Reduced-intensity chemotherapy with tyrosine kinase inhibitor followed by allogeneic transplantation is effective in patients with Philadelphia chromosome-positive acute lymphoblastic leukemia.

IF 2.4 4区 医学 Q2 MEDICINE, GENERAL & INTERNAL
Jung Min Lee, Do Young Kim, Hee Jeong Cho, Joon Ho Moon, Sang Kyun Sohn, Ho Jin Shin, Young Rok Do, Mi Hwa Heo, Min Kyoung Kim, Young Seob Park, Dong Won Baek
{"title":"Reduced-intensity chemotherapy with tyrosine kinase inhibitor followed by allogeneic transplantation is effective in patients with Philadelphia chromosome-positive acute lymphoblastic leukemia.","authors":"Jung Min Lee, Do Young Kim, Hee Jeong Cho, Joon Ho Moon, Sang Kyun Sohn, Ho Jin Shin, Young Rok Do, Mi Hwa Heo, Min Kyoung Kim, Young Seob Park, Dong Won Baek","doi":"10.3904/kjim.2024.227","DOIUrl":null,"url":null,"abstract":"<p><strong>Background/aims: </strong>To determine the effectiveness of tyrosine kinase inhibitor (TKI) plus reduced-intensity therapy in adult patients with newly diagnosed Philadelphia chromosome-positive acute lymphoblastic leukemia (Ph-positive ALL), this retrospective study compared treatment outcomes and induction mortality according to backbone regimen intensity.</p><p><strong>Methods: </strong>The data of 132 patients diagnosed with Ph-positive ALL were retrospectively collected from five centers. Patients received imatinib plus intensive chemotherapy (modified VPD, KALLA1407, or hyper-CVAD) or reduced-intensity chemotherapy (EWALL) for curative purposes. This study analyzed 117 patients, of which 35,22,46, and 14 received modified VPD, KALLA1407, hyper-CVAD, and EWALL, respectively. All patients used imatinib as a TKI.</p><p><strong>Results: </strong>The median age of the patients who received reduced-intensity chemotherapy was 64.4 years, while that of the patients with intensive regimens was 47.5 years. There was no induction death in the reduced-intensity group, while nine patients died in the intensive therapy group. Major molecular response achievement tended to be higher in the intensive chemotherapy group than in the reduced-intensity group. More patients in the intensive chemotherapy group received allogeneic stem cell transplantation (allo-SCT). There was no statistically significant difference in long-term survival between the two groups in terms of relapse-free survival and overall survival rates.</p><p><strong>Conclusion: </strong>When imatinib plus reduced-intensity therapy was used as a frontline treatment, there was no inferiority in obtaining complete remission compared to imatinib plus intensive chemotherapy or significant difference in long-term survival. Since imatinib plus reduced-intensity therapy has limitations in obtaining a deep molecular response, proceeding to allo-SCT should be considered.</p>","PeriodicalId":48785,"journal":{"name":"Korean Journal of Internal Medicine","volume":"40 1","pages":"124-134"},"PeriodicalIF":2.4000,"publicationDate":"2025-01-01","publicationTypes":"Journal Article","fieldsOfStudy":null,"isOpenAccess":false,"openAccessPdf":"https://www.ncbi.nlm.nih.gov/pmc/articles/PMC11725475/pdf/","citationCount":"0","resultStr":null,"platform":"Semanticscholar","paperid":null,"PeriodicalName":"Korean Journal of Internal Medicine","FirstCategoryId":"3","ListUrlMain":"https://doi.org/10.3904/kjim.2024.227","RegionNum":4,"RegionCategory":"医学","ArticlePicture":[],"TitleCN":null,"AbstractTextCN":null,"PMCID":null,"EPubDate":"","PubModel":"","JCR":"Q2","JCRName":"MEDICINE, GENERAL & INTERNAL","Score":null,"Total":0}
引用次数: 0

Abstract

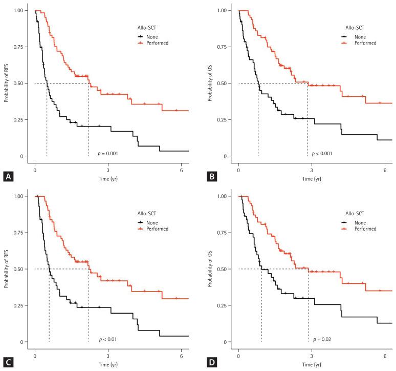
Background/aims: To determine the effectiveness of tyrosine kinase inhibitor (TKI) plus reduced-intensity therapy in adult patients with newly diagnosed Philadelphia chromosome-positive acute lymphoblastic leukemia (Ph-positive ALL), this retrospective study compared treatment outcomes and induction mortality according to backbone regimen intensity.

Methods: The data of 132 patients diagnosed with Ph-positive ALL were retrospectively collected from five centers. Patients received imatinib plus intensive chemotherapy (modified VPD, KALLA1407, or hyper-CVAD) or reduced-intensity chemotherapy (EWALL) for curative purposes. This study analyzed 117 patients, of which 35,22,46, and 14 received modified VPD, KALLA1407, hyper-CVAD, and EWALL, respectively. All patients used imatinib as a TKI.

Results: The median age of the patients who received reduced-intensity chemotherapy was 64.4 years, while that of the patients with intensive regimens was 47.5 years. There was no induction death in the reduced-intensity group, while nine patients died in the intensive therapy group. Major molecular response achievement tended to be higher in the intensive chemotherapy group than in the reduced-intensity group. More patients in the intensive chemotherapy group received allogeneic stem cell transplantation (allo-SCT). There was no statistically significant difference in long-term survival between the two groups in terms of relapse-free survival and overall survival rates.

Conclusion: When imatinib plus reduced-intensity therapy was used as a frontline treatment, there was no inferiority in obtaining complete remission compared to imatinib plus intensive chemotherapy or significant difference in long-term survival. Since imatinib plus reduced-intensity therapy has limitations in obtaining a deep molecular response, proceeding to allo-SCT should be considered.

Abstract Image

Abstract Image

Abstract Image

在费城染色体阳性急性淋巴细胞白血病患者中,酪氨酸激酶抑制剂配合同种异体移植降低化疗强度是有效的。
背景/目的:为了确定酪氨酸激酶抑制剂(TKI)加低强度治疗对新诊断费城染色体阳性急性淋巴细胞白血病(ph阳性ALL)成年患者的有效性,本回顾性研究根据主干方案强度比较了治疗结果和诱导死亡率。方法:回顾性收集来自5个中心的132例诊断为ph阳性ALL患者的资料。患者接受伊马替尼加强化化疗(改良VPD、KALLA1407或超cvad)或降低强度化疗(EWALL)以达到治疗目的。本研究分析了117例患者,其中35例、22例、46例和14例分别接受了改良VPD、KALLA1407、hyper-CVAD和EWALL。所有患者均使用伊马替尼作为TKI。结果:接受低强度化疗的患者中位年龄为64.4岁,接受强化化疗的患者中位年龄为47.5岁。降低治疗强度组无诱导死亡,强化治疗组有9例死亡。强化化疗组的主要分子反应成功率高于降低化疗强度组。强化化疗组更多患者接受同种异体干细胞移植(allo-SCT)。两组患者的无复发生存率和总生存率在长期生存率方面无统计学差异。结论:伊马替尼加低强度治疗作为一线治疗,与伊马替尼加强化化疗相比,在获得完全缓解方面没有劣势,在长期生存方面也没有显著差异。由于伊马替尼加低强度治疗在获得深层分子反应方面存在局限性,因此应考虑进行同种异体细胞移植。
本文章由计算机程序翻译,如有差异,请以英文原文为准。
求助全文
约1分钟内获得全文 求助全文
来源期刊
Korean Journal of Internal Medicine
Korean Journal of Internal Medicine MEDICINE, GENERAL & INTERNAL-
CiteScore
5.10
自引率
4.20%
发文量
129
审稿时长
20 weeks
期刊介绍: The Korean Journal of Internal Medicine is an international medical journal published in English by the Korean Association of Internal Medicine. The Journal publishes peer-reviewed original articles, reviews, and editorials on all aspects of medicine, including clinical investigations and basic research. Both human and experimental animal studies are welcome, as are new findings on the epidemiology, pathogenesis, diagnosis, and treatment of diseases. Case reports will be published only in exceptional circumstances, when they illustrate a rare occurrence of clinical importance. Letters to the editor are encouraged for specific comments on published articles and general viewpoints.
×
引用
GB/T 7714-2015
复制
MLA
复制
APA
复制
导出至
BibTeX EndNote RefMan NoteFirst NoteExpress
×
提示
您的信息不完整,为了账户安全,请先补充。
现在去补充
×
提示
您因"违规操作"
具体请查看互助需知
我知道了
×
提示
确定
请完成安全验证×
copy
已复制链接
快去分享给好友吧!
我知道了
右上角分享
点击右上角分享
0
联系我们:info@booksci.cn Book学术提供免费学术资源搜索服务,方便国内外学者检索中英文文献。致力于提供最便捷和优质的服务体验。 Copyright © 2023 布克学术 All rights reserved.
京ICP备2023020795号-1
ghs 京公网安备 11010802042870号
Book学术文献互助
Book学术文献互助群
群 号:604180095
Book学术官方微信