Medwakh smoking induces alterations in salivary proteins and cytokine expression: a clinical exploratory proteomics investigation.

IF 3.3 3区 医学 Q2 BIOCHEMICAL RESEARCH METHODS
K G Aghila Rani, Nelson C Soares, Betul Rahman, Alexander D Giddey, Hamza M Al-Hroub, Mohammad H Semreen, Sausan Al Kawas
{"title":"Medwakh smoking induces alterations in salivary proteins and cytokine expression: a clinical exploratory proteomics investigation.","authors":"K G Aghila Rani, Nelson C Soares, Betul Rahman, Alexander D Giddey, Hamza M Al-Hroub, Mohammad H Semreen, Sausan Al Kawas","doi":"10.1186/s12014-024-09520-6","DOIUrl":null,"url":null,"abstract":"<p><strong>Background: </strong>Medwakh smoking has radically expanded among youth in the Middle East and around the world. The rising popularity of medwakh/dokha usage is linked to the onset of several chronic illnesses including cardiovascular diseases and cancers. Medwakh smoking is reported to increase the risk of inflammation in the lower respiratory tract owing to oxidative burden. To date, there are no reported studies investigating the impact of medwakh smoking on salivary protein profile. The current study aims to elucidate alterations in the salivary proteome profile of medwakh smokers.</p><p><strong>Methods: </strong>Saliva samples collected from 33 medwakh smokers and 30 non-smokers were subjected to proteomic analysis using UHPLC-ESI-QTOF-MS. Saliva samples were further subjected to validatory experiments involving analysis of inflammatory cytokine profile using LEGENDplex™ Human Essential Immune Response Panel.</p><p><strong>Results: </strong>Statistical analysis revealed alterations in the abundance of 74 key proteins including immune mediators and inflammatory markers in medwakh smokers (Accession: PXD045901). Proteins involved in building oxidative stress, alterations in cell anchorage, and cell metabolic processes were enhanced in medwakh smokers. Salivary immune response evaluation further validated the proteome findings, revealing significantly higher levels of IL-1β, IL-12p70, IL-23, IFN-γ (Th1 cytokines), IL-6 (Th2 cytokine), and MCP-1 (chemokine) in medwakh smokers. In addition, a substantial increase in abundance of involucrin suggesting a plausible stratified squamous cell differentiation and increased cell lysis in the oral cavity of medwakh smokers akin to chronic obstructive pulmonary diseases (COPD). The protein-metabolite joint pathway analysis further showed significantly enriched differentially expressed proteins and metabolites of glycolysis/gluconeogenesis, pentose phosphate, fructose and mannose, nicotinate and nicotinamide, and glutathione metabolism pathways among medwakh smokers.</p><p><strong>Conclusions: </strong>The findings of the study provide valuable insights on potential perturbations in various key immune molecules, cytokines, and signaling pathways among medwakh smokers. Medwakh smokers displayed elevated inflammation, increased oxidative stress and defective antioxidant responses, dysregulated energy metabolism, and alterations in proteins related to cell adhesion, migration, differentiation, and proliferation. The findings of study underscore the urgent need for comprehensive public health interventions among youth by raising awareness, implementing effective smoking cessation programs, and promoting healthy lifestyle to safeguard the well-being of individuals and communities worldwide.</p>","PeriodicalId":10468,"journal":{"name":"Clinical proteomics","volume":"22 1","pages":"2"},"PeriodicalIF":3.3000,"publicationDate":"2025-01-17","publicationTypes":"Journal Article","fieldsOfStudy":null,"isOpenAccess":false,"openAccessPdf":"https://www.ncbi.nlm.nih.gov/pmc/articles/PMC11740365/pdf/","citationCount":"0","resultStr":null,"platform":"Semanticscholar","paperid":null,"PeriodicalName":"Clinical proteomics","FirstCategoryId":"3","ListUrlMain":"https://doi.org/10.1186/s12014-024-09520-6","RegionNum":3,"RegionCategory":"医学","ArticlePicture":[],"TitleCN":null,"AbstractTextCN":null,"PMCID":null,"EPubDate":"","PubModel":"","JCR":"Q2","JCRName":"BIOCHEMICAL RESEARCH METHODS","Score":null,"Total":0}
引用次数: 0

Abstract

Background: Medwakh smoking has radically expanded among youth in the Middle East and around the world. The rising popularity of medwakh/dokha usage is linked to the onset of several chronic illnesses including cardiovascular diseases and cancers. Medwakh smoking is reported to increase the risk of inflammation in the lower respiratory tract owing to oxidative burden. To date, there are no reported studies investigating the impact of medwakh smoking on salivary protein profile. The current study aims to elucidate alterations in the salivary proteome profile of medwakh smokers.

Methods: Saliva samples collected from 33 medwakh smokers and 30 non-smokers were subjected to proteomic analysis using UHPLC-ESI-QTOF-MS. Saliva samples were further subjected to validatory experiments involving analysis of inflammatory cytokine profile using LEGENDplex™ Human Essential Immune Response Panel.

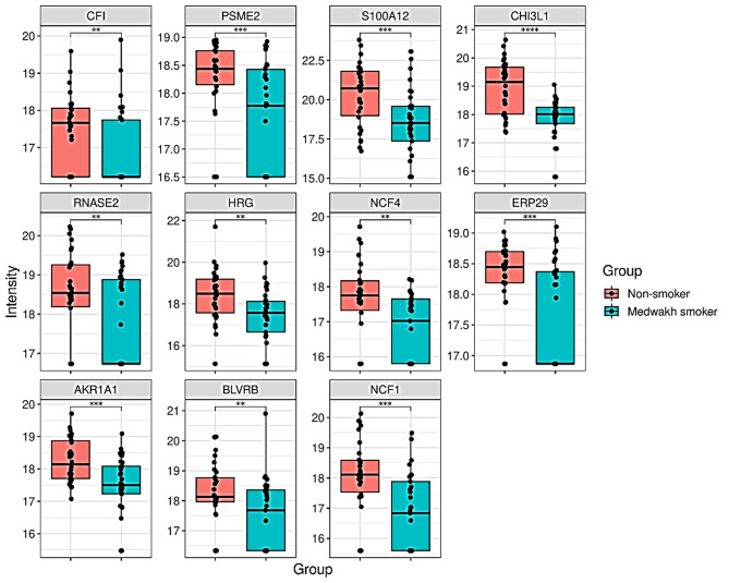
Results: Statistical analysis revealed alterations in the abundance of 74 key proteins including immune mediators and inflammatory markers in medwakh smokers (Accession: PXD045901). Proteins involved in building oxidative stress, alterations in cell anchorage, and cell metabolic processes were enhanced in medwakh smokers. Salivary immune response evaluation further validated the proteome findings, revealing significantly higher levels of IL-1β, IL-12p70, IL-23, IFN-γ (Th1 cytokines), IL-6 (Th2 cytokine), and MCP-1 (chemokine) in medwakh smokers. In addition, a substantial increase in abundance of involucrin suggesting a plausible stratified squamous cell differentiation and increased cell lysis in the oral cavity of medwakh smokers akin to chronic obstructive pulmonary diseases (COPD). The protein-metabolite joint pathway analysis further showed significantly enriched differentially expressed proteins and metabolites of glycolysis/gluconeogenesis, pentose phosphate, fructose and mannose, nicotinate and nicotinamide, and glutathione metabolism pathways among medwakh smokers.

Conclusions: The findings of the study provide valuable insights on potential perturbations in various key immune molecules, cytokines, and signaling pathways among medwakh smokers. Medwakh smokers displayed elevated inflammation, increased oxidative stress and defective antioxidant responses, dysregulated energy metabolism, and alterations in proteins related to cell adhesion, migration, differentiation, and proliferation. The findings of study underscore the urgent need for comprehensive public health interventions among youth by raising awareness, implementing effective smoking cessation programs, and promoting healthy lifestyle to safeguard the well-being of individuals and communities worldwide.

Abstract Image

Abstract Image

Abstract Image

Medwakh吸烟诱导唾液蛋白和细胞因子表达的改变:临床探索性蛋白质组学研究。
背景:在中东和世界各地的年轻人中,吸烟已经从根本上扩大了。medwakh/dokha用法的日益普及与包括心血管疾病和癌症在内的几种慢性疾病的发病有关。据报道,由于氧化负担,吸烟会增加下呼吸道炎症的风险。到目前为止,还没有关于吸烟对唾液蛋白谱影响的研究报道。目前的研究旨在阐明medwake吸烟者唾液蛋白质组谱的变化。方法:采用UHPLC-ESI-QTOF-MS对33名吸烟者和30名非吸烟者的唾液样本进行蛋白质组学分析。唾液样本进一步接受验证性实验,包括使用LEGENDplex™人类基本免疫反应面板分析炎症细胞因子谱。结果:统计分析显示,在medwakh吸烟者中,74种关键蛋白的丰度发生了变化,包括免疫介质和炎症标志物(Accession: PXD045901)。参与构建氧化应激、细胞锚定改变和细胞代谢过程的蛋白质在medwake吸烟者中增强。唾液免疫反应评估进一步证实了蛋白质组学的发现,发现在medwakh吸烟者中IL-1β、IL-12p70、IL-23、IFN-γ (Th1细胞因子)、IL-6 (Th2细胞因子)和MCP-1(趋化因子)水平显著升高。此外,天花素丰度的显著增加表明,与慢性阻塞性肺疾病(COPD)相似,medwake吸烟者的口腔中可能存在分层鳞状细胞分化和细胞溶解增加。蛋白质-代谢物联合通路分析进一步显示,在medwalk吸烟者中,糖酵解/糖异生、戊糖磷酸、果糖和甘露糖、烟酸和烟酰胺以及谷胱甘肽代谢通路的差异表达蛋白和代谢物显著富集。结论:该研究结果为medwake吸烟者中各种关键免疫分子、细胞因子和信号通路的潜在扰动提供了有价值的见解。Medwakh吸烟者表现出炎症升高、氧化应激增加和抗氧化反应缺陷、能量代谢失调以及与细胞粘附、迁移、分化和增殖相关的蛋白质改变。研究结果强调,迫切需要通过提高认识、实施有效的戒烟计划和促进健康的生活方式,对青少年进行全面的公共卫生干预,以保障全世界个人和社区的福祉。
本文章由计算机程序翻译,如有差异,请以英文原文为准。
求助全文
约1分钟内获得全文 求助全文
来源期刊
Clinical proteomics
Clinical proteomics BIOCHEMICAL RESEARCH METHODS-
CiteScore
5.80
自引率
2.60%
发文量
37
审稿时长
17 weeks
期刊介绍: Clinical Proteomics encompasses all aspects of translational proteomics. Special emphasis will be placed on the application of proteomic technology to all aspects of clinical research and molecular medicine. The journal is committed to rapid scientific review and timely publication of submitted manuscripts.
×
引用
GB/T 7714-2015
复制
MLA
复制
APA
复制
导出至
BibTeX EndNote RefMan NoteFirst NoteExpress
×
提示
您的信息不完整,为了账户安全,请先补充。
现在去补充
×
提示
您因"违规操作"
具体请查看互助需知
我知道了
×
提示
确定
请完成安全验证×
copy
已复制链接
快去分享给好友吧!
我知道了
右上角分享
点击右上角分享
0
联系我们:info@booksci.cn Book学术提供免费学术资源搜索服务,方便国内外学者检索中英文文献。致力于提供最便捷和优质的服务体验。 Copyright © 2023 布克学术 All rights reserved.
京ICP备2023020795号-1
ghs 京公网安备 11010802042870号
Book学术文献互助
Book学术文献互助群
群 号:604180095
Book学术官方微信