miRNAs in Major Depression: Possible Association of miR-17 and miR-92 with Childhood Traumas.

IF 2.7 4区 医学 Q3 NEUROSCIENCES
Clinical Psychopharmacology and Neuroscience Pub Date : 2025-02-28 Epub Date: 2024-11-12 DOI:10.9758/cpn.24.1218
Alper Mert, Bengu Yucens, Ege Riza Karagur, Hakan Akca, Selim Tumkaya, Figen Culha Atesci
{"title":"<i>miRNAs</i> in Major Depression: Possible Association of <i>miR-17</i> and <i>miR-92</i> with Childhood Traumas.","authors":"Alper Mert, Bengu Yucens, Ege Riza Karagur, Hakan Akca, Selim Tumkaya, Figen Culha Atesci","doi":"10.9758/cpn.24.1218","DOIUrl":null,"url":null,"abstract":"<p><strong>Objective: </strong>Psychosocial and genetic factors are considered to play roles in the etiological mechanisms of major depressive disorder (MDD). The involvement of miRNAs in the etiopathogenesis of depression and childhood traumas is still unclear. This study aims to reveal potential differences in miRNA levels between patients with depression and healthy individuals and assess their connection to childhood traumas.</p><p><strong>Methods: </strong>This study included fifty patients with MDD and 33 healthy controls. The targeting of the 3'UTR regions of the <i>BDNF, SLC6A4/SERT/5-HTT, HTR1a</i>, and <i>HTR2a</i> genes by 8 miRNAs was analyzed to explore their potential involvement in depression and childhood traumas. The Hamilton Depression Rating Scale, the Hamilton Anxiety Rating Scale, and the Childhood Trauma Questionnaire-28 were administered to the participants.</p><p><strong>Results: </strong>Patients with MDD exhibited significantly lower expression levels of miR-335 and miR-4775, as well as significantly higher expression levels of miR-15, miR-16, miR-17, miR-92, miR-182, and miR-206, when compared to healthy controls using the 2<sup>-(ΔΔCt)</sup> method. Only miR-17 and miR-92 were associated with childhood traumas in the patients with depression.</p><p><strong>Conclusion: </strong>Our research reveals a possible involvement of miRNAs in the pathophysiology of depression and highlights a potential relationship between childhood traumas and specific miRNAs in depressed patients.</p>","PeriodicalId":10420,"journal":{"name":"Clinical Psychopharmacology and Neuroscience","volume":"23 1","pages":"133-143"},"PeriodicalIF":2.7000,"publicationDate":"2025-02-28","publicationTypes":"Journal Article","fieldsOfStudy":null,"isOpenAccess":false,"openAccessPdf":"https://www.ncbi.nlm.nih.gov/pmc/articles/PMC11747731/pdf/","citationCount":"0","resultStr":null,"platform":"Semanticscholar","paperid":null,"PeriodicalName":"Clinical Psychopharmacology and Neuroscience","FirstCategoryId":"3","ListUrlMain":"https://doi.org/10.9758/cpn.24.1218","RegionNum":4,"RegionCategory":"医学","ArticlePicture":[],"TitleCN":null,"AbstractTextCN":null,"PMCID":null,"EPubDate":"2024/11/12 0:00:00","PubModel":"Epub","JCR":"Q3","JCRName":"NEUROSCIENCES","Score":null,"Total":0}
引用次数: 0

Abstract

Objective: Psychosocial and genetic factors are considered to play roles in the etiological mechanisms of major depressive disorder (MDD). The involvement of miRNAs in the etiopathogenesis of depression and childhood traumas is still unclear. This study aims to reveal potential differences in miRNA levels between patients with depression and healthy individuals and assess their connection to childhood traumas.

Methods: This study included fifty patients with MDD and 33 healthy controls. The targeting of the 3'UTR regions of the BDNF, SLC6A4/SERT/5-HTT, HTR1a, and HTR2a genes by 8 miRNAs was analyzed to explore their potential involvement in depression and childhood traumas. The Hamilton Depression Rating Scale, the Hamilton Anxiety Rating Scale, and the Childhood Trauma Questionnaire-28 were administered to the participants.

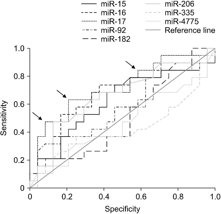
Results: Patients with MDD exhibited significantly lower expression levels of miR-335 and miR-4775, as well as significantly higher expression levels of miR-15, miR-16, miR-17, miR-92, miR-182, and miR-206, when compared to healthy controls using the 2-(ΔΔCt) method. Only miR-17 and miR-92 were associated with childhood traumas in the patients with depression.

Conclusion: Our research reveals a possible involvement of miRNAs in the pathophysiology of depression and highlights a potential relationship between childhood traumas and specific miRNAs in depressed patients.

Abstract Image

Abstract Image

Abstract Image

重度抑郁症中的mirna: miR-17和miR-92与儿童创伤的可能关联
目的:社会心理和遗传因素被认为在重度抑郁症(MDD)的病因机制中起作用。mirna在抑郁症和儿童创伤的发病机制中的作用尚不清楚。本研究旨在揭示抑郁症患者和健康个体之间miRNA水平的潜在差异,并评估其与童年创伤的联系。方法:本研究纳入50例重度抑郁症患者和33例健康对照。我们分析了8个mirna对BDNF、SLC6A4/SERT/5-HTT、HTR1a和HTR2a基因的3'UTR区域的靶向作用,以探索它们在抑郁症和儿童创伤中的潜在作用。采用汉密尔顿抑郁评定量表、汉密尔顿焦虑评定量表和童年创伤问卷。结果:使用2-(ΔΔCt)方法,与健康对照组相比,MDD患者miR-335和miR-4775的表达水平显著降低,miR-15、miR-16、miR-17、miR-92、miR-182和miR-206的表达水平显著升高。只有miR-17和miR-92与抑郁症患者的童年创伤相关。结论:我们的研究揭示了mirna可能参与抑郁症的病理生理,并强调了抑郁症患者童年创伤与特定mirna之间的潜在关系。
本文章由计算机程序翻译,如有差异,请以英文原文为准。
求助全文
约1分钟内获得全文 求助全文
来源期刊
Clinical Psychopharmacology and Neuroscience
Clinical Psychopharmacology and Neuroscience NEUROSCIENCESPHARMACOLOGY & PHARMACY-PHARMACOLOGY & PHARMACY
CiteScore
4.70
自引率
12.50%
发文量
81
期刊介绍: Clinical Psychopharmacology and Neuroscience (Clin Psychopharmacol Neurosci) launched in 2003, is the official journal of The Korean College of Neuropsychopharmacology (KCNP), and the associate journal for Asian College of Neuropsychopharmacology (AsCNP). This journal aims to publish evidence-based, scientifically written articles related to clinical and preclinical studies in the field of psychopharmacology and neuroscience. This journal intends to foster and encourage communications between psychiatrist, neuroscientist and all related experts in Asia as well as worldwide. It is published four times a year at the last day of February, May, August, and November.
×
引用
GB/T 7714-2015
复制
MLA
复制
APA
复制
导出至
BibTeX EndNote RefMan NoteFirst NoteExpress
×
提示
您的信息不完整,为了账户安全,请先补充。
现在去补充
×
提示
您因"违规操作"
具体请查看互助需知
我知道了
×
提示
确定
请完成安全验证×
copy
已复制链接
快去分享给好友吧!
我知道了
右上角分享
点击右上角分享
0
联系我们:info@booksci.cn Book学术提供免费学术资源搜索服务,方便国内外学者检索中英文文献。致力于提供最便捷和优质的服务体验。 Copyright © 2023 布克学术 All rights reserved.
京ICP备2023020795号-1
ghs 京公网安备 11010802042870号
Book学术文献互助
Book学术文献互助群
群 号:604180095
Book学术官方微信