Quantitative accuracy of preclinical in ovo PET/MRI: influence of attenuation and quantification methods.

IF 3.2 2区 医学 Q2 RADIOLOGY, NUCLEAR MEDICINE & MEDICAL IMAGING
Theresa Balber, Katarína Benčurová, Manuela Mayrhofer, Joachim Friske, Martin Haas, Claudia Kuntner, Thomas H Helbich, Marcus Hacker, Markus Mitterhauser, Ivo Rausch
{"title":"Quantitative accuracy of preclinical in ovo PET/MRI: influence of attenuation and quantification methods.","authors":"Theresa Balber, Katarína Benčurová, Manuela Mayrhofer, Joachim Friske, Martin Haas, Claudia Kuntner, Thomas H Helbich, Marcus Hacker, Markus Mitterhauser, Ivo Rausch","doi":"10.1186/s40658-024-00714-3","DOIUrl":null,"url":null,"abstract":"<p><strong>Aim: </strong>The combination of positron emission tomography (PET) and magnetic resonance imaging (MRI) provides an innovation leap in the use of fertilized chicken eggs (in ovo model) in preclinical imaging as PET/MRI enables the investigation of the chick embryonal organ-specific distribution of PET-tracers. However, hybrid PET/MRI inheres technical challenges in quantitative in ovo PET such as attenuation correction (AC) for the object as well as for additional hardware parts present in the PET field-of-view, which potentially contribute to quantification biases in the PET images if not accounted for. This study aimed to investigate the influence of the different sources of attenuation on in ovo PET/MRI and assess the accuracy of MR-based AC for in ovo experiments.</p><p><strong>Method: </strong>An in-house made chicken egg phantom was used to investigate the magnitude of self-attenuation and the influence of the MRI hardware on the PET signal. The phantom was placed in a preclinical PET/MRI system and PET acquisitions were performed without, and after subsequently adding the different hardware parts to the setup. Reconstructions were performed without any AC for the different setups and with subsequently incorporating the hardware parts into the AC. In addition, in ovo imaging was performed using [<sup>18</sup>F]FDG and [<sup>68</sup>Ga]Ga-Pentixafor, and PET data was reconstructed with the different AC combinations. Quantitative accuracy was assessed for the phantom and the in ovo measurements.</p><p><strong>Results: </strong>In general, not accounting for the self-attenuation of the egg and the hardware parts caused an underestimation of the PET signal of around 49% within the egg. Accounting for all sources of attenuation allowed a proper quantification with global offsets of 2% from the true activity. Quantification based on % injected dose per cc (%ID/cc) was similar for the in ovo measurements, regardless of whether hardware parts were included in AC or not, when the injected activity was extracted from the PET images. However, substantial quantification biases were found when the self-attenuation of the egg was not taken into account.</p><p><strong>Conclusion: </strong>Self-attenuation of the egg and PET signal attenuation within the hardware parts of the MRI substantially influence quantitative accuracy in in ovo measurements. However, when compensating for the self-attenuation of the egg by a respective AC, a reliable quantification using %ID/cc can be performed even if not accounting for the attenuation of the hardware parts.</p>","PeriodicalId":11559,"journal":{"name":"EJNMMI Physics","volume":"12 1","pages":"5"},"PeriodicalIF":3.2000,"publicationDate":"2025-01-21","publicationTypes":"Journal Article","fieldsOfStudy":null,"isOpenAccess":false,"openAccessPdf":"https://www.ncbi.nlm.nih.gov/pmc/articles/PMC11753441/pdf/","citationCount":"0","resultStr":null,"platform":"Semanticscholar","paperid":null,"PeriodicalName":"EJNMMI Physics","FirstCategoryId":"3","ListUrlMain":"https://doi.org/10.1186/s40658-024-00714-3","RegionNum":2,"RegionCategory":"医学","ArticlePicture":[],"TitleCN":null,"AbstractTextCN":null,"PMCID":null,"EPubDate":"","PubModel":"","JCR":"Q2","JCRName":"RADIOLOGY, NUCLEAR MEDICINE & MEDICAL IMAGING","Score":null,"Total":0}
引用次数: 0

Abstract

Aim: The combination of positron emission tomography (PET) and magnetic resonance imaging (MRI) provides an innovation leap in the use of fertilized chicken eggs (in ovo model) in preclinical imaging as PET/MRI enables the investigation of the chick embryonal organ-specific distribution of PET-tracers. However, hybrid PET/MRI inheres technical challenges in quantitative in ovo PET such as attenuation correction (AC) for the object as well as for additional hardware parts present in the PET field-of-view, which potentially contribute to quantification biases in the PET images if not accounted for. This study aimed to investigate the influence of the different sources of attenuation on in ovo PET/MRI and assess the accuracy of MR-based AC for in ovo experiments.

Method: An in-house made chicken egg phantom was used to investigate the magnitude of self-attenuation and the influence of the MRI hardware on the PET signal. The phantom was placed in a preclinical PET/MRI system and PET acquisitions were performed without, and after subsequently adding the different hardware parts to the setup. Reconstructions were performed without any AC for the different setups and with subsequently incorporating the hardware parts into the AC. In addition, in ovo imaging was performed using [18F]FDG and [68Ga]Ga-Pentixafor, and PET data was reconstructed with the different AC combinations. Quantitative accuracy was assessed for the phantom and the in ovo measurements.

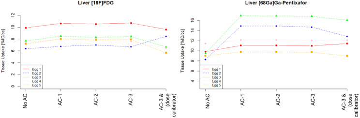
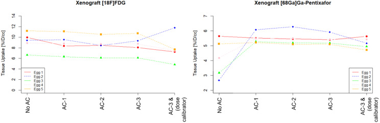
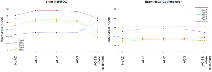
Results: In general, not accounting for the self-attenuation of the egg and the hardware parts caused an underestimation of the PET signal of around 49% within the egg. Accounting for all sources of attenuation allowed a proper quantification with global offsets of 2% from the true activity. Quantification based on % injected dose per cc (%ID/cc) was similar for the in ovo measurements, regardless of whether hardware parts were included in AC or not, when the injected activity was extracted from the PET images. However, substantial quantification biases were found when the self-attenuation of the egg was not taken into account.

Conclusion: Self-attenuation of the egg and PET signal attenuation within the hardware parts of the MRI substantially influence quantitative accuracy in in ovo measurements. However, when compensating for the self-attenuation of the egg by a respective AC, a reliable quantification using %ID/cc can be performed even if not accounting for the attenuation of the hardware parts.

Abstract Image

Abstract Image

Abstract Image

临床前PET/MRI定量准确性:衰减和定量方法的影响。
目的:正电子发射断层扫描(PET)和核磁共振成像(MRI)的结合为在临床前成像中使用受精卵(蛋模型)提供了一个创新的飞跃,因为PET/MRI可以研究PET示踪剂在鸡胚胎器官的特异性分布。然而,混合PET/MRI在定量的ovo PET中存在技术挑战,例如物体的衰减校正(AC)以及PET视场中存在的额外硬件部件,如果不考虑这些问题,可能会导致PET图像的量化偏差。本研究旨在探讨不同衰减源对卵内PET/MRI的影响,并评估基于mr的AC在卵内实验中的准确性。方法:利用自制的鸡蛋模体研究其自衰减幅度及MRI硬件对PET信号的影响。将假体放置在临床前PET/MRI系统中,并在随后添加不同硬件部件后进行PET采集。在没有任何AC的情况下对不同的设置进行重建,随后将硬件部分合并到AC中。此外,使用[18F]FDG和[68Ga]Ga-Pentixafor进行卵内成像,并使用不同的AC组合重建PET数据。定量准确性评估的幻影和卵内测量。结果:一般来说,不考虑鸡蛋和硬件部分的自衰减,导致鸡蛋内PET信号低估约49%。考虑到所有的衰减源,可以适当地量化全球偏移量为真实活动的2%。当从PET图像中提取注射活性时,无论AC中是否包含硬件部件,基于每cc注射剂量% (%ID/cc)的定量方法与卵内测量相似。然而,当不考虑卵子的自衰减时,发现了大量的量化偏差。结论:卵的自衰减和MRI硬件部分的PET信号衰减严重影响卵测量的定量准确性。然而,当通过各自的交流补偿鸡蛋的自衰减时,即使不考虑硬件部分的衰减,也可以使用%ID/cc进行可靠的量化。
本文章由计算机程序翻译,如有差异,请以英文原文为准。
求助全文
约1分钟内获得全文 求助全文
来源期刊
EJNMMI Physics
EJNMMI Physics Physics and Astronomy-Radiation
CiteScore
6.70
自引率
10.00%
发文量
78
审稿时长
13 weeks
期刊介绍: EJNMMI Physics is an international platform for scientists, users and adopters of nuclear medicine with a particular interest in physics matters. As a companion journal to the European Journal of Nuclear Medicine and Molecular Imaging, this journal has a multi-disciplinary approach and welcomes original materials and studies with a focus on applied physics and mathematics as well as imaging systems engineering and prototyping in nuclear medicine. This includes physics-driven approaches or algorithms supported by physics that foster early clinical adoption of nuclear medicine imaging and therapy.
×
引用
GB/T 7714-2015
复制
MLA
复制
APA
复制
导出至
BibTeX EndNote RefMan NoteFirst NoteExpress
×
提示
您的信息不完整,为了账户安全,请先补充。
现在去补充
×
提示
您因"违规操作"
具体请查看互助需知
我知道了
×
提示
确定
请完成安全验证×
copy
已复制链接
快去分享给好友吧!
我知道了
右上角分享
点击右上角分享
0
联系我们:info@booksci.cn Book学术提供免费学术资源搜索服务,方便国内外学者检索中英文文献。致力于提供最便捷和优质的服务体验。 Copyright © 2023 布克学术 All rights reserved.
京ICP备2023020795号-1
ghs 京公网安备 11010802042870号
Book学术文献互助
Book学术文献互助群
群 号:604180095
Book学术官方微信