C-Phycocyanin and Phycocyanobilin as a Novel Adjuvant in Hepatitis B Vaccine.

IF 1.8 4区 医学 Q3 PHARMACOLOGY & PHARMACY
Iranian Journal of Pharmaceutical Research Pub Date : 2024-11-09 eCollection Date: 2024-01-01 DOI:10.5812/ijpr-147060
Nargess Abdali, Reza Tabaripour, Solaleh Javadi, Mehrab Nasirikenari, Mehdi Birjandi, Vahid Siavashi, Mohammad Reza Naghavi, Zahra Hasani, Ali Ahmari, Hossein Hanifi
{"title":"C-Phycocyanin and Phycocyanobilin as a Novel Adjuvant in Hepatitis B Vaccine.","authors":"Nargess Abdali, Reza Tabaripour, Solaleh Javadi, Mehrab Nasirikenari, Mehdi Birjandi, Vahid Siavashi, Mohammad Reza Naghavi, Zahra Hasani, Ali Ahmari, Hossein Hanifi","doi":"10.5812/ijpr-147060","DOIUrl":null,"url":null,"abstract":"<p><strong>Background: </strong>Vaccine adjuvants are components that enhance immune responses to an antigen. Given the importance of adjuvants, research on novel adjuvants with higher efficacy and fewer adverse effects remains crucial. <i>Spirulina</i> (<i>Arthrospira</i> sp.), an aqueous, photosynthetic, filamentous, spiral, multicellular microalga also classified as a cyanobacterium, is well known for its high protein content, vitamins, essential fatty acids, and amino acids. C-phycocyanin (C-PC) is one of the most significant proteins in <i>Spirulina</i>.</p><p><strong>Objectives: </strong>This study aimed to investigate the adjuvant capabilities of three <i>Spirulina</i>-derived substances-<i>Spirulina</i> extract, C-phycocyanin (C-PC), and phycocyanobilin (PCB)-in conjunction with the Hepatitis B surface antigen (HBsAg).</p><p><strong>Methods: </strong>Vaccine groups received the vaccine and adjuvants three times at two-week intervals, administered either orally or by injection in encapsulated or naked forms. To use the injectable form while preventing antigenic effects from the C-PC protein portion, the PCB portion was isolated and used as an injectable adjuvant.</p><p><strong>Results: </strong>The highest levels of interferon gamma (IFN-γ) and interleukin 4 (IL-4) stimulation were observed in the naked PCB form with the vaccine. In both oral and injectable forms of PCB and C-PC, results indicated an increased expression of Hepatitis B surface antibodies (HBsAb) in response to the antigen. The absence of a significant difference between C-PC and <i>Spirulina</i> extract in oral form suggested that the adjuvant effect of this microalga was primarily due to the C-PC compound. Additionally, the injectable form of PCB led to the highest HBsAb expression level. This enhancement of the humoral immune response indicated that these compounds have potential as adjuvants in both oral and injectable forms.</p><p><strong>Conclusions: </strong>These findings suggest the potential for improved Hepatitis B vaccine efficacy with this novel adjuvant, paving the way for further evaluation with other vaccines.</p>","PeriodicalId":14595,"journal":{"name":"Iranian Journal of Pharmaceutical Research","volume":"23 1","pages":"e147060"},"PeriodicalIF":1.8000,"publicationDate":"2024-11-09","publicationTypes":"Journal Article","fieldsOfStudy":null,"isOpenAccess":false,"openAccessPdf":"https://www.ncbi.nlm.nih.gov/pmc/articles/PMC11742379/pdf/","citationCount":"0","resultStr":null,"platform":"Semanticscholar","paperid":null,"PeriodicalName":"Iranian Journal of Pharmaceutical Research","FirstCategoryId":"3","ListUrlMain":"https://doi.org/10.5812/ijpr-147060","RegionNum":4,"RegionCategory":"医学","ArticlePicture":[],"TitleCN":null,"AbstractTextCN":null,"PMCID":null,"EPubDate":"2024/1/1 0:00:00","PubModel":"eCollection","JCR":"Q3","JCRName":"PHARMACOLOGY & PHARMACY","Score":null,"Total":0}
引用次数: 0

Abstract

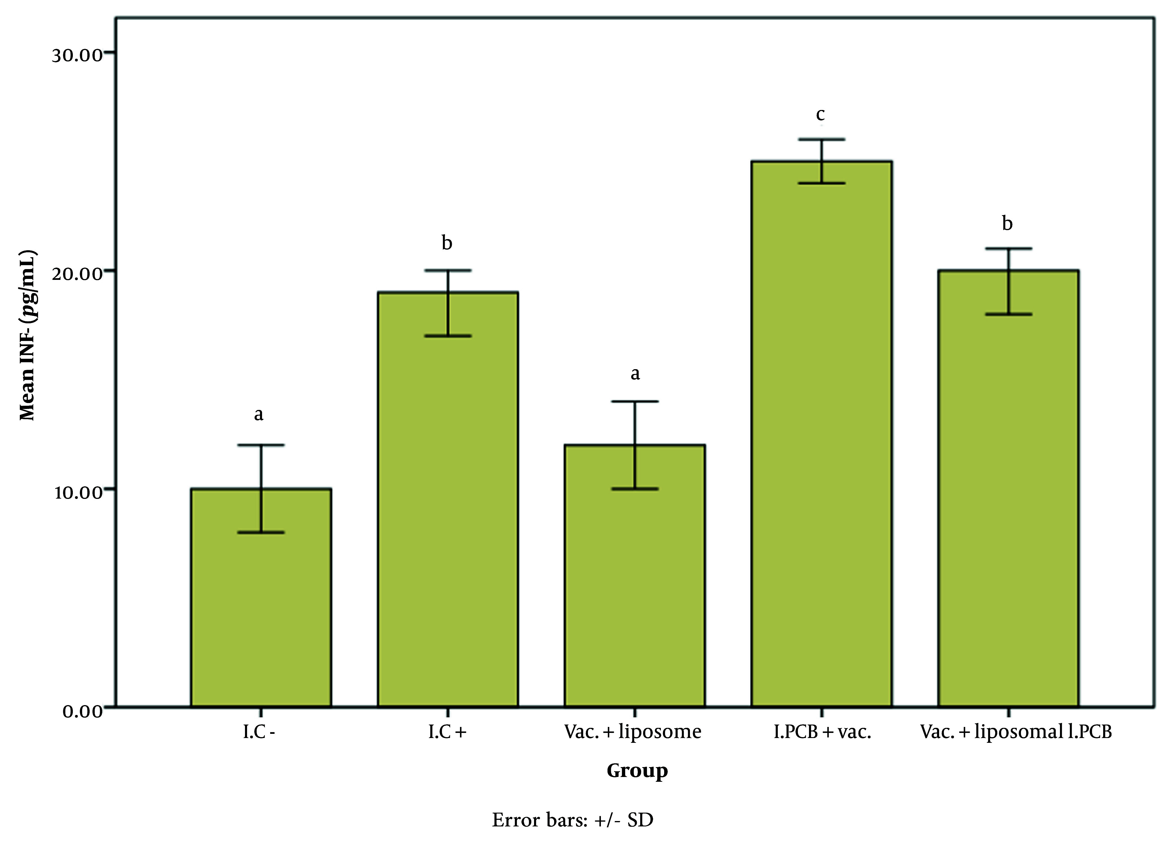
Background: Vaccine adjuvants are components that enhance immune responses to an antigen. Given the importance of adjuvants, research on novel adjuvants with higher efficacy and fewer adverse effects remains crucial. Spirulina (Arthrospira sp.), an aqueous, photosynthetic, filamentous, spiral, multicellular microalga also classified as a cyanobacterium, is well known for its high protein content, vitamins, essential fatty acids, and amino acids. C-phycocyanin (C-PC) is one of the most significant proteins in Spirulina.

Objectives: This study aimed to investigate the adjuvant capabilities of three Spirulina-derived substances-Spirulina extract, C-phycocyanin (C-PC), and phycocyanobilin (PCB)-in conjunction with the Hepatitis B surface antigen (HBsAg).

Methods: Vaccine groups received the vaccine and adjuvants three times at two-week intervals, administered either orally or by injection in encapsulated or naked forms. To use the injectable form while preventing antigenic effects from the C-PC protein portion, the PCB portion was isolated and used as an injectable adjuvant.

Results: The highest levels of interferon gamma (IFN-γ) and interleukin 4 (IL-4) stimulation were observed in the naked PCB form with the vaccine. In both oral and injectable forms of PCB and C-PC, results indicated an increased expression of Hepatitis B surface antibodies (HBsAb) in response to the antigen. The absence of a significant difference between C-PC and Spirulina extract in oral form suggested that the adjuvant effect of this microalga was primarily due to the C-PC compound. Additionally, the injectable form of PCB led to the highest HBsAb expression level. This enhancement of the humoral immune response indicated that these compounds have potential as adjuvants in both oral and injectable forms.

Conclusions: These findings suggest the potential for improved Hepatitis B vaccine efficacy with this novel adjuvant, paving the way for further evaluation with other vaccines.

Abstract Image

Abstract Image

Abstract Image

c -藻蓝蛋白和藻蓝胆素作为乙型肝炎疫苗的新型佐剂。
背景:疫苗佐剂是增强对抗原免疫反应的成分。鉴于佐剂的重要性,研究具有更高疗效和更少副作用的新型佐剂仍然是至关重要的。螺旋藻(Arthrospira sp.)是一种水性、光合作用、丝状、螺旋状、多细胞微藻,也被归类为蓝藻,以其高蛋白含量、维生素、必需脂肪酸和氨基酸而闻名。c -藻蓝蛋白(C-PC)是螺旋藻中最重要的蛋白质之一。目的:研究三种螺旋藻衍生物质——螺旋藻提取物、c -藻蓝蛋白(C-PC)和藻蓝胆素(PCB)对乙型肝炎表面抗原(HBsAg)的佐剂作用。方法:疫苗组接种疫苗和佐剂三次,每隔两周给药,口服或包封或裸注射。为了使用注射形式,同时防止C-PC蛋白部分的抗原作用,分离PCB部分并用作注射佐剂。结果:在裸PCB形式的疫苗中观察到最高水平的干扰素γ (IFN-γ)和白细胞介素4 (IL-4)刺激。在口服和注射形式的PCB和C-PC中,结果表明对抗原的反应增加了乙型肝炎表面抗体(HBsAb)的表达。C-PC与口服螺旋藻提取物之间没有显著差异,说明该微藻的辅助作用主要是由于C-PC化合物。此外,注射形式的PCB导致HBsAb表达水平最高。这种体液免疫反应的增强表明,这些化合物在口服和注射形式中都有作为佐剂的潜力。结论:这些发现表明,这种新型佐剂有可能提高乙肝疫苗的效力,为进一步评估其他疫苗的效果铺平了道路。
本文章由计算机程序翻译,如有差异,请以英文原文为准。
求助全文
约1分钟内获得全文 求助全文
来源期刊
CiteScore
3.40
自引率
6.20%
发文量
52
审稿时长
2 months
期刊介绍: The Iranian Journal of Pharmaceutical Research (IJPR) is a peer-reviewed multi-disciplinary pharmaceutical publication, scheduled to appear quarterly and serve as a means for scientific information exchange in the international pharmaceutical forum. Specific scientific topics of interest to the journal include, but are not limited to: pharmaceutics, industrial pharmacy, pharmacognosy, toxicology, medicinal chemistry, novel analytical methods for drug characterization, computational and modeling approaches to drug design, bio-medical experience, clinical investigation, rational drug prescribing, pharmacoeconomics, biotechnology, nanotechnology, biopharmaceutics and physical pharmacy.
×
引用
GB/T 7714-2015
复制
MLA
复制
APA
复制
导出至
BibTeX EndNote RefMan NoteFirst NoteExpress
×
提示
您的信息不完整,为了账户安全,请先补充。
现在去补充
×
提示
您因"违规操作"
具体请查看互助需知
我知道了
×
提示
确定
请完成安全验证×
copy
已复制链接
快去分享给好友吧!
我知道了
右上角分享
点击右上角分享
0
联系我们:info@booksci.cn Book学术提供免费学术资源搜索服务,方便国内外学者检索中英文文献。致力于提供最便捷和优质的服务体验。 Copyright © 2023 布克学术 All rights reserved.
京ICP备2023020795号-1
ghs 京公网安备 11010802042870号
Book学术文献互助
Book学术文献互助群
群 号:604180095
Book学术官方微信