A rare case of CD38-negative abdominal multiple extramedullary plasmacytoma and literature review

IF 0.9 Q4 HEMATOLOGY
XS Bao, DH Gong, KG Zhou, W Huang
{"title":"A rare case of CD38-negative abdominal multiple extramedullary plasmacytoma and literature review","authors":"XS Bao,&nbsp;DH Gong,&nbsp;KG Zhou,&nbsp;W Huang","doi":"10.1016/j.lrr.2024.100493","DOIUrl":null,"url":null,"abstract":"<div><div>Abdominal multiple extramedullary plasmacytoma (EMP) is a rare disease. CD38-negative relapsed/refractory EMP after treatment with daratumumab has never been reported. In 2020, a patient with jaundice was diagnosed with plasmacytoma in another hospital, which progressed one year after receiving multiline therapy. In July 2021, he was admitted to our hospital and showed CD38-pogative plasmacytoma. The patient received 2 cycles of treatment including daratumumab, venetoclax and DCEP chemotherapy and achieved partial remission. However, he developed ascites and eventually died. Our case indicated that multiple EMP has much lower incidence and far worse prognosis than solitary EMP.</div></div>","PeriodicalId":38435,"journal":{"name":"Leukemia Research Reports","volume":"23 ","pages":"Article 100493"},"PeriodicalIF":0.9000,"publicationDate":"2025-01-01","publicationTypes":"Journal Article","fieldsOfStudy":null,"isOpenAccess":false,"openAccessPdf":"https://www.ncbi.nlm.nih.gov/pmc/articles/PMC11731487/pdf/","citationCount":"0","resultStr":null,"platform":"Semanticscholar","paperid":null,"PeriodicalName":"Leukemia Research Reports","FirstCategoryId":"1085","ListUrlMain":"https://www.sciencedirect.com/science/article/pii/S2213048924000839","RegionNum":0,"RegionCategory":null,"ArticlePicture":[],"TitleCN":null,"AbstractTextCN":null,"PMCID":null,"EPubDate":"","PubModel":"","JCR":"Q4","JCRName":"HEMATOLOGY","Score":null,"Total":0}
引用次数: 0

Abstract

Abdominal multiple extramedullary plasmacytoma (EMP) is a rare disease. CD38-negative relapsed/refractory EMP after treatment with daratumumab has never been reported. In 2020, a patient with jaundice was diagnosed with plasmacytoma in another hospital, which progressed one year after receiving multiline therapy. In July 2021, he was admitted to our hospital and showed CD38-pogative plasmacytoma. The patient received 2 cycles of treatment including daratumumab, venetoclax and DCEP chemotherapy and achieved partial remission. However, he developed ascites and eventually died. Our case indicated that multiple EMP has much lower incidence and far worse prognosis than solitary EMP.

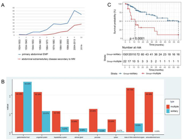
Abstract Image

Abstract Image

cd38阴性腹腔多发髓外浆细胞瘤1例并文献复习。
摘要腹腔多发髓外浆细胞瘤是一种罕见的疾病。经达拉单抗治疗后cd38阴性的复发/难治性EMP从未报道过。2020年,一名黄疸患者在另一家医院被诊断为浆细胞瘤,在接受多线治疗一年后病情恶化。2021年7月入院,cd38阳性浆细胞瘤。患者接受达拉单抗、venetoclax和DCEP化疗2个周期治疗,部分缓解。然而,他患上了腹水,最终死亡。我们的病例显示多发性EMP的发生率比单发EMP低得多,预后也差得多。
本文章由计算机程序翻译,如有差异,请以英文原文为准。
求助全文
约1分钟内获得全文 求助全文
来源期刊
Leukemia Research Reports
Leukemia Research Reports Medicine-Oncology
CiteScore
1.70
自引率
0.00%
发文量
70
审稿时长
23 weeks
×
引用
GB/T 7714-2015
复制
MLA
复制
APA
复制
导出至
BibTeX EndNote RefMan NoteFirst NoteExpress
×
提示
您的信息不完整,为了账户安全,请先补充。
现在去补充
×
提示
您因"违规操作"
具体请查看互助需知
我知道了
×
提示
确定
请完成安全验证×
copy
已复制链接
快去分享给好友吧!
我知道了
右上角分享
点击右上角分享
0
联系我们:info@booksci.cn Book学术提供免费学术资源搜索服务,方便国内外学者检索中英文文献。致力于提供最便捷和优质的服务体验。 Copyright © 2023 布克学术 All rights reserved.
京ICP备2023020795号-1
ghs 京公网安备 11010802042870号
Book学术文献互助
Book学术文献互助群
群 号:604180095
Book学术官方微信