Psychometric Properties and Network Analysis of the Arabic Version of Reinforcement Sensitivity Theory of Personality Scale-Short Version in Patients with Anxiety Disorders.

IF 2.9 4区 医学 Q2 PSYCHIATRY
Psychiatric Quarterly Pub Date : 2025-03-01 Epub Date: 2025-01-17 DOI:10.1007/s11126-024-10109-3
Rasha Mohamed Abdelrahman, Abdulnaser Fakhrou, Mahmoud Ali Moussa, Mohaddeseh Roshan
{"title":"Psychometric Properties and Network Analysis of the Arabic Version of Reinforcement Sensitivity Theory of Personality Scale-Short Version in Patients with Anxiety Disorders.","authors":"Rasha Mohamed Abdelrahman, Abdulnaser Fakhrou, Mahmoud Ali Moussa, Mohaddeseh Roshan","doi":"10.1007/s11126-024-10109-3","DOIUrl":null,"url":null,"abstract":"<p><p>This study aimed to examine the psychometric properties of the Arabic version of a short version of the Reinforcement Sensitivity Theory of Personality Questionnaire (RST-PQ-S) among a sample of 700 patients with anxiety disorders (53.1% were female). Participants completed the RST-PQ-S, NEO-FFI, Positive Mental Health (PMH), and Kessler Psychological Distress scale. Both Exploratory Factor Analysis (EFA) and Confirmatory Factor Analysis (CFA) were employed to test the construct validity of the scale. This study also utilized a network perspective, incorporating Exploratory Graph Analysis (EGA) and centrality measures. As a result of the EFA and CFA, it was determined that the scale consists of 22 items and six subdimensions. These subdimensions were named as follows: \"Flight Fight-Freeze System\", \"Behavioral Inhibition System\", \"Reward Interest\", \"Reward Reactivity\", \"Goal-Drive Persistence\", and \"Impulsivity\". Additionally, the network analysis's findings confirmed the six-factor structure derived from the construct validity assessment. The results of this study demonstrated that the Arabic version of the personality scale is a valid and reliable tool for assessing personality in Arabic-speaking individuals with anxiety disorders. It has the potential to serve as an important diagnostic instrument in clinical and research settings. These findings may assist psychologists and clinicians in Arabic-speaking countries to better understand how the personality traits and anxiety disorders are related.</p>","PeriodicalId":20658,"journal":{"name":"Psychiatric Quarterly","volume":" ","pages":"145-167"},"PeriodicalIF":2.9000,"publicationDate":"2025-03-01","publicationTypes":"Journal Article","fieldsOfStudy":null,"isOpenAccess":false,"openAccessPdf":"https://www.ncbi.nlm.nih.gov/pmc/articles/PMC11929627/pdf/","citationCount":"0","resultStr":null,"platform":"Semanticscholar","paperid":null,"PeriodicalName":"Psychiatric Quarterly","FirstCategoryId":"3","ListUrlMain":"https://doi.org/10.1007/s11126-024-10109-3","RegionNum":4,"RegionCategory":"医学","ArticlePicture":[],"TitleCN":null,"AbstractTextCN":null,"PMCID":null,"EPubDate":"2025/1/17 0:00:00","PubModel":"Epub","JCR":"Q2","JCRName":"PSYCHIATRY","Score":null,"Total":0}
引用次数: 0

Abstract

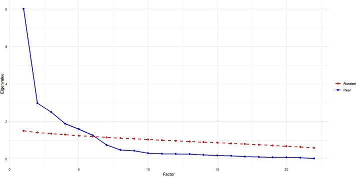
This study aimed to examine the psychometric properties of the Arabic version of a short version of the Reinforcement Sensitivity Theory of Personality Questionnaire (RST-PQ-S) among a sample of 700 patients with anxiety disorders (53.1% were female). Participants completed the RST-PQ-S, NEO-FFI, Positive Mental Health (PMH), and Kessler Psychological Distress scale. Both Exploratory Factor Analysis (EFA) and Confirmatory Factor Analysis (CFA) were employed to test the construct validity of the scale. This study also utilized a network perspective, incorporating Exploratory Graph Analysis (EGA) and centrality measures. As a result of the EFA and CFA, it was determined that the scale consists of 22 items and six subdimensions. These subdimensions were named as follows: "Flight Fight-Freeze System", "Behavioral Inhibition System", "Reward Interest", "Reward Reactivity", "Goal-Drive Persistence", and "Impulsivity". Additionally, the network analysis's findings confirmed the six-factor structure derived from the construct validity assessment. The results of this study demonstrated that the Arabic version of the personality scale is a valid and reliable tool for assessing personality in Arabic-speaking individuals with anxiety disorders. It has the potential to serve as an important diagnostic instrument in clinical and research settings. These findings may assist psychologists and clinicians in Arabic-speaking countries to better understand how the personality traits and anxiety disorders are related.

Abstract Image

Abstract Image

Abstract Image

焦虑障碍患者强化敏感性人格量表阿拉伯版-短版的心理测量特征及网络分析。
本研究以700名焦虑障碍患者(53.1%为女性)为样本,考察了阿拉伯语版人格强化敏感性理论问卷(RST-PQ-S)的心理测量特征。参与者完成RST-PQ-S、NEO-FFI、积极心理健康(PMH)和Kessler心理困扰量表。采用探索性因子分析(EFA)和验证性因子分析(CFA)对量表的结构效度进行检验。本研究也利用网络视角,结合探索性图分析(EGA)和中心性测量。经综合评价和综合评价,确定该量表由22个项目和6个子维度组成。这些子维度分别为:“逃跑-战斗-冻结系统”、“行为抑制系统”、“奖励兴趣”、“奖励反应性”、“目标驱动持久性”和“冲动性”。此外,网络分析的结果证实了建构效度评估得出的六因子结构。本研究的结果表明,阿拉伯语版人格量表是评估阿拉伯语焦虑症患者人格的有效和可靠的工具。它有潜力作为临床和研究环境中的重要诊断工具。这些发现可能有助于阿拉伯语国家的心理学家和临床医生更好地理解人格特征和焦虑症之间的关系。
本文章由计算机程序翻译,如有差异,请以英文原文为准。
求助全文
约1分钟内获得全文 求助全文
来源期刊
Psychiatric Quarterly
Psychiatric Quarterly PSYCHIATRY-
CiteScore
8.10
自引率
0.00%
发文量
40
期刊介绍: Psychiatric Quarterly publishes original research, theoretical papers, and review articles on the assessment, treatment, and rehabilitation of persons with psychiatric disabilities, with emphasis on care provided in public, community, and private institutional settings such as hospitals, schools, and correctional facilities. Qualitative and quantitative studies concerning the social, clinical, administrative, legal, political, and ethical aspects of mental health care fall within the scope of the journal. Content areas include, but are not limited to, evidence-based practice in prevention, diagnosis, and management of psychiatric disorders; interface of psychiatry with primary and specialty medicine; disparities of access and outcomes in health care service delivery; and socio-cultural and cross-cultural aspects of mental health and wellness, including mental health literacy. 5 Year Impact Factor: 1.023 (2007) Section ''Psychiatry'': Rank 70 out of 82
×
引用
GB/T 7714-2015
复制
MLA
复制
APA
复制
导出至
BibTeX EndNote RefMan NoteFirst NoteExpress
×
提示
您的信息不完整,为了账户安全,请先补充。
现在去补充
×
提示
您因"违规操作"
具体请查看互助需知
我知道了
×
提示
确定
请完成安全验证×
copy
已复制链接
快去分享给好友吧!
我知道了
右上角分享
点击右上角分享
0
联系我们:info@booksci.cn Book学术提供免费学术资源搜索服务,方便国内外学者检索中英文文献。致力于提供最便捷和优质的服务体验。 Copyright © 2023 布克学术 All rights reserved.
京ICP备2023020795号-1
ghs 京公网安备 11010802042870号
Book学术文献互助
Book学术文献互助群
群 号:604180095
Book学术官方微信