Causal Relationship between Helicobacter Pylori Antibodies and Immune Thrombocytopenia: A Mendelian Randomization Study.

IF 1.5 4区 医学 Q3 HEMATOLOGY
Yuzhan Chen, Qitian Mu, Guifang Ouyang
{"title":"Causal Relationship between Helicobacter Pylori Antibodies and Immune Thrombocytopenia: A Mendelian Randomization Study.","authors":"Yuzhan Chen, Qitian Mu, Guifang Ouyang","doi":"10.4084/MJHID.2025.003","DOIUrl":null,"url":null,"abstract":"<p><strong>Background: </strong>Previous observational studies have suggested a potential causal relationship between Helicobacter pylori (<i>H. pylori</i>) infection and immune thrombocytopenia (ITP). However, the evidence for causal inference remains contentious, and the underlying mechanisms require further investigation. To delve deeper into the relationship between <i>H. pylori</i> and ITP, we conducted a Mendelian randomization (MR) analysis.</p><p><strong>Method: </strong>In this study, we used two-sample Mendelian Randomization (MR) to assess the causality of seven different specific protein antibodies targeting <i>H. pylori</i> on ITP. 76 single nucleotide polymorphisms (SNPs) related to <i>H. pylori</i> antibody levels were obtained from the European Bioinformatics Institute (EBI). Summary data on ITP was obtained from the FinnGen database, and inverse variance weighted (IVW) analysis was identified as our main method. The reliability of the findings was ensured by performing many sensitivity analyses.</p><p><strong>Result: </strong>Genetically predicted serum levels of <i>H. pylori</i> GroEL antibodies were positively associated with an increased risk of ITP (odds ratio [OR] = 1.802, 95% CI 1.106-2.936, <i>P</i> = 0.01799). No causal relationship was found between other <i>H. pylori</i> antibodies and ITP.</p><p><strong>Conclusion: </strong>The outcomes derived from our two-sample Mendelian randomization analysis demonstrate a discernible link between the levels of <i>H. pylori</i> GroEL antibodies and an augmented susceptibility to ITP. However, it is imperative to expand the sample size further in order to corroborate the correlation between <i>H. pylori</i> infection and ITP.</p>","PeriodicalId":18498,"journal":{"name":"Mediterranean Journal of Hematology and Infectious Diseases","volume":"17 1","pages":"e2025003"},"PeriodicalIF":1.5000,"publicationDate":"2025-01-01","publicationTypes":"Journal Article","fieldsOfStudy":null,"isOpenAccess":false,"openAccessPdf":"https://www.ncbi.nlm.nih.gov/pmc/articles/PMC11740916/pdf/","citationCount":"0","resultStr":null,"platform":"Semanticscholar","paperid":null,"PeriodicalName":"Mediterranean Journal of Hematology and Infectious Diseases","FirstCategoryId":"3","ListUrlMain":"https://doi.org/10.4084/MJHID.2025.003","RegionNum":4,"RegionCategory":"医学","ArticlePicture":[],"TitleCN":null,"AbstractTextCN":null,"PMCID":null,"EPubDate":"","PubModel":"","JCR":"Q3","JCRName":"HEMATOLOGY","Score":null,"Total":0}
引用次数: 0

Abstract

Background: Previous observational studies have suggested a potential causal relationship between Helicobacter pylori (H. pylori) infection and immune thrombocytopenia (ITP). However, the evidence for causal inference remains contentious, and the underlying mechanisms require further investigation. To delve deeper into the relationship between H. pylori and ITP, we conducted a Mendelian randomization (MR) analysis.

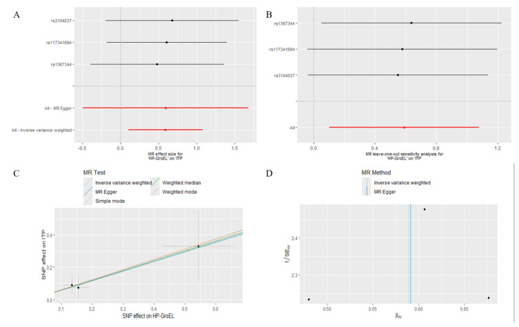
Method: In this study, we used two-sample Mendelian Randomization (MR) to assess the causality of seven different specific protein antibodies targeting H. pylori on ITP. 76 single nucleotide polymorphisms (SNPs) related to H. pylori antibody levels were obtained from the European Bioinformatics Institute (EBI). Summary data on ITP was obtained from the FinnGen database, and inverse variance weighted (IVW) analysis was identified as our main method. The reliability of the findings was ensured by performing many sensitivity analyses.

Result: Genetically predicted serum levels of H. pylori GroEL antibodies were positively associated with an increased risk of ITP (odds ratio [OR] = 1.802, 95% CI 1.106-2.936, P = 0.01799). No causal relationship was found between other H. pylori antibodies and ITP.

Conclusion: The outcomes derived from our two-sample Mendelian randomization analysis demonstrate a discernible link between the levels of H. pylori GroEL antibodies and an augmented susceptibility to ITP. However, it is imperative to expand the sample size further in order to corroborate the correlation between H. pylori infection and ITP.

Abstract Image

Abstract Image

Abstract Image

幽门螺杆菌抗体与免疫性血小板减少症的因果关系:一项孟德尔随机研究。
背景:先前的观察性研究表明幽门螺杆菌感染与免疫性血小板减少症(ITP)之间存在潜在的因果关系。然而,因果推理的证据仍然存在争议,潜在的机制需要进一步调查。为了深入研究幽门螺杆菌与ITP之间的关系,我们进行了孟德尔随机化(MR)分析。方法:本研究采用双样本孟德尔随机化(MR)方法,评估7种针对幽门螺杆菌的特异性蛋白抗体对ITP的因果关系。从欧洲生物信息学研究所(EBI)获得76个与幽门螺杆菌抗体水平相关的单核苷酸多态性(snp)。ITP的汇总数据来自FinnGen数据库,并确定逆方差加权(IVW)分析为我们的主要方法。通过进行许多敏感性分析,确保了结果的可靠性。结果:基因预测血清幽门螺杆菌GroEL抗体水平与ITP风险增加呈正相关(优势比[OR] = 1.802, 95% CI 1.106-2.936, P = 0.01799)。其他幽门螺杆菌抗体与ITP无因果关系。结论:我们的两样本孟德尔随机分析结果表明,幽门螺杆菌GroEL抗体水平与ITP易感性增加之间存在明显的联系。然而,为了进一步证实幽门螺杆菌感染与ITP的相关性,进一步扩大样本量是必要的。
本文章由计算机程序翻译,如有差异,请以英文原文为准。
求助全文
约1分钟内获得全文 求助全文
来源期刊
CiteScore
4.20
自引率
6.20%
发文量
113
审稿时长
12 weeks
期刊介绍: Reciprocal interdependence between infectious and hematologic diseases (malignant and non-malignant) is well known. This relationship is particularly evident in Mediterranean countries. Parasitosis as Malaria, Leishmaniosis, B Hookworms, Teniasis, very common in the southeast Mediterranean area, infect about a billion people and manifest prevalently with anemia so that they are usually diagnosed mostly by experienced hematologist on blood or bone marrow smear. On the other hand, infections are also a significant problem in patients affected by hematological malignancies. The blood is the primary vector of HIV infection, which otherwise manifest with symptoms related to a reduction in T lymphocytes. In turn, infections can favor the insurgency of hematological malignancies. The causative relationship between Epstein-Barr virus infection, Helicobacter pylori, hepatitis C virus, HIV and lymphoproliferative diseases is well known.
×
引用
GB/T 7714-2015
复制
MLA
复制
APA
复制
导出至
BibTeX EndNote RefMan NoteFirst NoteExpress
×
提示
您的信息不完整,为了账户安全,请先补充。
现在去补充
×
提示
您因"违规操作"
具体请查看互助需知
我知道了
×
提示
确定
请完成安全验证×
copy
已复制链接
快去分享给好友吧!
我知道了
右上角分享
点击右上角分享
0
联系我们:info@booksci.cn Book学术提供免费学术资源搜索服务,方便国内外学者检索中英文文献。致力于提供最便捷和优质的服务体验。 Copyright © 2023 布克学术 All rights reserved.
京ICP备2023020795号-1
ghs 京公网安备 11010802042870号
Book学术文献互助
Book学术文献互助群
群 号:604180095
Book学术官方微信