Changes in breast cancer risk associated with benign breast disease from 1967 to 2013.

IF 4.1 Q2 ONCOLOGY
Amy C Degnim, Karthik Ghosh, Robert A Vierkant, Stacey J Winham, Tanya L Hoskin, Jodi M Carter, Bryan M McCauley, Matt R Jensen, Teresa Allers, Marlene Frost, Denice L Gehling, Jessica L Fischer, Lisa R Seymour, Laura M Pacheco-Spann, Philip S Rosenberg, Lori A Denison, Celine M Vachon, Lynn C Hartmann, Derek C Radisky, Mark E Sherman
{"title":"Changes in breast cancer risk associated with benign breast disease from 1967 to 2013.","authors":"Amy C Degnim, Karthik Ghosh, Robert A Vierkant, Stacey J Winham, Tanya L Hoskin, Jodi M Carter, Bryan M McCauley, Matt R Jensen, Teresa Allers, Marlene Frost, Denice L Gehling, Jessica L Fischer, Lisa R Seymour, Laura M Pacheco-Spann, Philip S Rosenberg, Lori A Denison, Celine M Vachon, Lynn C Hartmann, Derek C Radisky, Mark E Sherman","doi":"10.1093/jncics/pkae128","DOIUrl":null,"url":null,"abstract":"<p><strong>Background: </strong>Benign breast disease (BBD) increases breast cancer (BC) risk progressively for women diagnosed with nonproliferative change, proliferative disease without atypia (PDWA), and atypical hyperplasia (AH). Leveraging data from 18 704 women in the Mayo BBD Cohort (1967-2013), we evaluated temporal trends in BBD diagnoses and how they have influenced associated BC risk over 4 decades.</p><p><strong>Methods: </strong>BC risk trends associated with BBD were evaluated using standardized incidence ratios (SIRs) and age-period-cohort modeling across 4 eras-premammogram (1967-1981), precore needle biopsy (CNB) (1982-1992), transition to CNB (1993-2001), and CNB era (2002-2013).</p><p><strong>Results: </strong>With a median follow-up of 15.8 years, 9.9% of women were diagnosed with BC (invasive and/or DCIS). From the premammogram era to the CNB era, we observed a significant increase in BC risk, rising from an SIR of 1.61 to 1.99. The proportion of proliferative BBD diagnoses (PDWA or AH) increased markedly over time (28.1%-49.7%), as did the proportion of DCIS events (11%-28%; χ2  P < .001). Within specific BBD categories, the risk of invasive BC increased modestly.</p><p><strong>Conclusions: </strong>Absolute risk of BC within BBD categories remained stable, but the relative risk of BC after BBD increased over time due to notable increases in higher risk BBD lesions, specifically PDWA and AH. These findings illustrate how evolving screening practices have changed the risk profile of BBD and should inform management strategies for patients with BBD in modern clinical settings.</p>","PeriodicalId":14681,"journal":{"name":"JNCI Cancer Spectrum","volume":" ","pages":""},"PeriodicalIF":4.1000,"publicationDate":"2025-01-03","publicationTypes":"Journal Article","fieldsOfStudy":null,"isOpenAccess":false,"openAccessPdf":"https://www.ncbi.nlm.nih.gov/pmc/articles/PMC11770946/pdf/","citationCount":"0","resultStr":null,"platform":"Semanticscholar","paperid":null,"PeriodicalName":"JNCI Cancer Spectrum","FirstCategoryId":"1085","ListUrlMain":"https://doi.org/10.1093/jncics/pkae128","RegionNum":0,"RegionCategory":null,"ArticlePicture":[],"TitleCN":null,"AbstractTextCN":null,"PMCID":null,"EPubDate":"","PubModel":"","JCR":"Q2","JCRName":"ONCOLOGY","Score":null,"Total":0}
引用次数: 0

Abstract

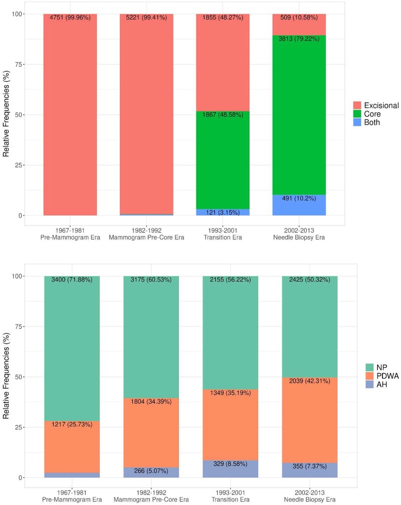
Background: Benign breast disease (BBD) increases breast cancer (BC) risk progressively for women diagnosed with nonproliferative change, proliferative disease without atypia (PDWA), and atypical hyperplasia (AH). Leveraging data from 18 704 women in the Mayo BBD Cohort (1967-2013), we evaluated temporal trends in BBD diagnoses and how they have influenced associated BC risk over 4 decades.

Methods: BC risk trends associated with BBD were evaluated using standardized incidence ratios (SIRs) and age-period-cohort modeling across 4 eras-premammogram (1967-1981), precore needle biopsy (CNB) (1982-1992), transition to CNB (1993-2001), and CNB era (2002-2013).

Results: With a median follow-up of 15.8 years, 9.9% of women were diagnosed with BC (invasive and/or DCIS). From the premammogram era to the CNB era, we observed a significant increase in BC risk, rising from an SIR of 1.61 to 1.99. The proportion of proliferative BBD diagnoses (PDWA or AH) increased markedly over time (28.1%-49.7%), as did the proportion of DCIS events (11%-28%; χ2  P < .001). Within specific BBD categories, the risk of invasive BC increased modestly.

Conclusions: Absolute risk of BC within BBD categories remained stable, but the relative risk of BC after BBD increased over time due to notable increases in higher risk BBD lesions, specifically PDWA and AH. These findings illustrate how evolving screening practices have changed the risk profile of BBD and should inform management strategies for patients with BBD in modern clinical settings.

Abstract Image

Abstract Image

Abstract Image

1967年至2013年乳腺良性疾病相关乳腺癌风险的变化
背景:乳腺良性疾病(BBD)对于诊断为非增生性(NP)改变、非异型性增生性疾病(PDWA)和非典型增生(AH)的女性,其乳腺癌(BC)风险逐渐增加。利用梅奥BBD队列(1967-2013)18704名女性的数据,我们评估了40年来BBD诊断的时间趋势以及它们如何影响相关的BC风险。方法:使用标准化发病率比(SIRs)和年龄-时期-队列模型评估四个时代与BBD相关的BC风险趋势:乳房x线检查前(1967-1981)、芯前穿刺活检(CNB)(1982-1992)、向CNB过渡(1993-2001)和CNB时代(2002-2013)。结果:中位随访15.8年,9.9%的女性被诊断为BC(浸润性和/或DCIS)。从乳房x光检查前时代到CNB时代,我们观察到BC风险显著增加,SIR从1.61上升到1.99。随着时间的推移,增动性BBD诊断(PDWA或AH)的比例显著增加(28.1%至49.7%),DCIS事件的比例也显著增加(11%至28%;结论:虽然BBD类别中BC的绝对风险保持稳定,但由于高危BBD病变,特别是PDWA和AH的显著增加,BBD后BC的相对风险随着时间的推移而增加。这些发现说明了不断发展的筛查实践如何改变了BBD的风险概况,并应在现代临床环境中为BBD患者的管理策略提供信息。
本文章由计算机程序翻译,如有差异,请以英文原文为准。
求助全文
约1分钟内获得全文 求助全文
来源期刊
JNCI Cancer Spectrum
JNCI Cancer Spectrum Medicine-Oncology
CiteScore
7.70
自引率
0.00%
发文量
80
审稿时长
18 weeks
×
引用
GB/T 7714-2015
复制
MLA
复制
APA
复制
导出至
BibTeX EndNote RefMan NoteFirst NoteExpress
×
提示
您的信息不完整,为了账户安全,请先补充。
现在去补充
×
提示
您因"违规操作"
具体请查看互助需知
我知道了
×
提示
确定
请完成安全验证×
copy
已复制链接
快去分享给好友吧!
我知道了
右上角分享
点击右上角分享
0
联系我们:info@booksci.cn Book学术提供免费学术资源搜索服务,方便国内外学者检索中英文文献。致力于提供最便捷和优质的服务体验。 Copyright © 2023 布克学术 All rights reserved.
京ICP备2023020795号-1
ghs 京公网安备 11010802042870号
Book学术文献互助
Book学术文献互助群
群 号:604180095
Book学术官方微信