Treatment of Proximal Humeral Fractures in Older Patients During COVID-19 Pandemic in Germany.

IF 3.2 2区 医学 Q1 PUBLIC, ENVIRONMENTAL & OCCUPATIONAL HEALTH
Clinical Epidemiology Pub Date : 2025-01-17 eCollection Date: 2025-01-01 DOI:10.2147/CLEP.S486852
Julia Sußiek, Jeanette Koeppe, Karen Fischhuber, Janette Iking, Ursula Marschall, Michael J Raschke, J Christoph Katthagen, Josef Stolberg-Stolberg
{"title":"Treatment of Proximal Humeral Fractures in Older Patients During COVID-19 Pandemic in Germany.","authors":"Julia Sußiek, Jeanette Koeppe, Karen Fischhuber, Janette Iking, Ursula Marschall, Michael J Raschke, J Christoph Katthagen, Josef Stolberg-Stolberg","doi":"10.2147/CLEP.S486852","DOIUrl":null,"url":null,"abstract":"<p><strong>Purpose: </strong>The COVID-19 pandemic had a severe influence on the entire health sector. Until today, the effect of a SARS-CoV-2 infection on older patients with a proximal humeral fracture (PHF) is unknown. This study examined the following questions: Did the incidence of PHF of older people in Germany vary during the pandemic? Did the treatment change between the lockdown and non-lockdown periods? Was a SARS-CoV-2 infection associated with a worse outcome?</p><p><strong>Methods: </strong>Retrospective claims data of the BARMER health insurance were analysed. All in- and outpatient cases of insurance holders ≥65 years from 01/2010 to 09/2022, with coded diagnosis of PHF were analysed. Primary endpoints were the 1-month incidence of PHF per 100,000 insurance holders, number of operative therapies, in-hospital death and in-hospital major adverse events (MAEs).</p><p><strong>Results: </strong>174,898 inpatient PHF cases were included. During the lockdown periods, the total incidence fell, while the outpatient incidence partially increased during the pandemic-period. Regarding the therapy allocation, there were no relevant persisting changes. In a detailed analysis of 23,979 PHF cases from 01/2020 to 09/2022, 4.1% patients suffered from a SARS-CoV-2 infection and showed a notably higher in-hospital mortality (8.1% vs 2.5%; risk adjusted OR 2.79, 95% CI 2.11-3.70, p < 0.001) and more MAEs (17.0% vs 7.8%; risk adjusted OR 1.43, 95% CI 1.15-1.77, p < 0.001).</p><p><strong>Conclusion: </strong>During the COVID-19 pandemic, the overall incidence of PHF in older patients was reduced. The treatment allocation did not change between the pre- and intra-pandemic period. An infection with SARS-CoV-2 was associated with higher mortality and more MAEs.</p>","PeriodicalId":10362,"journal":{"name":"Clinical Epidemiology","volume":"17 ","pages":"9-18"},"PeriodicalIF":3.2000,"publicationDate":"2025-01-17","publicationTypes":"Journal Article","fieldsOfStudy":null,"isOpenAccess":false,"openAccessPdf":"https://www.ncbi.nlm.nih.gov/pmc/articles/PMC11748757/pdf/","citationCount":"0","resultStr":null,"platform":"Semanticscholar","paperid":null,"PeriodicalName":"Clinical Epidemiology","FirstCategoryId":"3","ListUrlMain":"https://doi.org/10.2147/CLEP.S486852","RegionNum":2,"RegionCategory":"医学","ArticlePicture":[],"TitleCN":null,"AbstractTextCN":null,"PMCID":null,"EPubDate":"2025/1/1 0:00:00","PubModel":"eCollection","JCR":"Q1","JCRName":"PUBLIC, ENVIRONMENTAL & OCCUPATIONAL HEALTH","Score":null,"Total":0}
引用次数: 0

Abstract

Purpose: The COVID-19 pandemic had a severe influence on the entire health sector. Until today, the effect of a SARS-CoV-2 infection on older patients with a proximal humeral fracture (PHF) is unknown. This study examined the following questions: Did the incidence of PHF of older people in Germany vary during the pandemic? Did the treatment change between the lockdown and non-lockdown periods? Was a SARS-CoV-2 infection associated with a worse outcome?

Methods: Retrospective claims data of the BARMER health insurance were analysed. All in- and outpatient cases of insurance holders ≥65 years from 01/2010 to 09/2022, with coded diagnosis of PHF were analysed. Primary endpoints were the 1-month incidence of PHF per 100,000 insurance holders, number of operative therapies, in-hospital death and in-hospital major adverse events (MAEs).

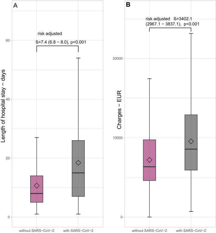
Results: 174,898 inpatient PHF cases were included. During the lockdown periods, the total incidence fell, while the outpatient incidence partially increased during the pandemic-period. Regarding the therapy allocation, there were no relevant persisting changes. In a detailed analysis of 23,979 PHF cases from 01/2020 to 09/2022, 4.1% patients suffered from a SARS-CoV-2 infection and showed a notably higher in-hospital mortality (8.1% vs 2.5%; risk adjusted OR 2.79, 95% CI 2.11-3.70, p < 0.001) and more MAEs (17.0% vs 7.8%; risk adjusted OR 1.43, 95% CI 1.15-1.77, p < 0.001).

Conclusion: During the COVID-19 pandemic, the overall incidence of PHF in older patients was reduced. The treatment allocation did not change between the pre- and intra-pandemic period. An infection with SARS-CoV-2 was associated with higher mortality and more MAEs.

Abstract Image

Abstract Image

Abstract Image

德国COVID-19大流行期间老年患者肱骨近端骨折的治疗
目的:2019冠状病毒病大流行对整个卫生部门产生了严重影响。直到今天,SARS-CoV-2感染对肱骨近端骨折(PHF)的老年患者的影响尚不清楚。这项研究调查了以下问题:在大流行期间,德国老年人的PHF发病率是否有所不同?在封锁和非封锁期间,治疗方法有变化吗?SARS-CoV-2感染是否与较差的结果相关?方法:对BARMER健康保险的回顾性索赔资料进行分析。分析2010年1月至2022年9月,年龄≥65岁的参保人所有编码诊断为PHF的住院和门诊病例。主要终点是每10万名保险持有人1个月PHF发病率、手术治疗次数、院内死亡和院内主要不良事件(MAEs)。结果:共纳入住院PHF患者174,898例。在封锁期间,总发病率下降,而门诊发病率在大流行期间部分上升。关于治疗分配,没有相关的持续性变化。在对2020年1月1日至2022年9月23,979例PHF病例的详细分析中,4.1%的患者感染了SARS-CoV-2,并且住院死亡率明显更高(8.1%对2.5%;风险调整OR 2.79, 95% CI 2.11-3.70, p < 0.001)和更多MAEs (17.0% vs 7.8%;风险校正OR 1.43, 95% CI 1.15-1.77, p < 0.001)。结论:在2019冠状病毒病大流行期间,老年患者PHF的总体发病率有所下降。在大流行前和大流行期间,治疗分配没有变化。SARS-CoV-2感染与更高的死亡率和更多的MAEs相关。
本文章由计算机程序翻译,如有差异,请以英文原文为准。
求助全文
约1分钟内获得全文 求助全文
来源期刊
Clinical Epidemiology
Clinical Epidemiology Medicine-Epidemiology
CiteScore
6.30
自引率
5.10%
发文量
169
审稿时长
16 weeks
期刊介绍: Clinical Epidemiology is an international, peer reviewed, open access journal. Clinical Epidemiology focuses on the application of epidemiological principles and questions relating to patients and clinical care in terms of prevention, diagnosis, prognosis, and treatment. Clinical Epidemiology welcomes papers covering these topics in form of original research and systematic reviews. Clinical Epidemiology has a special interest in international electronic medical patient records and other routine health care data, especially as applied to safety of medical interventions, clinical utility of diagnostic procedures, understanding short- and long-term clinical course of diseases, clinical epidemiological and biostatistical methods, and systematic reviews. When considering submission of a paper utilizing publicly-available data, authors should ensure that such studies add significantly to the body of knowledge and that they use appropriate validated methods for identifying health outcomes. The journal has launched special series describing existing data sources for clinical epidemiology, international health care systems and validation studies of algorithms based on databases and registries.
×
引用
GB/T 7714-2015
复制
MLA
复制
APA
复制
导出至
BibTeX EndNote RefMan NoteFirst NoteExpress
×
提示
您的信息不完整,为了账户安全,请先补充。
现在去补充
×
提示
您因"违规操作"
具体请查看互助需知
我知道了
×
提示
确定
请完成安全验证×
copy
已复制链接
快去分享给好友吧!
我知道了
右上角分享
点击右上角分享
0
联系我们:info@booksci.cn Book学术提供免费学术资源搜索服务,方便国内外学者检索中英文文献。致力于提供最便捷和优质的服务体验。 Copyright © 2023 布克学术 All rights reserved.
京ICP备2023020795号-1
ghs 京公网安备 11010802042870号
Book学术文献互助
Book学术文献互助群
群 号:604180095
Book学术官方微信