A Contemporary Insight Into the Seroepidemiology of Herpes Simplex Virus Infection in the Sub-Himalayan Region: Seroepidemiology of HSV Infection in North India.

Q2 Environmental Science
The Scientific World Journal Pub Date : 2025-01-10 eCollection Date: 2025-01-01 DOI:10.1155/2025/6826627
Sangeeta Deka, Mithilesh Kumar Jha, Pratima Gupta, Putul Mahanta, Deepjyoti Kalita
{"title":"A Contemporary Insight Into the Seroepidemiology of Herpes Simplex Virus Infection in the Sub-Himalayan Region: Seroepidemiology of HSV Infection in North India.","authors":"Sangeeta Deka, Mithilesh Kumar Jha, Pratima Gupta, Putul Mahanta, Deepjyoti Kalita","doi":"10.1155/2025/6826627","DOIUrl":null,"url":null,"abstract":"<p><p>Infection by human herpes simplex virus type 1 and type 2 (HSV-1/2) is common globally though with wide regional variability. Seroepidemiology of HSV-1/2 infections is of utmost importance in formulating control strategies, but there is a paucity of data from many regions of India. This study aimed to determine the prevalence of anti-HSV-1/2 antibodies in Uttarakhand and adjoining areas and to study its pattern and distribution in different subgroups. Serum samples from 322 cases were subjected to ELISA test to check for the presence of anti-HSV-1/2 IgG and IgM antibodies. Sociodemographic and clinical information were extracted from medical records. The association of seropositivity and associated factors was analyzed using Fisher's exact test. The overall HSV-1/2 seropositivity was observed to be 46.0% (95% confidence interval [CI]: 40.5-51.4). Total IgM and IgG were found in 6.2% (95% CI: 3.6-8.8) and 45.3% (95% CI: 38.1-48.9) cases, respectively. No significant difference between seropositivity of males and females was observed (45.7% in males versus 46.2% in females; <i>p</i> value: 0.928). Seroprevalence increased with age in both genders but was more pronounced in males (<i>p</i> value: <0.001), while 50.6% of women in the reproductive age group (18-30 years) were found to be seropositive. Females from Uttarakhand, compared to adjoining states (<i>p</i> value: 0.041) and both men and women residing in hilly terrain compared to plains (<i>p</i> value: 0.018; <i>p</i> value: 0.030), showed significantly lower prevalence, while urban-dwelling men showed higher seropositivity (<i>p</i> value: 0.048). Thus, HSV-1/2 seroprevalence is lower in this region, especially in young, rural, and hill dwellers, indicating majority are vulnerable to acquiring new infections. More awareness among high-risk groups and implementation of targeted public health policies can help control the disease burden.</p>","PeriodicalId":22985,"journal":{"name":"The Scientific World Journal","volume":"2025 ","pages":"6826627"},"PeriodicalIF":0.0000,"publicationDate":"2025-01-10","publicationTypes":"Journal Article","fieldsOfStudy":null,"isOpenAccess":false,"openAccessPdf":"https://www.ncbi.nlm.nih.gov/pmc/articles/PMC11748722/pdf/","citationCount":"0","resultStr":null,"platform":"Semanticscholar","paperid":null,"PeriodicalName":"The Scientific World Journal","FirstCategoryId":"1085","ListUrlMain":"https://doi.org/10.1155/2025/6826627","RegionNum":0,"RegionCategory":null,"ArticlePicture":[],"TitleCN":null,"AbstractTextCN":null,"PMCID":null,"EPubDate":"2025/1/1 0:00:00","PubModel":"eCollection","JCR":"Q2","JCRName":"Environmental Science","Score":null,"Total":0}
引用次数: 0

Abstract

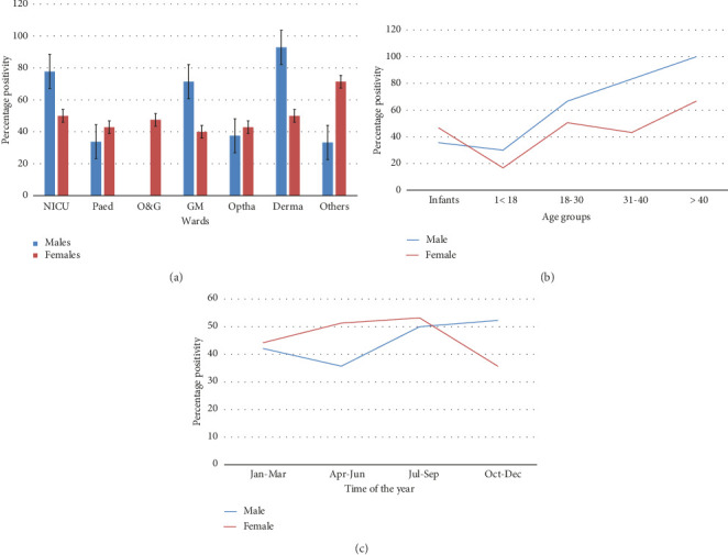
Infection by human herpes simplex virus type 1 and type 2 (HSV-1/2) is common globally though with wide regional variability. Seroepidemiology of HSV-1/2 infections is of utmost importance in formulating control strategies, but there is a paucity of data from many regions of India. This study aimed to determine the prevalence of anti-HSV-1/2 antibodies in Uttarakhand and adjoining areas and to study its pattern and distribution in different subgroups. Serum samples from 322 cases were subjected to ELISA test to check for the presence of anti-HSV-1/2 IgG and IgM antibodies. Sociodemographic and clinical information were extracted from medical records. The association of seropositivity and associated factors was analyzed using Fisher's exact test. The overall HSV-1/2 seropositivity was observed to be 46.0% (95% confidence interval [CI]: 40.5-51.4). Total IgM and IgG were found in 6.2% (95% CI: 3.6-8.8) and 45.3% (95% CI: 38.1-48.9) cases, respectively. No significant difference between seropositivity of males and females was observed (45.7% in males versus 46.2% in females; p value: 0.928). Seroprevalence increased with age in both genders but was more pronounced in males (p value: <0.001), while 50.6% of women in the reproductive age group (18-30 years) were found to be seropositive. Females from Uttarakhand, compared to adjoining states (p value: 0.041) and both men and women residing in hilly terrain compared to plains (p value: 0.018; p value: 0.030), showed significantly lower prevalence, while urban-dwelling men showed higher seropositivity (p value: 0.048). Thus, HSV-1/2 seroprevalence is lower in this region, especially in young, rural, and hill dwellers, indicating majority are vulnerable to acquiring new infections. More awareness among high-risk groups and implementation of targeted public health policies can help control the disease burden.

Abstract Image

亚喜马拉雅地区单纯疱疹病毒感染的血清流行病学:印度北部HSV感染的血清流行病学
人类1型和2型单纯疱疹病毒(HSV-1/2)的感染在全球范围内很常见,但存在很大的区域差异。HSV-1/2感染的血清流行病学对制定控制策略至关重要,但印度许多地区缺乏数据。本研究旨在确定北阿坎德邦及邻近地区抗hsv -1/2抗体的流行情况,并研究其在不同亚群中的模式和分布。对322例患者血清进行ELISA检测,检测抗hsv -1/2 IgG和IgM抗体的存在。从医疗记录中提取社会人口学和临床信息。采用Fisher精确检验分析血清阳性与相关因素的相关性。总体HSV-1/2血清阳性为46.0%(95%可信区间[CI]: 40.5-51.4)。总IgM和IgG分别占6.2% (95% CI: 3.6-8.8)和45.3% (95% CI: 38.1-48.9)。男女血清阳性率无显著差异(男性为45.7%,女性为46.2%;P值:0.928)。男女血清阳性率均随年龄增长而增加,但在男性中更为明显(p值:p值:0.041),居住在丘陵地区的男女与平原地区相比(p值:0.018;P值:0.030),阳性率明显降低,而城市居住男性阳性率较高(P值:0.048)。因此,该地区的HSV-1/2血清患病率较低,特别是在年轻人、农村和山区居民中,表明大多数人容易感染新发感染。提高高危人群的认识和实施有针对性的公共卫生政策有助于控制疾病负担。
本文章由计算机程序翻译,如有差异,请以英文原文为准。
求助全文
约1分钟内获得全文 求助全文
来源期刊
The Scientific World Journal
The Scientific World Journal 综合性期刊-综合性期刊
CiteScore
5.60
自引率
0.00%
发文量
170
审稿时长
3.7 months
期刊介绍: The Scientific World Journal is a peer-reviewed, Open Access journal that publishes original research, reviews, and clinical studies covering a wide range of subjects in science, technology, and medicine. The journal is divided into 81 subject areas.
×
引用
GB/T 7714-2015
复制
MLA
复制
APA
复制
导出至
BibTeX EndNote RefMan NoteFirst NoteExpress
×
提示
您的信息不完整,为了账户安全,请先补充。
现在去补充
×
提示
您因"违规操作"
具体请查看互助需知
我知道了
×
提示
确定
请完成安全验证×
copy
已复制链接
快去分享给好友吧!
我知道了
右上角分享
点击右上角分享
0
联系我们:info@booksci.cn Book学术提供免费学术资源搜索服务,方便国内外学者检索中英文文献。致力于提供最便捷和优质的服务体验。 Copyright © 2023 布克学术 All rights reserved.
京ICP备2023020795号-1
ghs 京公网安备 11010802042870号
Book学术文献互助
Book学术文献互助群
群 号:604180095
Book学术官方微信