A Comparative Analysis of Cell Proliferation and Wound Closure in Cultured Gingival Epithelial Cells Using Plasma Rich in Growth Factors and Platelet-Rich Plasma Containing Leukocytes.

IF 2.1 Q1 Dentistry
European Journal of Dentistry Pub Date : 2025-10-01 Epub Date: 2025-01-20 DOI:10.1055/s-0044-1801274
Yuri Watanabe, Katsumitsu Shimada, Yousuke Doi, Takuyoshi Higuchi, Yoshiya Kato, Xianqi Li, Yuji Kurihara, Satoshi Murakami
{"title":"A Comparative Analysis of Cell Proliferation and Wound Closure in Cultured Gingival Epithelial Cells Using Plasma Rich in Growth Factors and Platelet-Rich Plasma Containing Leukocytes.","authors":"Yuri Watanabe, Katsumitsu Shimada, Yousuke Doi, Takuyoshi Higuchi, Yoshiya Kato, Xianqi Li, Yuji Kurihara, Satoshi Murakami","doi":"10.1055/s-0044-1801274","DOIUrl":null,"url":null,"abstract":"<p><p>Plasma rich in growth factors (PRGF) is presumed to be able to stimulate the regeneration of skin and periodontal tissue. This effect can be attributed to the fact that PRGF contains fewer leukocyte-derived interleukins in comparison to platelet-rich plasma (PRP). However, a comparison of the effects of PRGF and PRP on gingival epithelial cells has not been conducted yet. Therefore, our objective was to clarify and compare the effects of PRGF and PRP on gingival epithelial cell proliferation, wound healing, and gene expression.PRGF and PRP were obtained from three donors. A complete medium containing bovine pituitary extract (BPE) and growth factors was used as a positive control (PC), while a medium without BPE was used as a negative control (NC). We evaluated the presence of platelets and leukocytes, as well as the number of leukocytes, in PRP and PRGF using the cell block method and a cell counting chamber. We assessed gingival epithelial cell proliferation with WST-1 and wound healing by using cell-free culture inserts. To examine the mRNA expression of tumor necrosis factor-α (TNF-α), which is related to cell growth inhibition, and integrin β4, which contributes to cell adhesion, we used quantitative reverse transcription polymerase chain reactions (RT-PCRs) under PRGF and PRP samples in vitro. The nonparametric data were analyzed using the Kruskal-Wallis test.Large quantities of platelets were observed in both PRGF and PRP. The leukocyte concentration in PRGF was generally lower than that in PRP. Our report indicated that cell proliferation was significantly higher in PRGF than in PRP on day 1 and 2. We found that there was no significant difference in the wound closure rate between PRGF and PRP in comparison to their respective control groups. The quantitative RT-PCR revealed insignificant differences in mRNA expression as TNF-α and integrin β4 between PRGF and PRP in comparison to the each of their respective control groups.Our research indicated that PRGF can promote the proliferation of gingival epithelium more than PRP, contributing to the healing of periodontal tissue. TNF-α and integrin β4 mRNA expression may not be significantly involved in wound closure within the gingival epithelium under the influence of PRGF and PRP.</p>","PeriodicalId":12028,"journal":{"name":"European Journal of Dentistry","volume":" ","pages":"1055-1062"},"PeriodicalIF":2.1000,"publicationDate":"2025-10-01","publicationTypes":"Journal Article","fieldsOfStudy":null,"isOpenAccess":false,"openAccessPdf":"https://www.ncbi.nlm.nih.gov/pmc/articles/PMC12494442/pdf/","citationCount":"0","resultStr":null,"platform":"Semanticscholar","paperid":null,"PeriodicalName":"European Journal of Dentistry","FirstCategoryId":"1085","ListUrlMain":"https://doi.org/10.1055/s-0044-1801274","RegionNum":0,"RegionCategory":null,"ArticlePicture":[],"TitleCN":null,"AbstractTextCN":null,"PMCID":null,"EPubDate":"2025/1/20 0:00:00","PubModel":"Epub","JCR":"Q1","JCRName":"Dentistry","Score":null,"Total":0}
引用次数: 0

Abstract

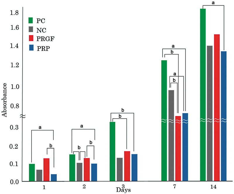
Plasma rich in growth factors (PRGF) is presumed to be able to stimulate the regeneration of skin and periodontal tissue. This effect can be attributed to the fact that PRGF contains fewer leukocyte-derived interleukins in comparison to platelet-rich plasma (PRP). However, a comparison of the effects of PRGF and PRP on gingival epithelial cells has not been conducted yet. Therefore, our objective was to clarify and compare the effects of PRGF and PRP on gingival epithelial cell proliferation, wound healing, and gene expression.PRGF and PRP were obtained from three donors. A complete medium containing bovine pituitary extract (BPE) and growth factors was used as a positive control (PC), while a medium without BPE was used as a negative control (NC). We evaluated the presence of platelets and leukocytes, as well as the number of leukocytes, in PRP and PRGF using the cell block method and a cell counting chamber. We assessed gingival epithelial cell proliferation with WST-1 and wound healing by using cell-free culture inserts. To examine the mRNA expression of tumor necrosis factor-α (TNF-α), which is related to cell growth inhibition, and integrin β4, which contributes to cell adhesion, we used quantitative reverse transcription polymerase chain reactions (RT-PCRs) under PRGF and PRP samples in vitro. The nonparametric data were analyzed using the Kruskal-Wallis test.Large quantities of platelets were observed in both PRGF and PRP. The leukocyte concentration in PRGF was generally lower than that in PRP. Our report indicated that cell proliferation was significantly higher in PRGF than in PRP on day 1 and 2. We found that there was no significant difference in the wound closure rate between PRGF and PRP in comparison to their respective control groups. The quantitative RT-PCR revealed insignificant differences in mRNA expression as TNF-α and integrin β4 between PRGF and PRP in comparison to the each of their respective control groups.Our research indicated that PRGF can promote the proliferation of gingival epithelium more than PRP, contributing to the healing of periodontal tissue. TNF-α and integrin β4 mRNA expression may not be significantly involved in wound closure within the gingival epithelium under the influence of PRGF and PRP.

Abstract Image

Abstract Image

Abstract Image

富生长因子血浆和含白细胞富血小板血浆对牙龈上皮细胞增殖和伤口愈合的影响。
目的:富含生长因子(PRGF)的血浆被认为能够刺激皮肤和牙周组织的再生。这种效果可归因于PRGF含有较少的白细胞来源的白细胞介素与富血小板血浆(PRP)相比。然而,目前还没有比较PRGF和PRP对牙龈上皮细胞的影响。因此,我们的目的是澄清和比较PRGF和PRP对牙龈上皮细胞增殖、伤口愈合和基因表达的影响。材料和方法:PRGF和PRP分别取自3名供体。采用含有牛垂体提取物(BPE)和生长因子的完整培养基作为阳性对照(PC),不含BPE的培养基作为阴性对照(NC)。我们使用细胞块法和细胞计数室评估PRP和PRGF中血小板和白细胞的存在,以及白细胞的数量。我们用WST-1评估牙龈上皮细胞增殖,用无细胞培养插入物评估伤口愈合。为了检测与细胞生长抑制相关的肿瘤坏死因子-α (TNF-α)和与细胞粘附相关的整合素β4的mRNA表达,我们在体外使用PRGF和PRP样品进行了定量逆转录聚合酶链反应(rt - pcr)。非参数数据采用Kruskal-Wallis检验进行分析。结果:PRGF和PRP均可见大量血小板。PRGF中白细胞浓度普遍低于PRP。我们的报告显示,在第1天和第2天,PRGF的细胞增殖明显高于PRP。我们发现,与各自的对照组相比,PRGF和PRP的伤口愈合率没有显著差异。定量RT-PCR结果显示,PRGF和PRP与各自对照组相比,TNF-α和整合素β4 mRNA的表达差异不显著。结论:PRGF比PRP更能促进牙龈上皮的增殖,促进牙周组织的愈合。在PRGF和PRP的影响下,TNF-α和整合素β 4mrna的表达可能不显著参与牙龈上皮内伤口的闭合。
本文章由计算机程序翻译,如有差异,请以英文原文为准。
求助全文
约1分钟内获得全文 求助全文
来源期刊
European Journal of Dentistry
European Journal of Dentistry Dentistry-Dentistry (all)
CiteScore
5.10
自引率
0.00%
发文量
161
期刊介绍: The European Journal of Dentistry is the official journal of the Dental Investigations Society, based in Turkey. It is a double-blinded peer-reviewed, Open Access, multi-disciplinary international journal addressing various aspects of dentistry. The journal''s board consists of eminent investigators in dentistry from across the globe and presents an ideal international composition. The journal encourages its authors to submit original investigations, reviews, and reports addressing various divisions of dentistry including oral pathology, prosthodontics, endodontics, orthodontics etc. It is available both online and in print.
×
引用
GB/T 7714-2015
复制
MLA
复制
APA
复制
导出至
BibTeX EndNote RefMan NoteFirst NoteExpress
×
提示
您的信息不完整,为了账户安全,请先补充。
现在去补充
×
提示
您因"违规操作"
具体请查看互助需知
我知道了
×
提示
确定
请完成安全验证×
copy
已复制链接
快去分享给好友吧!
我知道了
右上角分享
点击右上角分享
0
联系我们:info@booksci.cn Book学术提供免费学术资源搜索服务,方便国内外学者检索中英文文献。致力于提供最便捷和优质的服务体验。 Copyright © 2023 布克学术 All rights reserved.
京ICP备2023020795号-1
ghs 京公网安备 11010802042870号
Book学术文献互助
Book学术文献互助群
群 号:604180095
Book学术官方微信