Identifying Cladribine prescription pattern in MS: an Italian multicentre study.

IF 4.1 2区 医学 Q1 CLINICAL NEUROLOGY
Therapeutic Advances in Neurological Disorders Pub Date : 2025-01-08 eCollection Date: 2025-01-01 DOI:10.1177/17562864241304212
Aurora Zanghì, Roberta Fantozzi, Matteo Foschi, Elisabetta Signoriello, Matilde Inglese, Giacomo Lus, Diego Centonze, Andrea Surcinelli, Tommaso Sirito, Simona Bonavita, Carlo Avolio, Emanuele D'Amico
{"title":"Identifying Cladribine prescription pattern in MS: an Italian multicentre study.","authors":"Aurora Zanghì, Roberta Fantozzi, Matteo Foschi, Elisabetta Signoriello, Matilde Inglese, Giacomo Lus, Diego Centonze, Andrea Surcinelli, Tommaso Sirito, Simona Bonavita, Carlo Avolio, Emanuele D'Amico","doi":"10.1177/17562864241304212","DOIUrl":null,"url":null,"abstract":"<p><strong>Background: </strong>Characterizing Cladribine tablets prescription pattern in daily clinical practice is crucial for optimizing multiple sclerosis (MS) treatment.</p><p><strong>Objectives: </strong>To describe efficacy, safety profile and new disease-modifying therapy (DMT) prescriptions following Cladribine treatment.</p><p><strong>Design: </strong>Independent retrospective cohort study in patients followed at six Italian MS centres.</p><p><strong>Methods: </strong>Patients diagnosed with relapsing MS (RMS) according to 2017 McDonald criteria, who initiated Cladribine between January 2019 and May 2023, were included. A generalized linear regression model was built for the outcome DMT after Cladribine course. Heatmaps were generated based on weighted pivot tables to visualize the proportion of patients requiring DMT post-Cladribine.</p><p><strong>Results: </strong>A total cohort of 352 patients was enrolled, 134 naïve to any DMT, 218 switchers from other DMTs. The last DMT was an injectable first-line DMT for 48 (22%) patients, oral first-line DMT for 141 (64.7%) patients, SP1 inhibitor-Fingolimod for 23 (10.6%) patients, and Natalizumab for 6 (2.7%) patients. Overall, Cladribine was efficacious and well tolerated, 12% of patients required a new DMT prescription after a median time of 24 months. The regression model revealed that patients aged >40 years at Cladribine prescription had a 16% decrease in likelihood of receiving a new DMT. Heatmaps showed patients previously on Fingolimod had a lower rate (72.2%) of being free from therapy after Cladribine.</p><p><strong>Conclusion: </strong>In our multicentric real-world Italian study, Cladribine therapy is generally effective during the investigated follow-up period. Understanding key characteristics of patients responding best to Cladribine can help tailor therapeutic strategies for optimal outcomes.</p>","PeriodicalId":22980,"journal":{"name":"Therapeutic Advances in Neurological Disorders","volume":"18 ","pages":"17562864241304212"},"PeriodicalIF":4.1000,"publicationDate":"2025-01-08","publicationTypes":"Journal Article","fieldsOfStudy":null,"isOpenAccess":false,"openAccessPdf":"https://www.ncbi.nlm.nih.gov/pmc/articles/PMC11713966/pdf/","citationCount":"0","resultStr":null,"platform":"Semanticscholar","paperid":null,"PeriodicalName":"Therapeutic Advances in Neurological Disorders","FirstCategoryId":"3","ListUrlMain":"https://doi.org/10.1177/17562864241304212","RegionNum":2,"RegionCategory":"医学","ArticlePicture":[],"TitleCN":null,"AbstractTextCN":null,"PMCID":null,"EPubDate":"2025/1/1 0:00:00","PubModel":"eCollection","JCR":"Q1","JCRName":"CLINICAL NEUROLOGY","Score":null,"Total":0}
引用次数: 0

Abstract

Background: Characterizing Cladribine tablets prescription pattern in daily clinical practice is crucial for optimizing multiple sclerosis (MS) treatment.

Objectives: To describe efficacy, safety profile and new disease-modifying therapy (DMT) prescriptions following Cladribine treatment.

Design: Independent retrospective cohort study in patients followed at six Italian MS centres.

Methods: Patients diagnosed with relapsing MS (RMS) according to 2017 McDonald criteria, who initiated Cladribine between January 2019 and May 2023, were included. A generalized linear regression model was built for the outcome DMT after Cladribine course. Heatmaps were generated based on weighted pivot tables to visualize the proportion of patients requiring DMT post-Cladribine.

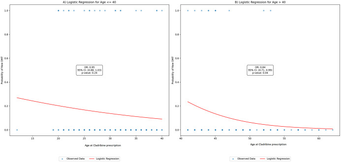
Results: A total cohort of 352 patients was enrolled, 134 naïve to any DMT, 218 switchers from other DMTs. The last DMT was an injectable first-line DMT for 48 (22%) patients, oral first-line DMT for 141 (64.7%) patients, SP1 inhibitor-Fingolimod for 23 (10.6%) patients, and Natalizumab for 6 (2.7%) patients. Overall, Cladribine was efficacious and well tolerated, 12% of patients required a new DMT prescription after a median time of 24 months. The regression model revealed that patients aged >40 years at Cladribine prescription had a 16% decrease in likelihood of receiving a new DMT. Heatmaps showed patients previously on Fingolimod had a lower rate (72.2%) of being free from therapy after Cladribine.

Conclusion: In our multicentric real-world Italian study, Cladribine therapy is generally effective during the investigated follow-up period. Understanding key characteristics of patients responding best to Cladribine can help tailor therapeutic strategies for optimal outcomes.

Abstract Image

Abstract Image

Abstract Image

鉴别克拉宾在多发性硬化症中的处方模式:一项意大利多中心研究。
背景:在日常临床实践中确定克拉德滨片的处方模式对优化多发性硬化症(MS)的治疗至关重要。目的:描述克拉德里滨治疗后的疗效、安全性和新的疾病改善治疗(DMT)处方。设计:对意大利6个多发性硬化症中心的患者进行独立回顾性队列研究。方法:纳入2019年1月至2023年5月期间开始使用Cladribine的2017年McDonald标准诊断为复发性MS (RMS)的患者。建立克拉宾疗程后DMT预后的广义线性回归模型。根据加权数据透视表生成热图,以可视化克拉德里滨后需要DMT的患者比例。结果:共纳入352例患者,134例naïve接受任何DMT, 218例从其他DMT切换。最后的DMT是48例(22%)患者的可注射一线DMT, 141例(64.7%)患者的口服一线DMT, 23例(10.6%)患者的SP1抑制剂- fingolimod和6例(2.7%)患者的Natalizumab。总体而言,Cladribine有效且耐受性良好,12%的患者在中位时间24个月后需要新的DMT处方。回归模型显示,使用Cladribine处方的bb0 ~ 40岁患者接受新的DMT的可能性降低了16%。热图显示,先前接受芬戈莫德治疗的患者在接受克拉德滨治疗后的康复率较低(72.2%)。结论:在我们意大利的多中心真实世界研究中,克拉德滨治疗在随访期间普遍有效。了解对克拉德滨反应最好的患者的关键特征可以帮助定制治疗策略以获得最佳结果。
本文章由计算机程序翻译,如有差异,请以英文原文为准。
求助全文
约1分钟内获得全文 求助全文
来源期刊
CiteScore
8.30
自引率
1.70%
发文量
62
审稿时长
15 weeks
期刊介绍: Therapeutic Advances in Neurological Disorders is a peer-reviewed, open access journal delivering the highest quality articles, reviews, and scholarly comment on pioneering efforts and innovative studies across all areas of neurology. The journal has a strong clinical and pharmacological focus and is aimed at clinicians and researchers in neurology, providing a forum in print and online for publishing the highest quality articles in this area.
×
引用
GB/T 7714-2015
复制
MLA
复制
APA
复制
导出至
BibTeX EndNote RefMan NoteFirst NoteExpress
×
提示
您的信息不完整,为了账户安全,请先补充。
现在去补充
×
提示
您因"违规操作"
具体请查看互助需知
我知道了
×
提示
确定
请完成安全验证×
copy
已复制链接
快去分享给好友吧!
我知道了
右上角分享
点击右上角分享
0
联系我们:info@booksci.cn Book学术提供免费学术资源搜索服务,方便国内外学者检索中英文文献。致力于提供最便捷和优质的服务体验。 Copyright © 2023 布克学术 All rights reserved.
京ICP备2023020795号-1
ghs 京公网安备 11010802042870号
Book学术文献互助
Book学术文献互助群
群 号:604180095
Book学术官方微信