Cardiovascular safety of 5-fluorouracil and capecitabine in colorectal cancer patients: real-world evidence.

IF 3.2 Q2 CARDIAC & CARDIOVASCULAR SYSTEMS
Chun-Ka Wong, Isaac Ho, Ali Choo, Rachel Lau, Ting-Fung Ma, Alston Conrad Ho-On Chiu, Tsun-Ho Lam, Minqing Lin, Ricky Wang-Hei Leung, Frankie Chor-Cheung Tam, Dominic Chi Chung Foo, Hung-Fat Tse
{"title":"Cardiovascular safety of 5-fluorouracil and capecitabine in colorectal cancer patients: real-world evidence.","authors":"Chun-Ka Wong, Isaac Ho, Ali Choo, Rachel Lau, Ting-Fung Ma, Alston Conrad Ho-On Chiu, Tsun-Ho Lam, Minqing Lin, Ricky Wang-Hei Leung, Frankie Chor-Cheung Tam, Dominic Chi Chung Foo, Hung-Fat Tse","doi":"10.1186/s40959-024-00294-2","DOIUrl":null,"url":null,"abstract":"<p><strong>Background: </strong>Fluoropyrimidines, including 5-fluorouracil and capecitabine, are the most common chemotherapeutic agents for colorectal carcinoma. Although previous studies have suggested varying degrees of cardiotoxicity with these drugs, there is a notable lack of large-scale investigations with appropriate control groups. This study aimed to evaluate cardiovascular outcome among colorectal carcinoma patients treated with fluoropyrimidines.</p><p><strong>Methods: </strong>A retrospective propensity score- matched cohort study was conducted in patients diagnosed with colorectal carcinoma between January 1, 1993 and December 31, 2021 at public hospitals in Hong Kong. Cardiovascular outcomes in patients prescribed fluoropyrimidines were compared with controls. Further analyses to compare 5-fluroracil and capecitabine were performed.</p><p><strong>Results: </strong>A total of 51,888 colorectal carcinoma patients were identified. After 1:1 propensity score matching, 21,216 patients were included in the final analysis, with 10,608 patients in each group. 1.06% patients experienced a major adverse cardiovascular event (MACE) at 1 year. There was no significant difference in MACE risk between the two groups (HR 0.91, 95% confidence interval (95%CI): 0.70-1.18, p = 0.46). Risk of cardiovascular death was similar between the two groups (HR 1.05, 95%CI: 0.69-1.60, p = 0.82). Subgroup analysis did not demonstrate a statistically significant elevated risk of MACE during fluoropyrimidine use in high-risk patient groups. Further comparison of 5-fluorouracil and capecitabine did not reveal a difference in MACE (0.80% vs. 0.98%; HR 1.09, 95%CI: 0.64-1.85, p < 0.75).</p><p><strong>Conclusion: </strong>Fluoropyrimidine use in patients with colorectal carcinoma did not increase the risk of MACE, cardiovascular death, or other specific cardiovascular conditions. There was no significant difference in cardiovascular risk between 5-fluorouracil and capecitabine.</p>","PeriodicalId":9804,"journal":{"name":"Cardio-oncology","volume":"11 1","pages":"3"},"PeriodicalIF":3.2000,"publicationDate":"2025-01-15","publicationTypes":"Journal Article","fieldsOfStudy":null,"isOpenAccess":false,"openAccessPdf":"https://www.ncbi.nlm.nih.gov/pmc/articles/PMC11734475/pdf/","citationCount":"0","resultStr":null,"platform":"Semanticscholar","paperid":null,"PeriodicalName":"Cardio-oncology","FirstCategoryId":"1085","ListUrlMain":"https://doi.org/10.1186/s40959-024-00294-2","RegionNum":0,"RegionCategory":null,"ArticlePicture":[],"TitleCN":null,"AbstractTextCN":null,"PMCID":null,"EPubDate":"","PubModel":"","JCR":"Q2","JCRName":"CARDIAC & CARDIOVASCULAR SYSTEMS","Score":null,"Total":0}
引用次数: 0

Abstract

Background: Fluoropyrimidines, including 5-fluorouracil and capecitabine, are the most common chemotherapeutic agents for colorectal carcinoma. Although previous studies have suggested varying degrees of cardiotoxicity with these drugs, there is a notable lack of large-scale investigations with appropriate control groups. This study aimed to evaluate cardiovascular outcome among colorectal carcinoma patients treated with fluoropyrimidines.

Methods: A retrospective propensity score- matched cohort study was conducted in patients diagnosed with colorectal carcinoma between January 1, 1993 and December 31, 2021 at public hospitals in Hong Kong. Cardiovascular outcomes in patients prescribed fluoropyrimidines were compared with controls. Further analyses to compare 5-fluroracil and capecitabine were performed.

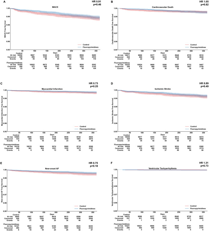
Results: A total of 51,888 colorectal carcinoma patients were identified. After 1:1 propensity score matching, 21,216 patients were included in the final analysis, with 10,608 patients in each group. 1.06% patients experienced a major adverse cardiovascular event (MACE) at 1 year. There was no significant difference in MACE risk between the two groups (HR 0.91, 95% confidence interval (95%CI): 0.70-1.18, p = 0.46). Risk of cardiovascular death was similar between the two groups (HR 1.05, 95%CI: 0.69-1.60, p = 0.82). Subgroup analysis did not demonstrate a statistically significant elevated risk of MACE during fluoropyrimidine use in high-risk patient groups. Further comparison of 5-fluorouracil and capecitabine did not reveal a difference in MACE (0.80% vs. 0.98%; HR 1.09, 95%CI: 0.64-1.85, p < 0.75).

Conclusion: Fluoropyrimidine use in patients with colorectal carcinoma did not increase the risk of MACE, cardiovascular death, or other specific cardiovascular conditions. There was no significant difference in cardiovascular risk between 5-fluorouracil and capecitabine.

Abstract Image

Abstract Image

Abstract Image

5-氟尿嘧啶和卡培他滨在结直肠癌患者中的心血管安全性:真实世界证据。
背景:包括5-氟尿嘧啶和卡培他滨在内的氟嘧啶类药物是结直肠癌最常用的化疗药物。尽管先前的研究表明这些药物具有不同程度的心脏毒性,但明显缺乏适当对照组的大规模调查。本研究旨在评价氟嘧啶治疗的结直肠癌患者的心血管预后。方法:对1993年1月1日至2021年12月31日在香港公立医院诊断为结直肠癌的患者进行回顾性倾向评分匹配队列研究。用氟嘧啶治疗的患者与对照组比较心血管预后。进一步分析比较5-氟尿嘧啶和卡培他滨。结果:共发现51888例结直肠癌患者。经1:1倾向评分匹配,最终纳入21216例患者,每组10608例。1.06%的患者在1年内发生了重大心血管不良事件(MACE)。两组间MACE风险差异无统计学意义(HR 0.91, 95%可信区间(95% ci): 0.70 ~ 1.18, p = 0.46)。两组的心血管死亡风险相似(HR 1.05, 95%CI: 0.69-1.60, p = 0.82)。亚组分析未显示在高危患者组中氟嘧啶使用期间MACE风险显著升高。5-氟尿嘧啶和卡培他滨的进一步比较没有显示MACE的差异(0.80% vs 0.98%;结论:结直肠癌患者使用氟嘧啶不会增加MACE、心血管死亡或其他特定心血管疾病的风险。5-氟尿嘧啶和卡培他滨在心血管风险方面无显著差异。
本文章由计算机程序翻译,如有差异,请以英文原文为准。
求助全文
约1分钟内获得全文 求助全文
来源期刊
Cardio-oncology
Cardio-oncology Medicine-Cardiology and Cardiovascular Medicine
CiteScore
5.00
自引率
3.00%
发文量
17
审稿时长
7 weeks
×
引用
GB/T 7714-2015
复制
MLA
复制
APA
复制
导出至
BibTeX EndNote RefMan NoteFirst NoteExpress
×
提示
您的信息不完整,为了账户安全,请先补充。
现在去补充
×
提示
您因"违规操作"
具体请查看互助需知
我知道了
×
提示
确定
请完成安全验证×
copy
已复制链接
快去分享给好友吧!
我知道了
右上角分享
点击右上角分享
0
联系我们:info@booksci.cn Book学术提供免费学术资源搜索服务,方便国内外学者检索中英文文献。致力于提供最便捷和优质的服务体验。 Copyright © 2023 布克学术 All rights reserved.
京ICP备2023020795号-1
ghs 京公网安备 11010802042870号
Book学术文献互助
Book学术文献互助群
群 号:604180095
Book学术官方微信