全验证×
copy
已复制链接
快去分享给好友吧!
我知道了
右上角分享
点击右上角分享
0
联系我们:info@booksci.cn Book学术提供免费学术资源搜索服务,方便国内外学者检索中英文文献。致力于提供最便捷和优质的服务体验。 Copyright © 2023 布克学术 All rights reserved.
京ICP备2023020795号-1
ghs 京公网安备 11010802042870号
Book学术文献互助
Book学术文献互助群
群 号:604180095
Book学术官方微信