The characteristics of Korean elderly multiple myeloma patients aged 80 years or over.

IF 2.4 4区 医学 Q2 MEDICINE, GENERAL & INTERNAL
Sang Hwan Lee, Hee-Jeong Cho, Joon Ho Moon, Ji Yoon Jung, Min Kyoung Kim, Mi Hwa Heo, Young Rok Do, Yunhwi Hwang, Sung Hwa Bae
{"title":"The characteristics of Korean elderly multiple myeloma patients aged 80 years or over.","authors":"Sang Hwan Lee, Hee-Jeong Cho, Joon Ho Moon, Ji Yoon Jung, Min Kyoung Kim, Mi Hwa Heo, Young Rok Do, Yunhwi Hwang, Sung Hwa Bae","doi":"10.3904/kjim.2024.041","DOIUrl":null,"url":null,"abstract":"<p><strong>Background/aims: </strong>Multiple myeloma (MM) predominantly affects elderly individuals, but studies on older patients with MM are limited. The clinical characteristics and survival outcomes of patients with MM aged 80 years or over were retrospectively analyzed.</p><p><strong>Methods: </strong>This retrospective multicenter study was conducted to investigate the clinical characteristics, treatment patterns, and survival outcomes of patients aged 80 years or over who were newly diagnosed with MM at five academic hospitals in Daegu, Korea, between 2010 and 2019.</p><p><strong>Results: </strong>A total of 127 patients with a median age of 83 years (range, 80-93 yr) were enrolled: 52 (40.9%) with Eastern Cooperative Oncology Group Performance Status (ECOG PS) > 2, 84 (66.1%) with International Staging System (ISS) stage III disease, and 93 (73.2%) with a Charlson comorbidity index (CCI) > 4. Chemotherapy was administered to 86 patients (67.7%). The median overall survival was 9.3 months. Overall survival was significantly associated with ECOG PS > 2 (HR 2.26, 95% CI 1.43-3.59), ISS stage III (HR 1.99, 95% CI 1.18-3.34), and chemotherapy (HR 0.34, 95% CI 0.21-0.55). There was no statistically significant difference in event-free survival according to the type of anti-myeloma chemotherapy administered. The early mortality (EM) rate was 28.3%.</p><p><strong>Conclusion: </strong>Even in patients with MM aged 80 years or over, chemotherapy can result in better survival outcomes than supportive care. Patients aged ≥ 80 years should not be excluded from chemotherapy based on age alone. However, reducing EM in elderly patients with newly diagnosed MM remains challenging.</p>","PeriodicalId":48785,"journal":{"name":"Korean Journal of Internal Medicine","volume":"40 1","pages":"115-123"},"PeriodicalIF":2.4000,"publicationDate":"2025-01-01","publicationTypes":"Journal Article","fieldsOfStudy":null,"isOpenAccess":false,"openAccessPdf":"https://www.ncbi.nlm.nih.gov/pmc/articles/PMC11725474/pdf/","citationCount":"0","resultStr":null,"platform":"Semanticscholar","paperid":null,"PeriodicalName":"Korean Journal of Internal Medicine","FirstCategoryId":"3","ListUrlMain":"https://doi.org/10.3904/kjim.2024.041","RegionNum":4,"RegionCategory":"医学","ArticlePicture":[],"TitleCN":null,"AbstractTextCN":null,"PMCID":null,"EPubDate":"","PubModel":"","JCR":"Q2","JCRName":"MEDICINE, GENERAL & INTERNAL","Score":null,"Total":0}
引用次数: 0

Abstract

Background/aims: Multiple myeloma (MM) predominantly affects elderly individuals, but studies on older patients with MM are limited. The clinical characteristics and survival outcomes of patients with MM aged 80 years or over were retrospectively analyzed.

Methods: This retrospective multicenter study was conducted to investigate the clinical characteristics, treatment patterns, and survival outcomes of patients aged 80 years or over who were newly diagnosed with MM at five academic hospitals in Daegu, Korea, between 2010 and 2019.

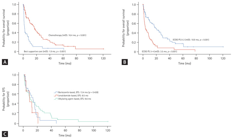
Results: A total of 127 patients with a median age of 83 years (range, 80-93 yr) were enrolled: 52 (40.9%) with Eastern Cooperative Oncology Group Performance Status (ECOG PS) > 2, 84 (66.1%) with International Staging System (ISS) stage III disease, and 93 (73.2%) with a Charlson comorbidity index (CCI) > 4. Chemotherapy was administered to 86 patients (67.7%). The median overall survival was 9.3 months. Overall survival was significantly associated with ECOG PS > 2 (HR 2.26, 95% CI 1.43-3.59), ISS stage III (HR 1.99, 95% CI 1.18-3.34), and chemotherapy (HR 0.34, 95% CI 0.21-0.55). There was no statistically significant difference in event-free survival according to the type of anti-myeloma chemotherapy administered. The early mortality (EM) rate was 28.3%.

Conclusion: Even in patients with MM aged 80 years or over, chemotherapy can result in better survival outcomes than supportive care. Patients aged ≥ 80 years should not be excluded from chemotherapy based on age alone. However, reducing EM in elderly patients with newly diagnosed MM remains challenging.

Abstract Image

Abstract Image

80岁及以上韩国老年多发性骨髓瘤患者的特点。
背景/目的:多发性骨髓瘤(MM)主要影响老年人,但对老年骨髓瘤患者的研究有限。回顾性分析80岁及以上MM患者的临床特点及生存结局。方法:本回顾性多中心研究旨在调查2010年至2019年韩国大邱五所学术医院80岁及以上新诊断为MM的患者的临床特征、治疗模式和生存结局。结果:共纳入127例患者,中位年龄83岁(范围80-93岁):Eastern Cooperative Oncology Group Performance Status (ECOG PS)患者52例(40.9%),国际分期系统(ISS) III期患者84例(66.1%),Charlson共病指数(CCI)患者93例(73.2%)。化疗86例(67.7%)。中位总生存期为9.3个月。总生存率与ECOG PS bbb2 (HR 2.26, 95% CI 1.43-3.59)、ISS III期(HR 1.99, 95% CI 1.18-3.34)和化疗(HR 0.34, 95% CI 0.21-0.55)显著相关。根据抗骨髓瘤化疗的类型,无事件生存率没有统计学上的显著差异。早期死亡率为28.3%。结论:即使在80岁或以上的MM患者中,化疗也能获得比支持治疗更好的生存结果。年龄≥80岁的患者不应仅因年龄而排除化疗。然而,降低新诊断的老年MM患者的EM仍然具有挑战性。
本文章由计算机程序翻译,如有差异,请以英文原文为准。
求助全文
约1分钟内获得全文 求助全文
来源期刊
Korean Journal of Internal Medicine
Korean Journal of Internal Medicine MEDICINE, GENERAL & INTERNAL-
CiteScore
5.10
自引率
4.20%
发文量
129
审稿时长
20 weeks
期刊介绍: The Korean Journal of Internal Medicine is an international medical journal published in English by the Korean Association of Internal Medicine. The Journal publishes peer-reviewed original articles, reviews, and editorials on all aspects of medicine, including clinical investigations and basic research. Both human and experimental animal studies are welcome, as are new findings on the epidemiology, pathogenesis, diagnosis, and treatment of diseases. Case reports will be published only in exceptional circumstances, when they illustrate a rare occurrence of clinical importance. Letters to the editor are encouraged for specific comments on published articles and general viewpoints.
×
引用
GB/T 7714-2015
复制
MLA
复制
APA
复制
导出至
BibTeX EndNote RefMan NoteFirst NoteExpress
×
提示
您的信息不完整,为了账户安全,请先补充。
现在去补充
×
提示
您因"违规操作"
具体请查看互助需知
我知道了
×
提示
确定
请完成安全验证×
copy
已复制链接
快去分享给好友吧!
我知道了
右上角分享
点击右上角分享
0
联系我们:info@booksci.cn Book学术提供免费学术资源搜索服务,方便国内外学者检索中英文文献。致力于提供最便捷和优质的服务体验。 Copyright © 2023 布克学术 All rights reserved.
京ICP备2023020795号-1
ghs 京公网安备 11010802042870号
Book学术文献互助
Book学术文献互助群
群 号:604180095
Book学术官方微信