The effects of ultra-selective beta1-antagonism on the metabolic and cytokine profile in septic shock patients receiving noradrenaline: a sub-investigation from the STRESS-L Randomised Study.

IF 2.8 Q2 CRITICAL CARE MEDICINE
Jarrod L Thomas, Kirsty C McGee, Anower Hossain, Gavin D Perkins, Anthony C Gordon, Duncan Young, Danny McAuley, Mervyn Singer, Ranjit Lall, Tina Kramaric, Janet M Lord, Tony Whitehouse, Luis A J Mur
{"title":"The effects of ultra-selective beta1-antagonism on the metabolic and cytokine profile in septic shock patients receiving noradrenaline: a sub-investigation from the STRESS-L Randomised Study.","authors":"Jarrod L Thomas, Kirsty C McGee, Anower Hossain, Gavin D Perkins, Anthony C Gordon, Duncan Young, Danny McAuley, Mervyn Singer, Ranjit Lall, Tina Kramaric, Janet M Lord, Tony Whitehouse, Luis A J Mur","doi":"10.1186/s40635-024-00708-6","DOIUrl":null,"url":null,"abstract":"<p><strong>Purpose: </strong>The landiolol and organ failure in patients with septic shock (STRESS-L study) included a pre-planned sub-study to assess the effect of landiolol treatment on inflammatory and metabolomic markers.</p><p><strong>Methods: </strong>Samples collected from 91 patients randomised to STRESS-L were profiled for immune and metabolomic markers. A panel of pro- and anti-inflammatory cytokines were measured through commercially acquired multiplex Luminex assays and statistically analysed by individual and cluster-level analysis (patient). Metabolite fingerprinting was carried out by flow infusion electrospray ionisation high-resolution mass spectrometry and metabolomic data were analysed using the R-based platform MetaboAnalyst. The metabolites were identified using DIMEdb (dimedb.ibers.aber.ac.uk) from their mass/charge ratios. These metabolomic data were also re-analysed using individual and cluster-level analysis. The individual-level models were adjusted for confounders, such as age, sex, noradrenaline dosage and patient (random effect).</p><p><strong>Results: </strong>Analysis was undertaken at cluster- and individual-level. There were no significant differences in cytokine concentration level between trial arms nor survivors and non-survivors over the duration of the observations from day 1 to day 4. Metabolomic analysis showed some separation in the levels of ceramides and cardiolipins between those who survived and those who died. Following adjusted analysis for confounders, plasma metabolite concentrations remained statistically different between landiolol and standard care arms for succinic acid, L-tryptophan, L-alanine, 2,2,2-trichloroethanol, lactic acid and D-glucose.</p><p><strong>Conclusions: </strong>In a study of ICU patients with established septic shock and a tachycardia, landiolol treatment used to reduce the heart rate from above 95 to a range between 80 and 94 beats per minute did not induce significant cytokine changes. D-Glucose, lactic acid, succinic acid, L-alanine, L-tryptophan and trichloroethanol were pathways that may merit further investigation.</p><p><strong>Trial registration: </strong>EU Clinical Trials Register Eudra CT: 2017-001785-14 ( https://www.clinicaltrialsregister.eu/ctr-search/trial/2017-001785-14/GB ); ISRCTN registry Identifier: ISRCTN12600919 ( https://www.isrctn.com/ISRCTN12600919 ).</p>","PeriodicalId":13750,"journal":{"name":"Intensive Care Medicine Experimental","volume":"13 1","pages":"9"},"PeriodicalIF":2.8000,"publicationDate":"2025-01-22","publicationTypes":"Journal Article","fieldsOfStudy":null,"isOpenAccess":false,"openAccessPdf":"https://www.ncbi.nlm.nih.gov/pmc/articles/PMC11754546/pdf/","citationCount":"0","resultStr":null,"platform":"Semanticscholar","paperid":null,"PeriodicalName":"Intensive Care Medicine Experimental","FirstCategoryId":"1085","ListUrlMain":"https://doi.org/10.1186/s40635-024-00708-6","RegionNum":0,"RegionCategory":null,"ArticlePicture":[],"TitleCN":null,"AbstractTextCN":null,"PMCID":null,"EPubDate":"","PubModel":"","JCR":"Q2","JCRName":"CRITICAL CARE MEDICINE","Score":null,"Total":0}
引用次数: 0

Abstract

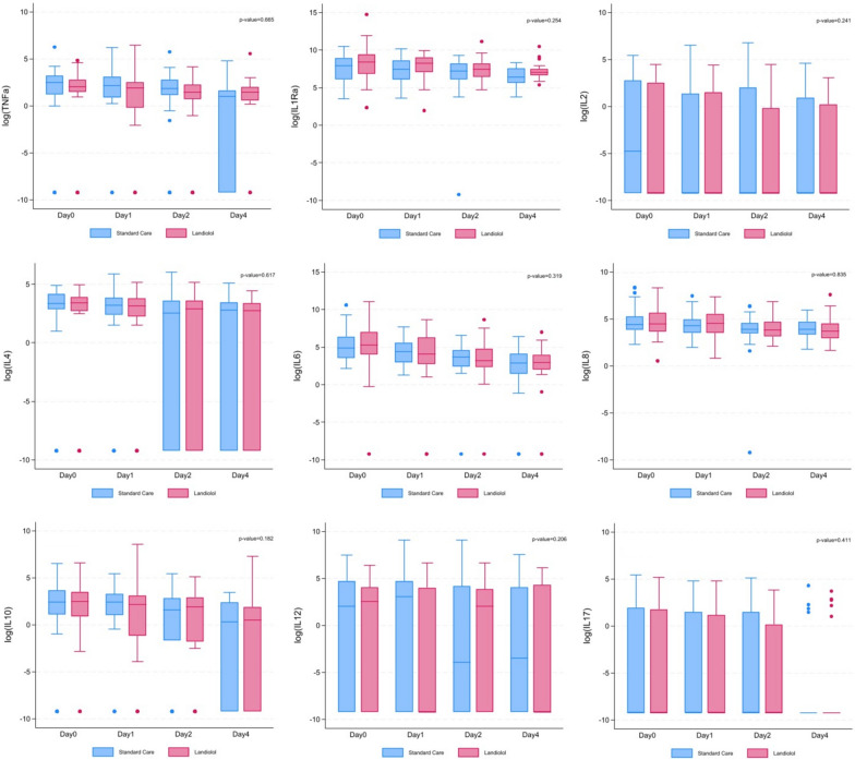
Purpose: The landiolol and organ failure in patients with septic shock (STRESS-L study) included a pre-planned sub-study to assess the effect of landiolol treatment on inflammatory and metabolomic markers.

Methods: Samples collected from 91 patients randomised to STRESS-L were profiled for immune and metabolomic markers. A panel of pro- and anti-inflammatory cytokines were measured through commercially acquired multiplex Luminex assays and statistically analysed by individual and cluster-level analysis (patient). Metabolite fingerprinting was carried out by flow infusion electrospray ionisation high-resolution mass spectrometry and metabolomic data were analysed using the R-based platform MetaboAnalyst. The metabolites were identified using DIMEdb (dimedb.ibers.aber.ac.uk) from their mass/charge ratios. These metabolomic data were also re-analysed using individual and cluster-level analysis. The individual-level models were adjusted for confounders, such as age, sex, noradrenaline dosage and patient (random effect).

Results: Analysis was undertaken at cluster- and individual-level. There were no significant differences in cytokine concentration level between trial arms nor survivors and non-survivors over the duration of the observations from day 1 to day 4. Metabolomic analysis showed some separation in the levels of ceramides and cardiolipins between those who survived and those who died. Following adjusted analysis for confounders, plasma metabolite concentrations remained statistically different between landiolol and standard care arms for succinic acid, L-tryptophan, L-alanine, 2,2,2-trichloroethanol, lactic acid and D-glucose.

Conclusions: In a study of ICU patients with established septic shock and a tachycardia, landiolol treatment used to reduce the heart rate from above 95 to a range between 80 and 94 beats per minute did not induce significant cytokine changes. D-Glucose, lactic acid, succinic acid, L-alanine, L-tryptophan and trichloroethanol were pathways that may merit further investigation.

Trial registration: EU Clinical Trials Register Eudra CT: 2017-001785-14 ( https://www.clinicaltrialsregister.eu/ctr-search/trial/2017-001785-14/GB ); ISRCTN registry Identifier: ISRCTN12600919 ( https://www.isrctn.com/ISRCTN12600919 ).

Abstract Image

Abstract Image

Abstract Image

超选择性β - 1拮抗剂对接受去甲肾上腺素治疗的脓毒性休克患者代谢和细胞因子谱的影响:应激- l随机研究的一项亚调查
目的:兰地洛尔与感染性休克患者器官衰竭(STRESS-L研究)包括一项预先计划的亚研究,以评估兰地洛尔治疗对炎症和代谢组学标志物的影响。方法:从随机分配到STRESS-L组的91例患者中收集样本,进行免疫和代谢组学标记。通过商业获得的多重Luminex检测来测量一组促炎性和抗炎性细胞因子,并通过个体和集群水平分析(患者)进行统计分析。代谢物指纹鉴定采用流动输注电喷雾电离高分辨率质谱法,代谢组学数据使用基于r的平台MetaboAnalyst进行分析。利用DIMEdb (DIMEdb .ibers.aber.ac.uk)对代谢物进行质荷比鉴定。这些代谢组学数据也使用个体和集群水平分析重新分析。个体水平模型根据混杂因素进行调整,如年龄、性别、去甲肾上腺素剂量和患者(随机效应)。结果:在集群和个人水平上进行了分析。在第1天至第4天的观察期间,试验组、幸存者和非幸存者之间的细胞因子浓度水平没有显著差异。代谢组学分析显示,在存活者和死亡者之间,神经酰胺和心磷脂的水平有所不同。在对混杂因素进行校正分析后,血浆代谢物浓度在兰地洛尔组和标准护理组中琥珀酸、l -色氨酸、l -丙氨酸、2,2,2-三氯乙醇、乳酸和d -葡萄糖仍有统计学差异。结论:在一项针对感染性休克和心动过速的ICU患者的研究中,使用兰地洛尔治疗将心率从95次以上降低到80 - 94次/分钟,并没有引起显著的细胞因子变化。d -葡萄糖、乳酸、琥珀酸、l -丙氨酸、l -色氨酸和三氯乙醇是值得进一步研究的途径。试验注册:EU Clinical Trials Register Eudra CT: 2017-001785-14 (https://www.clinicaltrialsregister.eu/ctr-search/trial/2017-001785-14/GB);ISRCTN注册表标识符:ISRCTN12600919 (https://www.isrctn.com/ISRCTN12600919)。
本文章由计算机程序翻译,如有差异,请以英文原文为准。
求助全文
约1分钟内获得全文 求助全文
来源期刊
Intensive Care Medicine Experimental
Intensive Care Medicine Experimental CRITICAL CARE MEDICINE-
CiteScore
5.10
自引率
2.90%
发文量
48
审稿时长
13 weeks
×
引用
GB/T 7714-2015
复制
MLA
复制
APA
复制
导出至
BibTeX EndNote RefMan NoteFirst NoteExpress
×
提示
您的信息不完整,为了账户安全,请先补充。
现在去补充
×
提示
您因"违规操作"
具体请查看互助需知
我知道了
×
提示
确定
请完成安全验证×
copy
已复制链接
快去分享给好友吧!
我知道了
右上角分享
点击右上角分享
0
联系我们:info@booksci.cn Book学术提供免费学术资源搜索服务,方便国内外学者检索中英文文献。致力于提供最便捷和优质的服务体验。 Copyright © 2023 布克学术 All rights reserved.
京ICP备2023020795号-1
ghs 京公网安备 11010802042870号
Book学术文献互助
Book学术文献互助群
群 号:604180095
Book学术官方微信