Ratio of Skeletal Muscle Mass to Visceral Fat Area Is a Useful Marker for Assessing Left Ventricular Diastolic Dysfunction among Koreans with Preserved Ejection Fraction: An Analysis of the Random Forest Model.

IF 7.9 Q1 ENDOCRINOLOGY & METABOLISM
Journal of Obesity & Metabolic Syndrome Pub Date : 2025-01-30 Epub Date: 2025-01-14 DOI:10.7570/jomes24027
Jin Kyung Oh, Yuri Seo, Wonmook Hwang, Sami Lee, Yong-Hoon Yoon, Kyupil Kim, Hyun Woong Park, Jae-Hyung Roh, Jae-Hwan Lee, Minsu Kim
{"title":"Ratio of Skeletal Muscle Mass to Visceral Fat Area Is a Useful Marker for Assessing Left Ventricular Diastolic Dysfunction among Koreans with Preserved Ejection Fraction: An Analysis of the Random Forest Model.","authors":"Jin Kyung Oh, Yuri Seo, Wonmook Hwang, Sami Lee, Yong-Hoon Yoon, Kyupil Kim, Hyun Woong Park, Jae-Hyung Roh, Jae-Hwan Lee, Minsu Kim","doi":"10.7570/jomes24027","DOIUrl":null,"url":null,"abstract":"<p><strong>Background: </strong>Although the presence of both obesity and reduced muscle mass presents a dual metabolic burden and additively has a negative effect on a variety of cardiometabolic parameters, data regarding the associations between their combined effects and left ventricular diastolic function are limited. This study investigated the association between the ratio of skeletal muscle mass to visceral fat area (SVR) and left ventricular diastolic dysfunction (LVDD) in patients with preserved ejection fraction using random forest machine learning.</p><p><strong>Methods: </strong>In total, 1,070 participants with preserved left ventricular ejection fraction who underwent comprehensive health examinations, including transthoracic echocardiography and bioimpedance body composition analysis, were enrolled. SVR was calculated as an index of sarcopenic obesity by dividing the appendicular skeletal muscle mass by the visceral fat area.</p><p><strong>Results: </strong>In the random forest model, age and SVR were the most powerful predictors of LVDD. Multivariate logistic regression analysis demonstrated that older age (adjusted odds ratio [OR], 1.11; 95% confidence interval [CI], 1.07 to 1.15) and lower SVR (adjusted OR, 0.08; 95% CI, 0.01 to 0.57) were independent risk factors for LVDD. SVR showed a significant improvement in predictive performance and fair predictability for LVDD, with the highest area under the curve noted in both men and women, with statistical significance. In non-obese and metabolically healthy individuals, the lowest SVR tertile was associated with a greater risk of LVDD compared to the highest SVR tertile.</p><p><strong>Conclusion: </strong>Decreased muscle mass and increased visceral fat were significantly associated with LVDD compared to obesity, body fat composition, and body muscle composition indices.</p>","PeriodicalId":45386,"journal":{"name":"Journal of Obesity & Metabolic Syndrome","volume":" ","pages":"54-64"},"PeriodicalIF":7.9000,"publicationDate":"2025-01-30","publicationTypes":"Journal Article","fieldsOfStudy":null,"isOpenAccess":false,"openAccessPdf":"https://www.ncbi.nlm.nih.gov/pmc/articles/PMC11799598/pdf/","citationCount":"0","resultStr":null,"platform":"Semanticscholar","paperid":null,"PeriodicalName":"Journal of Obesity & Metabolic Syndrome","FirstCategoryId":"1085","ListUrlMain":"https://doi.org/10.7570/jomes24027","RegionNum":0,"RegionCategory":null,"ArticlePicture":[],"TitleCN":null,"AbstractTextCN":null,"PMCID":null,"EPubDate":"2025/1/14 0:00:00","PubModel":"Epub","JCR":"Q1","JCRName":"ENDOCRINOLOGY & METABOLISM","Score":null,"Total":0}
引用次数: 0

Abstract

Background: Although the presence of both obesity and reduced muscle mass presents a dual metabolic burden and additively has a negative effect on a variety of cardiometabolic parameters, data regarding the associations between their combined effects and left ventricular diastolic function are limited. This study investigated the association between the ratio of skeletal muscle mass to visceral fat area (SVR) and left ventricular diastolic dysfunction (LVDD) in patients with preserved ejection fraction using random forest machine learning.

Methods: In total, 1,070 participants with preserved left ventricular ejection fraction who underwent comprehensive health examinations, including transthoracic echocardiography and bioimpedance body composition analysis, were enrolled. SVR was calculated as an index of sarcopenic obesity by dividing the appendicular skeletal muscle mass by the visceral fat area.

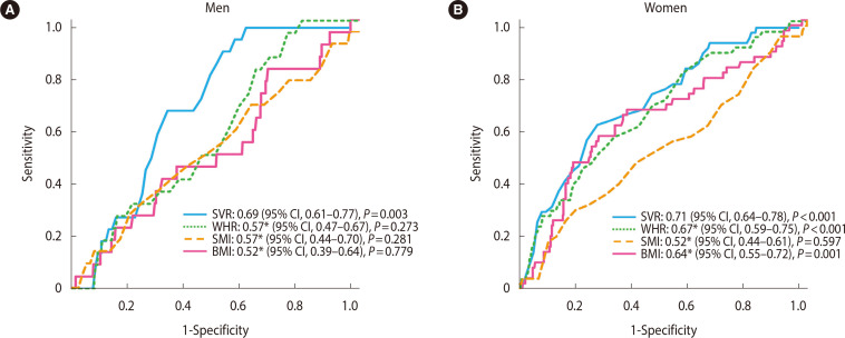
Results: In the random forest model, age and SVR were the most powerful predictors of LVDD. Multivariate logistic regression analysis demonstrated that older age (adjusted odds ratio [OR], 1.11; 95% confidence interval [CI], 1.07 to 1.15) and lower SVR (adjusted OR, 0.08; 95% CI, 0.01 to 0.57) were independent risk factors for LVDD. SVR showed a significant improvement in predictive performance and fair predictability for LVDD, with the highest area under the curve noted in both men and women, with statistical significance. In non-obese and metabolically healthy individuals, the lowest SVR tertile was associated with a greater risk of LVDD compared to the highest SVR tertile.

Conclusion: Decreased muscle mass and increased visceral fat were significantly associated with LVDD compared to obesity, body fat composition, and body muscle composition indices.

Abstract Image

Abstract Image

Abstract Image

骨骼肌质量与内脏脂肪面积之比是评估韩国人左心室舒张功能障碍的有用标记:随机森林模型的分析。
背景:虽然肥胖和肌肉量减少会带来双重代谢负担,并对多种心脏代谢参数产生负面影响,但关于它们的综合影响与左心室舒张功能之间的关联的数据有限。本研究利用随机森林机器学习研究了保留射血分数的患者骨骼肌质量与内脏脂肪面积之比(SVR)与左室舒张功能障碍(LVDD)之间的关系。方法:共纳入1070名左心室射血分数保存完好的参与者,他们接受了全面的健康检查,包括经胸超声心动图和生物阻抗体成分分析。SVR作为肌肉减少型肥胖的指标,通过将阑尾骨骼肌质量除以内脏脂肪面积来计算。结果:在随机森林模型中,年龄和SVR是LVDD最有效的预测因子。多因素logistic回归分析显示,老年人(校正优势比[OR], 1.11;95%置信区间[CI], 1.07至1.15)和较低的SVR(调整OR, 0.08;95% CI(0.01 ~ 0.57)是LVDD的独立危险因素。SVR在LVDD的预测性能和公平可预测性方面有显著改善,男性和女性的曲线下面积最高,具有统计学意义。在非肥胖和代谢健康的个体中,与SVR最高的个体相比,SVR最低的个体发生LVDD的风险更高。结论:与肥胖、体脂组成和体肌组成指标相比,肌肉质量下降和内脏脂肪增加与LVDD有显著相关性。
本文章由计算机程序翻译,如有差异,请以英文原文为准。
求助全文
约1分钟内获得全文 求助全文
来源期刊
Journal of Obesity & Metabolic Syndrome
Journal of Obesity & Metabolic Syndrome ENDOCRINOLOGY & METABOLISM-
CiteScore
8.30
自引率
9.60%
发文量
39
审稿时长
19 weeks
期刊介绍: The journal was launched in 1992 and diverse studies on obesity have been published under the title of Journal of Korean Society for the Study of Obesity until 2004. Since 2017, volume 26, the title is now the Journal of Obesity & Metabolic Syndrome (pISSN 2508-6235, eISSN 2508-7576). The journal is published quarterly on March 30th, June 30th, September 30th and December 30th. The official title of the journal is now "Journal of Obesity & Metabolic Syndrome" and the abbreviated title is "J Obes Metab Syndr". Index words from medical subject headings (MeSH) list of Index Medicus are included in each article to facilitate article search. Some or all of the articles of this journal are included in the index of PubMed, PubMed Central, Scopus, Embase, DOAJ, Ebsco, KCI, KoreaMed, KoMCI, Science Central, Crossref Metadata Search, Google Scholar, and Emerging Sources Citation Index (ESCI).
×
引用
GB/T 7714-2015
复制
MLA
复制
APA
复制
导出至
BibTeX EndNote RefMan NoteFirst NoteExpress
×
提示
您的信息不完整,为了账户安全,请先补充。
现在去补充
×
提示
您因"违规操作"
具体请查看互助需知
我知道了
×
提示
确定
请完成安全验证×
copy
已复制链接
快去分享给好友吧!
我知道了
右上角分享
点击右上角分享
0
联系我们:info@booksci.cn Book学术提供免费学术资源搜索服务,方便国内外学者检索中英文文献。致力于提供最便捷和优质的服务体验。 Copyright © 2023 布克学术 All rights reserved.
京ICP备2023020795号-1
ghs 京公网安备 11010802042870号
Book学术文献互助
Book学术文献互助群
群 号:604180095
Book学术官方微信