The genome of the sapphire damselfish Chrysiptera cyanea: a new resource to support further investigation of the evolution of Pomacentrids.

IF 1.2
GigaByte (Hong Kong, China) Pub Date : 2024-12-31 eCollection Date: 2024-01-01 DOI:10.46471/gigabyte.144
Emma Gairin, Saori Miura, Hiroki Takamiyagi, Marcela Herrera, Vincent Laudet
{"title":"The genome of the sapphire damselfish <i>Chrysiptera cyanea</i>: a new resource to support further investigation of the evolution of Pomacentrids.","authors":"Emma Gairin, Saori Miura, Hiroki Takamiyagi, Marcela Herrera, Vincent Laudet","doi":"10.46471/gigabyte.144","DOIUrl":null,"url":null,"abstract":"<p><p>The number of high-quality genomes is rapidly increasing across taxa. However, it remains limited for coral reef fish of the Pomacentrid family, with most research focused on anemonefish. Here, we present the first assembly for a Pomacentrid of the genus <i>Chrysiptera</i>. Using PacBio long-read sequencing with 94.5× coverage, the genome of the Sapphire Devil, <i>Chrysiptera cyanea</i>, was assembled and annotated. The final assembly comprises 896 Mb pairs across 91 contigs, with a BUSCO completeness of 97.6%, and 28,173 genes. Comparative analyses with chromosome-scale assemblies of related species identified contig-chromosome correspondences. This genome will be useful as a comparison to study specific adaptations linked to the symbiotic life of closely related anemonefish. Furthermore, <i>C. cyanea</i> is found in most tropical coastal areas of the Indo-West Pacific and could become a model for environmental monitoring. This work will expand coral reef research efforts, highlighting the power of long-read assemblies to retrieve high quality genomes.</p>","PeriodicalId":73157,"journal":{"name":"GigaByte (Hong Kong, China)","volume":"2024 ","pages":"gigabyte144"},"PeriodicalIF":1.2000,"publicationDate":"2024-12-31","publicationTypes":"Journal Article","fieldsOfStudy":null,"isOpenAccess":false,"openAccessPdf":"https://www.ncbi.nlm.nih.gov/pmc/articles/PMC11711634/pdf/","citationCount":"0","resultStr":null,"platform":"Semanticscholar","paperid":null,"PeriodicalName":"GigaByte (Hong Kong, China)","FirstCategoryId":"1085","ListUrlMain":"https://doi.org/10.46471/gigabyte.144","RegionNum":0,"RegionCategory":null,"ArticlePicture":[],"TitleCN":null,"AbstractTextCN":null,"PMCID":null,"EPubDate":"2024/1/1 0:00:00","PubModel":"eCollection","JCR":"","JCRName":"","Score":null,"Total":0}
引用次数: 0

Abstract

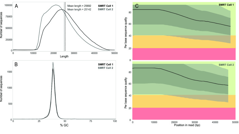
The number of high-quality genomes is rapidly increasing across taxa. However, it remains limited for coral reef fish of the Pomacentrid family, with most research focused on anemonefish. Here, we present the first assembly for a Pomacentrid of the genus Chrysiptera. Using PacBio long-read sequencing with 94.5× coverage, the genome of the Sapphire Devil, Chrysiptera cyanea, was assembled and annotated. The final assembly comprises 896 Mb pairs across 91 contigs, with a BUSCO completeness of 97.6%, and 28,173 genes. Comparative analyses with chromosome-scale assemblies of related species identified contig-chromosome correspondences. This genome will be useful as a comparison to study specific adaptations linked to the symbiotic life of closely related anemonefish. Furthermore, C. cyanea is found in most tropical coastal areas of the Indo-West Pacific and could become a model for environmental monitoring. This work will expand coral reef research efforts, highlighting the power of long-read assemblies to retrieve high quality genomes.

Abstract Image

Abstract Image

Abstract Image

蓝宝石雀鲷Chrysiptera cyanea的基因组:支持进一步研究Pomacentrids进化的新资源。
高质量基因组的数量在整个分类群中迅速增加。然而,它仍然局限于Pomacentrid家族的珊瑚礁鱼,大多数研究都集中在海葵鱼上。在这里,我们提出了第一个聚类的Pomacentrid属Chrysiptera。采用94.5×覆盖的PacBio长读测序技术,对蓝藻(Chrysiptera cyanea)的基因组进行了组装和注释。最终的组装包括896 Mb对,横跨91个contigs, BUSCO完整性为97.6%,28,173个基因。与近缘物种的染色体尺度组合进行比较分析,鉴定出了连续染色体对应关系。该基因组将有助于研究与密切相关的海葵鱼共生生活相关的特定适应性。此外,蓝藻在印度-西太平洋的大多数热带沿海地区都有发现,可以成为环境监测的模型。这项工作将扩大珊瑚礁的研究工作,突出长读汇编检索高质量基因组的能力。
本文章由计算机程序翻译,如有差异,请以英文原文为准。
求助全文
约1分钟内获得全文 求助全文
来源期刊
CiteScore
2.60
自引率
0.00%
发文量
0
审稿时长
5 weeks
×
引用
GB/T 7714-2015
复制
MLA
复制
APA
复制
导出至
BibTeX EndNote RefMan NoteFirst NoteExpress
×
提示
您的信息不完整,为了账户安全,请先补充。
现在去补充
×
提示
您因"违规操作"
具体请查看互助需知
我知道了
×
提示
确定
请完成安全验证×
copy
已复制链接
快去分享给好友吧!
我知道了
右上角分享
点击右上角分享
0
联系我们:info@booksci.cn Book学术提供免费学术资源搜索服务,方便国内外学者检索中英文文献。致力于提供最便捷和优质的服务体验。 Copyright © 2023 布克学术 All rights reserved.
京ICP备2023020795号-1
ghs 京公网安备 11010802042870号
Book学术文献互助
Book学术文献互助群
群 号:604180095
Book学术官方微信