A mixed-methods study comparing human-led and ChatGPT-driven qualitative analysis in medical education research.

IF 0.9 4区 医学 Q4 MEDICINE, RESEARCH & EXPERIMENTAL
Takeshi Kondo, Junichiro Miyachi, Anders Jönsson, Hiroshi Nishigori
{"title":"A mixed-methods study comparing human-led and ChatGPT-driven qualitative analysis in medical education research.","authors":"Takeshi Kondo, Junichiro Miyachi, Anders Jönsson, Hiroshi Nishigori","doi":"10.18999/nagjms.86.4.620","DOIUrl":null,"url":null,"abstract":"<p><p>Qualitative research, used to analyse non-numerical data including interview texts, is crucial in understanding medical education processes. However, it is often complex and time-consuming, leading to an interest in technology for streamlining the analysis. This study investigated the applicability of ChatGPT, a large language model, in thematic analysis for medical qualitative research. Previous research has used ChatGPT to explore the deductive process as a qualitative study. This study evaluated thematic analysis including the inductive process by ChatGPT with reference to human qualitative analysis. A convergent design mixed-methods study was used. Using a thematic analysis approach, ChatGPT (model: GPT-4) analysed some interview data from a previously published medical research article. The assessors evaluated the qualitative analysis of ChatGPT using human qualitative analysis as a benchmark. Three assessors compared the human-conducted and ChatGPT-driven qualitative analyses. ChatGPT scored higher in most aspects but showed variable transferability and mixed depth scores. In the integrated analysis including qualitative data, six themes were identified: superficial similarity of results with human analysis, good first impression, explicit association with data and process, contamination by directions in prompts, deficiency of thick descriptions based on context and research questions, and lack of theoretical derivation. ChatGPT excels at extracting key data points and summarising information; however, it is prone to prompt contamination, which necessitates careful scrutiny. To achieve deeper analysis, it is essential to supplement the research context with human input and explore the theoretical framework.</p>","PeriodicalId":49014,"journal":{"name":"Nagoya Journal of Medical Science","volume":"86 4","pages":"620-644"},"PeriodicalIF":0.9000,"publicationDate":"2024-11-01","publicationTypes":"Journal Article","fieldsOfStudy":null,"isOpenAccess":false,"openAccessPdf":"https://www.ncbi.nlm.nih.gov/pmc/articles/PMC11704766/pdf/","citationCount":"0","resultStr":null,"platform":"Semanticscholar","paperid":null,"PeriodicalName":"Nagoya Journal of Medical Science","FirstCategoryId":"3","ListUrlMain":"https://doi.org/10.18999/nagjms.86.4.620","RegionNum":4,"RegionCategory":"医学","ArticlePicture":[],"TitleCN":null,"AbstractTextCN":null,"PMCID":null,"EPubDate":"","PubModel":"","JCR":"Q4","JCRName":"MEDICINE, RESEARCH & EXPERIMENTAL","Score":null,"Total":0}
引用次数: 0

Abstract

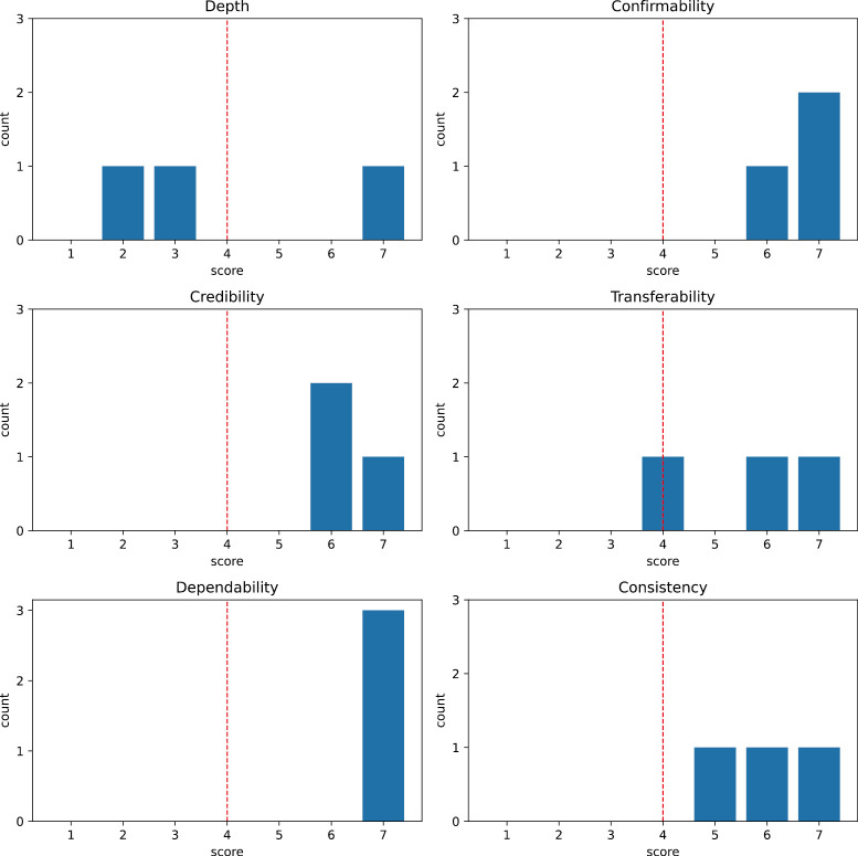
Qualitative research, used to analyse non-numerical data including interview texts, is crucial in understanding medical education processes. However, it is often complex and time-consuming, leading to an interest in technology for streamlining the analysis. This study investigated the applicability of ChatGPT, a large language model, in thematic analysis for medical qualitative research. Previous research has used ChatGPT to explore the deductive process as a qualitative study. This study evaluated thematic analysis including the inductive process by ChatGPT with reference to human qualitative analysis. A convergent design mixed-methods study was used. Using a thematic analysis approach, ChatGPT (model: GPT-4) analysed some interview data from a previously published medical research article. The assessors evaluated the qualitative analysis of ChatGPT using human qualitative analysis as a benchmark. Three assessors compared the human-conducted and ChatGPT-driven qualitative analyses. ChatGPT scored higher in most aspects but showed variable transferability and mixed depth scores. In the integrated analysis including qualitative data, six themes were identified: superficial similarity of results with human analysis, good first impression, explicit association with data and process, contamination by directions in prompts, deficiency of thick descriptions based on context and research questions, and lack of theoretical derivation. ChatGPT excels at extracting key data points and summarising information; however, it is prone to prompt contamination, which necessitates careful scrutiny. To achieve deeper analysis, it is essential to supplement the research context with human input and explore the theoretical framework.

Abstract Image

Abstract Image

Abstract Image

在医学教育研究中比较人类主导和chatgpt驱动的定性分析的混合方法研究。
定性研究用于分析包括访谈文本在内的非数值数据,对于理解医学教育过程至关重要。然而,它通常是复杂和耗时的,导致人们对简化分析的技术感兴趣。本研究考察了ChatGPT这一大型语言模型在医学定性研究专题分析中的适用性。以往的研究使用ChatGPT作为一种定性研究来探索演绎过程。本研究参照人的定性分析方法,对包括归纳过程在内的主题分析进行了评价。采用收敛设计混合方法研究。ChatGPT(模型:GPT-4)采用主题分析方法,分析了先前发表的一篇医学研究文章中的一些访谈数据。评估人员使用人类定性分析作为基准来评估ChatGPT的定性分析。三名评估人员比较了人工进行的和chatgpt驱动的定性分析。ChatGPT在大多数方面得分较高,但表现出可变的可转移性和混合深度得分。在包括定性数据在内的综合分析中,确定了六个主题:结果与人类分析的表面相似性,良好的第一印象,与数据和过程的明确关联,提示中的指示污染,缺乏基于上下文和研究问题的厚描述,以及缺乏理论推导。ChatGPT擅长提取关键数据点和汇总信息;然而,它很容易被污染,这需要仔细检查。为了进行更深入的分析,有必要用人的输入来补充研究背景,并探索理论框架。
本文章由计算机程序翻译,如有差异,请以英文原文为准。
求助全文
约1分钟内获得全文 求助全文
来源期刊
Nagoya Journal of Medical Science
Nagoya Journal of Medical Science MEDICINE, RESEARCH & EXPERIMENTAL-
CiteScore
1.30
自引率
0.00%
发文量
65
审稿时长
>12 weeks
期刊介绍: The Journal publishes original papers in the areas of medical science and its related fields. Reviews, symposium reports, short communications, notes, case reports, hypothesis papers, medical image at a glance, video and announcements are also accepted. Manuscripts should be in English. It is recommended that an English check of the manuscript by a competent and knowledgeable native speaker be completed before submission.
×
引用
GB/T 7714-2015
复制
MLA
复制
APA
复制
导出至
BibTeX EndNote RefMan NoteFirst NoteExpress
×
提示
您的信息不完整,为了账户安全,请先补充。
现在去补充
×
提示
您因"违规操作"
具体请查看互助需知
我知道了
×
提示
确定
请完成安全验证×
copy
已复制链接
快去分享给好友吧!
我知道了
右上角分享
点击右上角分享
0
联系我们:info@booksci.cn Book学术提供免费学术资源搜索服务,方便国内外学者检索中英文文献。致力于提供最便捷和优质的服务体验。 Copyright © 2023 布克学术 All rights reserved.
京ICP备2023020795号-1
ghs 京公网安备 11010802042870号
Book学术文献互助
Book学术文献互助群
群 号:604180095
Book学术官方微信