A comparison of MRI and intraoperative measurements to determine interspinous spacer device size.

IF 2.7 3区 医学 Q2 ANESTHESIOLOGY
Pain Practice Pub Date : 2025-02-01 DOI:10.1111/papr.70001
Charles Nelson, Chuanhong Liao, Tariq Malik
{"title":"A comparison of MRI and intraoperative measurements to determine interspinous spacer device size.","authors":"Charles Nelson, Chuanhong Liao, Tariq Malik","doi":"10.1111/papr.70001","DOIUrl":null,"url":null,"abstract":"<p><strong>Purpose: </strong>To determine whether preoperative magnetic resonance imaging (MRI) can reliably determine intraoperative measurements in the Vertiflex Interspinous Spacer (ISS) procedure.</p><p><strong>Methods: </strong>Patients who underwent Vertiflex ISS with Lumbar Spinal Stenosis (LSS) and a preoperative MRI available in picture archiving and communication system (PACS) between January 2013 to February 2023 were identified retrospectively from the University of Chicago Medical Center Database. An experienced board-certified pain specialist and well-trained 2nd-year medical student independently performed measurements of the interspinous space where Vertiflex ISSs of various sizes are inserted. MRI measurements were taken blinded to intraoperative measurement and ISS implant size used in the procedure. Pearson's correlation, paired T-test, intraclass correlation coefficients (ICC), absolute agreement, and 2-way random effects model were used to determine the relationships between MRI, intraoperative measurement, and ISS size.</p><p><strong>Results: </strong>A total of 79 patients who underwent the Vertiflex ISS procedure were included in the study. Median Vertiflex ISS size was 10 mm (10-12), mean intraoperative measurement was 11.40 mm (±1.23), and mean MRI measurement was 11.24 mm (±1.44). Mean differences were not significant in intraoperative and MRI measurements (p = 0.271). Pearson's correlation between ISS size and intraoperative measurement was 0.807 (p < 0.001), representing the current best practice model. Pearson's correlation was 0.668 (p < 0.001) between MRI measurement and ISS size and 0.542 (p < 0.001) between MRI and intraoperative measurement. ICC showed good agreement and moderate reliability (0.698) between intraoperative and MRI measurements. Observer interrater ICC agreement of the MRI interspinous space measurement was 0.95 (p < 0.001).</p><p><strong>Conclusions: </strong>Measuring interspinous space on MRI yielded, on average, a value smaller than the intraoperative measurement in Vertiflex ISS procedures, but the mean differences were not significant. Good agreement and moderate reliability were found between observer MRI and surgeon intraoperative measurements, suggesting MRI can evaluate the intraoperative space for the Vertiflex ISS procedure. Preoperative MRI measurement may help decrease complications by aiding in surgical decision-making through providing a reference for intraoperative measurements. Further prospective study is necessary to determine if preoperative MRI measurement can predict and potentially replace the need for intraoperative measurement.</p>","PeriodicalId":19974,"journal":{"name":"Pain Practice","volume":"25 2","pages":"e70001"},"PeriodicalIF":2.7000,"publicationDate":"2025-02-01","publicationTypes":"Journal Article","fieldsOfStudy":null,"isOpenAccess":false,"openAccessPdf":"https://www.ncbi.nlm.nih.gov/pmc/articles/PMC11748108/pdf/","citationCount":"0","resultStr":null,"platform":"Semanticscholar","paperid":null,"PeriodicalName":"Pain Practice","FirstCategoryId":"3","ListUrlMain":"https://doi.org/10.1111/papr.70001","RegionNum":3,"RegionCategory":"医学","ArticlePicture":[],"TitleCN":null,"AbstractTextCN":null,"PMCID":null,"EPubDate":"","PubModel":"","JCR":"Q2","JCRName":"ANESTHESIOLOGY","Score":null,"Total":0}
引用次数: 0

Abstract

Purpose: To determine whether preoperative magnetic resonance imaging (MRI) can reliably determine intraoperative measurements in the Vertiflex Interspinous Spacer (ISS) procedure.

Methods: Patients who underwent Vertiflex ISS with Lumbar Spinal Stenosis (LSS) and a preoperative MRI available in picture archiving and communication system (PACS) between January 2013 to February 2023 were identified retrospectively from the University of Chicago Medical Center Database. An experienced board-certified pain specialist and well-trained 2nd-year medical student independently performed measurements of the interspinous space where Vertiflex ISSs of various sizes are inserted. MRI measurements were taken blinded to intraoperative measurement and ISS implant size used in the procedure. Pearson's correlation, paired T-test, intraclass correlation coefficients (ICC), absolute agreement, and 2-way random effects model were used to determine the relationships between MRI, intraoperative measurement, and ISS size.

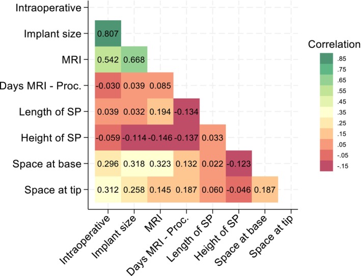
Results: A total of 79 patients who underwent the Vertiflex ISS procedure were included in the study. Median Vertiflex ISS size was 10 mm (10-12), mean intraoperative measurement was 11.40 mm (±1.23), and mean MRI measurement was 11.24 mm (±1.44). Mean differences were not significant in intraoperative and MRI measurements (p = 0.271). Pearson's correlation between ISS size and intraoperative measurement was 0.807 (p < 0.001), representing the current best practice model. Pearson's correlation was 0.668 (p < 0.001) between MRI measurement and ISS size and 0.542 (p < 0.001) between MRI and intraoperative measurement. ICC showed good agreement and moderate reliability (0.698) between intraoperative and MRI measurements. Observer interrater ICC agreement of the MRI interspinous space measurement was 0.95 (p < 0.001).

Conclusions: Measuring interspinous space on MRI yielded, on average, a value smaller than the intraoperative measurement in Vertiflex ISS procedures, but the mean differences were not significant. Good agreement and moderate reliability were found between observer MRI and surgeon intraoperative measurements, suggesting MRI can evaluate the intraoperative space for the Vertiflex ISS procedure. Preoperative MRI measurement may help decrease complications by aiding in surgical decision-making through providing a reference for intraoperative measurements. Further prospective study is necessary to determine if preoperative MRI measurement can predict and potentially replace the need for intraoperative measurement.

Abstract Image

Abstract Image

Abstract Image

MRI与术中测量确定棘间间隔装置尺寸的比较。
目的:确定术前磁共振成像(MRI)是否可以可靠地确定椎间棘间间隔(ISS)手术中的术中测量。方法:从2013年1月至2023年2月的芝加哥大学医学中心数据库中,回顾性地确定了2013年1月至2023年2月期间接受Vertiflex ISS治疗的腰椎管狭窄(LSS)患者和术前MRI图像存档和通信系统(PACS)。一位经验丰富的委员会认证疼痛专家和训练有素的二年级医学生独立地测量了不同大小的Vertiflex iss插入的棘间间隙。MRI测量是在盲法下进行的,术中测量和过程中使用的ISS植入物大小。采用Pearson相关、配对t检验、类内相关系数(ICC)、绝对一致性和双向随机效应模型来确定MRI、术中测量和ISS大小之间的关系。结果:共有79例接受Vertiflex ISS手术的患者被纳入研究。Vertiflex ISS中位尺寸为10 mm(10-12),术中平均测量值为11.40 mm(±1.23),MRI平均测量值为11.24 mm(±1.44)。术中测量和MRI测量的平均差异无统计学意义(p = 0.271)。结论:MRI测量棘突间隙平均小于Vertiflex ISS术中测量值,但平均差异无统计学意义。观察者MRI和外科医生术中测量结果具有良好的一致性和中等的可靠性,表明MRI可以评估Vertiflex ISS手术的术中空间。术前MRI测量可为术中测量提供参考,有助于手术决策,减少并发症。需要进一步的前瞻性研究来确定术前MRI测量是否可以预测并可能取代术中测量的需要。
本文章由计算机程序翻译,如有差异,请以英文原文为准。
求助全文
约1分钟内获得全文 求助全文
来源期刊
Pain Practice
Pain Practice ANESTHESIOLOGY-CLINICAL NEUROLOGY
CiteScore
5.60
自引率
3.80%
发文量
92
审稿时长
6-12 weeks
期刊介绍: Pain Practice, the official journal of the World Institute of Pain, publishes international multidisciplinary articles on pain and analgesia that provide its readership with up-to-date research, evaluation methods, and techniques for pain management. Special sections including the Consultant’s Corner, Images in Pain Practice, Case Studies from Mayo, Tutorials, and the Evidence-Based Medicine combine to give pain researchers, pain clinicians and pain fellows in training a systematic approach to continuing education in pain medicine. Prior to publication, all articles and reviews undergo peer review by at least two experts in the field.
×
引用
GB/T 7714-2015
复制
MLA
复制
APA
复制
导出至
BibTeX EndNote RefMan NoteFirst NoteExpress
×
提示
您的信息不完整,为了账户安全,请先补充。
现在去补充
×
提示
您因"违规操作"
具体请查看互助需知
我知道了
×
提示
确定
请完成安全验证×
copy
已复制链接
快去分享给好友吧!
我知道了
右上角分享
点击右上角分享
0
联系我们:info@booksci.cn Book学术提供免费学术资源搜索服务,方便国内外学者检索中英文文献。致力于提供最便捷和优质的服务体验。 Copyright © 2023 布克学术 All rights reserved.
京ICP备2023020795号-1
ghs 京公网安备 11010802042870号
Book学术文献互助
Book学术文献互助群
群 号:604180095
Book学术官方微信