Superior bioavailability of EPA and DHA from a L-lysine salt formulation: a randomized, three-way crossover study.

IF 3.4 4区 医学 Q2 FOOD SCIENCE & TECHNOLOGY
Food & Nutrition Research Pub Date : 2024-12-27 eCollection Date: 2024-01-01 DOI:10.29219/fnr.v68.11028
Christiane Schön, Antje Micka, Vishnupriya Gourineni, Roberta Bosi
{"title":"Superior bioavailability of EPA and DHA from a L-lysine salt formulation: a randomized, three-way crossover study.","authors":"Christiane Schön, Antje Micka, Vishnupriya Gourineni, Roberta Bosi","doi":"10.29219/fnr.v68.11028","DOIUrl":null,"url":null,"abstract":"<p><strong>Background: </strong>Omega-3 fatty acids, including eicosapentaenoic acid (EPA) and docosahexaenoic acid (DHA), are polyunsaturated fatty acids (PUFAs) with notable health benefits. Due to limited physiological production and insufficient dietary supply, external supplementation is important.</p><p><strong>Objective: </strong>This study aimed to compare the pharmacokinetics and bioavailability of EPA and DHA in AvailOm<sup>®</sup> omega-3-lysine salt (Lys-FFA) versus standard ethyl ester (EE) and triglyceride (TG) formulations after a single oral dose in healthy subjects.</p><p><strong>Design: </strong>A randomized, three-way crossover study was conducted with 21 healthy subjects.</p><p><strong>Results: </strong>Twenty-one subjects (10 men, 11 women) completed the study. The average age was 41.7 years, and the mean body mass index was 23.0 kg/m<sup>2</sup>. The Lys-FFA formulation showed significantly higher uptake of omega-3 fatty acids (EPA+DHA combined and each individually) compared to EE. Specifically, Lys-FFA had a 9.33-fold (0-12 h) and 8.09-fold (0-24 h) higher bioavailability of EPA+DHA than EE and a 1.57-fold (0-12 h) and 1.44-fold (0-24 h) higher bioavailability than TG. ΔCmax and Tmax also favored Lys-FFA over EE.</p><p><strong>Discussion: </strong>Under fasting conditions, the absorption of EPA and DHA from EE is limited due to the need for enzymatic cleavage before absorption. This requirement is bypassed with Lys-FFA, which does not need cleavage.</p><p><strong>Conclusions: </strong>The study demonstrates that EPA and DHA lysine salt (Lys-FFA) offers superior bioavailability compared to EE and triglyceride forms, presenting a more effective supplementation option.German Clinical Trials Register, DRKS-ID: DRKS00029183.</p>","PeriodicalId":12119,"journal":{"name":"Food & Nutrition Research","volume":"68 ","pages":""},"PeriodicalIF":3.4000,"publicationDate":"2024-12-27","publicationTypes":"Journal Article","fieldsOfStudy":null,"isOpenAccess":false,"openAccessPdf":"https://www.ncbi.nlm.nih.gov/pmc/articles/PMC11708499/pdf/","citationCount":"0","resultStr":null,"platform":"Semanticscholar","paperid":null,"PeriodicalName":"Food & Nutrition Research","FirstCategoryId":"97","ListUrlMain":"https://doi.org/10.29219/fnr.v68.11028","RegionNum":4,"RegionCategory":"医学","ArticlePicture":[],"TitleCN":null,"AbstractTextCN":null,"PMCID":null,"EPubDate":"2024/1/1 0:00:00","PubModel":"eCollection","JCR":"Q2","JCRName":"FOOD SCIENCE & TECHNOLOGY","Score":null,"Total":0}
引用次数: 0

Abstract

Background: Omega-3 fatty acids, including eicosapentaenoic acid (EPA) and docosahexaenoic acid (DHA), are polyunsaturated fatty acids (PUFAs) with notable health benefits. Due to limited physiological production and insufficient dietary supply, external supplementation is important.

Objective: This study aimed to compare the pharmacokinetics and bioavailability of EPA and DHA in AvailOm® omega-3-lysine salt (Lys-FFA) versus standard ethyl ester (EE) and triglyceride (TG) formulations after a single oral dose in healthy subjects.

Design: A randomized, three-way crossover study was conducted with 21 healthy subjects.

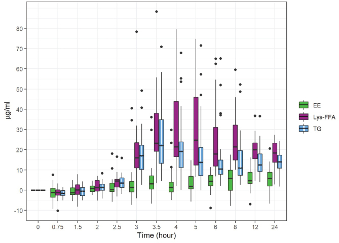
Results: Twenty-one subjects (10 men, 11 women) completed the study. The average age was 41.7 years, and the mean body mass index was 23.0 kg/m2. The Lys-FFA formulation showed significantly higher uptake of omega-3 fatty acids (EPA+DHA combined and each individually) compared to EE. Specifically, Lys-FFA had a 9.33-fold (0-12 h) and 8.09-fold (0-24 h) higher bioavailability of EPA+DHA than EE and a 1.57-fold (0-12 h) and 1.44-fold (0-24 h) higher bioavailability than TG. ΔCmax and Tmax also favored Lys-FFA over EE.

Discussion: Under fasting conditions, the absorption of EPA and DHA from EE is limited due to the need for enzymatic cleavage before absorption. This requirement is bypassed with Lys-FFA, which does not need cleavage.

Conclusions: The study demonstrates that EPA and DHA lysine salt (Lys-FFA) offers superior bioavailability compared to EE and triglyceride forms, presenting a more effective supplementation option.German Clinical Trials Register, DRKS-ID: DRKS00029183.

Abstract Image

Abstract Image

Abstract Image

l -赖氨酸盐配方中EPA和DHA的优越生物利用度:一项随机、三方向交叉研究。
背景:Omega-3脂肪酸,包括二十碳五烯酸(EPA)和二十二碳六烯酸(DHA),是一种多不饱和脂肪酸(PUFAs),具有显著的健康益处。由于生理生产有限,膳食供应不足,外源补充是重要的。目的:本研究旨在比较健康受试者单次口服AvailOm®omega-3-赖氨酸盐(Lys-FFA)与标准乙酯(EE)和甘油三酯(TG)制剂中EPA和DHA的药代动力学和生物利用度。设计:对21名健康受试者进行随机、三向交叉研究。结果:21名受试者(10名男性,11名女性)完成了研究。平均年龄41.7岁,平均体重指数23.0 kg/m2。与EE相比,Lys-FFA制剂对omega-3脂肪酸(EPA+DHA组合和单独)的吸收显著更高。其中,Lys-FFA的EPA+DHA生物利用度分别比EE高9.33倍(0-12 h)和8.09倍(0-24 h),比TG高1.57倍(0-12 h)和1.44倍(0-24 h)。ΔCmax和Tmax也倾向于Lys-FFA而不是EE。讨论:在禁食条件下,由于在吸收前需要酶裂解,从EE中吸收EPA和DHA受到限制。这一要求被Lys-FFA绕过,它不需要裂解。结论:该研究表明,EPA和DHA赖氨酸盐(Lys-FFA)与EE和甘油三酯形式相比具有更好的生物利用度,是一种更有效的补充选择。德国临床试验注册,DRKS-ID: DRKS00029183。
本文章由计算机程序翻译,如有差异,请以英文原文为准。
求助全文
约1分钟内获得全文 求助全文
来源期刊
Food & Nutrition Research
Food & Nutrition Research FOOD SCIENCE & TECHNOLOGY-NUTRITION & DIETETICS
CiteScore
5.20
自引率
9.10%
发文量
47
审稿时长
14 weeks
期刊介绍: Food & Nutrition Research is a peer-reviewed journal that presents the latest scientific research in various fields focusing on human nutrition. The journal publishes both quantitative and qualitative research papers. Through an Open Access publishing model, Food & Nutrition Research opens an important forum for researchers from academic and private arenas to exchange the latest results from research on human nutrition in a broad sense, both original papers and reviews, including: * Associations and effects of foods and nutrients on health * Dietary patterns and health * Molecular nutrition * Health claims on foods * Nutrition and cognitive functions * Nutritional effects of food composition and processing * Nutrition in developing countries * Animal and in vitro models with clear relevance for human nutrition * Nutrition and the Environment * Food and Nutrition Education * Nutrition and Economics Research papers on food chemistry (focus on chemical composition and analysis of foods) are generally not considered eligible, unless the results have a clear impact on human nutrition. The journal focuses on the different aspects of nutrition for people involved in nutrition research such as Dentists, Dieticians, Medical doctors, Nutritionists, Teachers, Journalists and Manufacturers in the food and pharmaceutical industries.
×
引用
GB/T 7714-2015
复制
MLA
复制
APA
复制
导出至
BibTeX EndNote RefMan NoteFirst NoteExpress
×
提示
您的信息不完整,为了账户安全,请先补充。
现在去补充
×
提示
您因"违规操作"
具体请查看互助需知
我知道了
×
提示
确定
请完成安全验证×
copy
已复制链接
快去分享给好友吧!
我知道了
右上角分享
点击右上角分享
0
联系我们:info@booksci.cn Book学术提供免费学术资源搜索服务,方便国内外学者检索中英文文献。致力于提供最便捷和优质的服务体验。 Copyright © 2023 布克学术 All rights reserved.
京ICP备2023020795号-1
ghs 京公网安备 11010802042870号
Book学术文献互助
Book学术文献互助群
群 号:604180095
Book学术官方微信