Durvalumab as consolidation therapy in patients who received chemoradiotherapy for unresectable stage III NSCLC: Real-world data from an expanded access program in Brazil (LACOG 0120).

IF 3 4区 医学 Q2 RESPIRATORY SYSTEM
Jornal Brasileiro De Pneumologia Pub Date : 2025-01-13 eCollection Date: 2025-01-01 DOI:10.36416/1806-3756/e20240228
Mauro Zukin, Victor Gondim, Andrea Kazumi Shimada, Ellias Magalhães E Abreu Lima, Clarissa Mathias, Williams Fernandes Barra, William Nassib William Junior, Mônica Padoan, Yuri Bittencourt, Rosely Yamamura, Carlos Eduardo Baston Silva, Letícia de Jesus Rossato, Caio de Almeida Monteiro, Rafaela Gomes de Jesus, Gustavo Gössling, Ana Caroline Zimmer Gelatti
{"title":"Durvalumab as consolidation therapy in patients who received chemoradiotherapy for unresectable stage III NSCLC: Real-world data from an expanded access program in Brazil (LACOG 0120).","authors":"Mauro Zukin, Victor Gondim, Andrea Kazumi Shimada, Ellias Magalhães E Abreu Lima, Clarissa Mathias, Williams Fernandes Barra, William Nassib William Junior, Mônica Padoan, Yuri Bittencourt, Rosely Yamamura, Carlos Eduardo Baston Silva, Letícia de Jesus Rossato, Caio de Almeida Monteiro, Rafaela Gomes de Jesus, Gustavo Gössling, Ana Caroline Zimmer Gelatti","doi":"10.36416/1806-3756/e20240228","DOIUrl":null,"url":null,"abstract":"<p><strong>Objective: </strong>The PACIFIC trial established standard therapy for patients with unresectable stage III NSCLC who did not progress after platinum-based concurrent chemoradiation therapy. However, real-world data, particularly from Latin America, remain limited. The LACOG 0120 study aimed to evaluate the efficacy and safety of consolidation therapy with durvalumab in a real-world setting in Brazil.</p><p><strong>Methods: </strong>Patients with unresectable stage III NSCLC who received chemoradiotherapy followed by durvalumab consolidation therapy through an expanded access program were evaluated. The primary objective was to assess progression-free survival (PFS). Secondary endpoints included overall survival (OS), treatment compliance, and safety, with a focus on the incidence and severity of immune-mediated adverse events (NCT04948411).</p><p><strong>Results: </strong>Thirty-one patients from seven centers were evaluated. Median follow-up was 50.3 months (95% CI: 48.6-54.4). Median PFS was 9.9 months (95% CI: 7.3-52.4), with a 36 month-PFS of 34.5% (95% CI: 17.7-52.1). Median OS was 34.9 months (95% CI: 26.0-NR), and the 36 month-OS was 46.3% (95% CI: 25.7-64.6). Durvalumab was administered for a median of 17 cycles (10 to 24), with 45.2% of patients completing the planned therapy. The main reason for discontinuation was disease progression. Treatment-related adverse events of any grade occurred in 12 patients (38.7%), with grade 3 events reported in two (6.5%). Pneumonitis was observed in 4 patients (12.9%) - grade 3 in 1 patient.</p><p><strong>Conclusions: </strong>PFS was lower in this analysis compared to the PACIFIC trial; however, OS was similar, indicating comparable efficacy in a real-world setting among Brazilian patients with unresectable stage III NSCLC. No new safety concerns were identified.</p>","PeriodicalId":14845,"journal":{"name":"Jornal Brasileiro De Pneumologia","volume":"50 6","pages":"e20240228"},"PeriodicalIF":3.0000,"publicationDate":"2025-01-13","publicationTypes":"Journal Article","fieldsOfStudy":null,"isOpenAccess":false,"openAccessPdf":"https://www.ncbi.nlm.nih.gov/pmc/articles/PMC12063600/pdf/","citationCount":"0","resultStr":null,"platform":"Semanticscholar","paperid":null,"PeriodicalName":"Jornal Brasileiro De Pneumologia","FirstCategoryId":"3","ListUrlMain":"https://doi.org/10.36416/1806-3756/e20240228","RegionNum":4,"RegionCategory":"医学","ArticlePicture":[],"TitleCN":null,"AbstractTextCN":null,"PMCID":null,"EPubDate":"2025/1/1 0:00:00","PubModel":"eCollection","JCR":"Q2","JCRName":"RESPIRATORY SYSTEM","Score":null,"Total":0}
引用次数: 0

Abstract

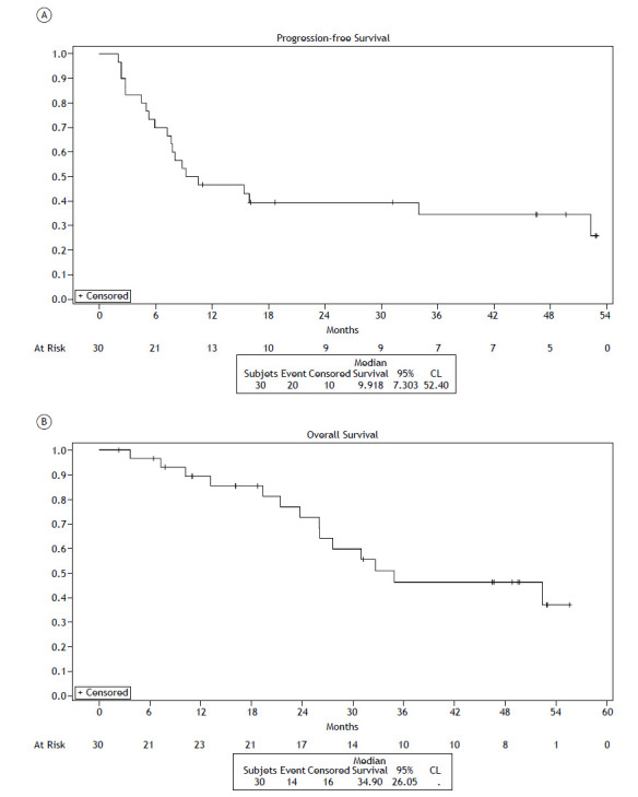
Objective: The PACIFIC trial established standard therapy for patients with unresectable stage III NSCLC who did not progress after platinum-based concurrent chemoradiation therapy. However, real-world data, particularly from Latin America, remain limited. The LACOG 0120 study aimed to evaluate the efficacy and safety of consolidation therapy with durvalumab in a real-world setting in Brazil.

Methods: Patients with unresectable stage III NSCLC who received chemoradiotherapy followed by durvalumab consolidation therapy through an expanded access program were evaluated. The primary objective was to assess progression-free survival (PFS). Secondary endpoints included overall survival (OS), treatment compliance, and safety, with a focus on the incidence and severity of immune-mediated adverse events (NCT04948411).

Results: Thirty-one patients from seven centers were evaluated. Median follow-up was 50.3 months (95% CI: 48.6-54.4). Median PFS was 9.9 months (95% CI: 7.3-52.4), with a 36 month-PFS of 34.5% (95% CI: 17.7-52.1). Median OS was 34.9 months (95% CI: 26.0-NR), and the 36 month-OS was 46.3% (95% CI: 25.7-64.6). Durvalumab was administered for a median of 17 cycles (10 to 24), with 45.2% of patients completing the planned therapy. The main reason for discontinuation was disease progression. Treatment-related adverse events of any grade occurred in 12 patients (38.7%), with grade 3 events reported in two (6.5%). Pneumonitis was observed in 4 patients (12.9%) - grade 3 in 1 patient.

Conclusions: PFS was lower in this analysis compared to the PACIFIC trial; however, OS was similar, indicating comparable efficacy in a real-world setting among Brazilian patients with unresectable stage III NSCLC. No new safety concerns were identified.

Abstract Image

Abstract Image

Durvalumab作为不可切除III期NSCLC放化疗患者的巩固治疗:来自巴西扩大准入项目的真实数据(LACOG 0120)。
目的:PACIFIC试验为无法切除的III期NSCLC患者建立了标准治疗方法,这些患者在铂基同步放化疗后没有进展。然而,真实世界的数据,特别是来自拉丁美洲的数据仍然有限。LACOG 0120研究旨在评估在巴西现实环境中durvalumab巩固治疗的有效性和安全性。方法:对无法切除的III期NSCLC患者进行评估,这些患者通过扩大准入计划接受放化疗和durvalumab巩固治疗。主要目的是评估无进展生存期(PFS)。次要终点包括总生存期(OS)、治疗依从性和安全性,重点是免疫介导的不良事件的发生率和严重程度(NCT04948411)。结果:对来自7个中心的31例患者进行了评估。中位随访为50.3个月(95% CI: 48.6-54.4)。中位PFS为9.9个月(95% CI: 7.3-52.4), 36个月PFS为34.5% (95% CI: 17.7-52.1)。中位OS为34.9个月(95% CI: 26.0-NR), 36个月OS为46.3% (95% CI: 25.7-64.6)。Durvalumab的中位用药周期为17个周期(10 - 24个周期),45.2%的患者完成了计划治疗。停药的主要原因是疾病进展。12名患者(38.7%)发生了任何级别的治疗相关不良事件,2名患者(6.5%)报告了3级不良事件。肺炎4例(12.9%),3级1例。结论:与PACIFIC试验相比,该分析的PFS较低;然而,OS是相似的,表明在现实环境中,巴西无法切除的III期NSCLC患者的疗效相当。没有发现新的安全隐患。
本文章由计算机程序翻译,如有差异,请以英文原文为准。
求助全文
约1分钟内获得全文 求助全文
来源期刊
Jornal Brasileiro De Pneumologia
Jornal Brasileiro De Pneumologia RESPIRATORY SYSTEM-
CiteScore
3.50
自引率
14.80%
发文量
118
审稿时长
20 weeks
期刊介绍: The Brazilian Journal of Pulmonology publishes scientific articles that contribute to the improvement of knowledge in the field of the lung diseases and related areas.
×
引用
GB/T 7714-2015
复制
MLA
复制
APA
复制
导出至
BibTeX EndNote RefMan NoteFirst NoteExpress
×
提示
您的信息不完整,为了账户安全,请先补充。
现在去补充
×
提示
您因"违规操作"
具体请查看互助需知
我知道了
×
提示
确定
请完成安全验证×
copy
已复制链接
快去分享给好友吧!
我知道了
右上角分享
点击右上角分享
0
联系我们:info@booksci.cn Book学术提供免费学术资源搜索服务,方便国内外学者检索中英文文献。致力于提供最便捷和优质的服务体验。 Copyright © 2023 布克学术 All rights reserved.
京ICP备2023020795号-1
ghs 京公网安备 11010802042870号
Book学术文献互助
Book学术文献互助群
群 号:604180095
Book学术官方微信