Establishing the volatile organic compound profile and detection capabilities of human remain detection dogs to human bones

Q1 Social Sciences
Frédérique Ouimet , Darshil Patel , Marissa Tsontakis , Clifford Samson , Shari L. Forbes
{"title":"Establishing the volatile organic compound profile and detection capabilities of human remain detection dogs to human bones","authors":"Frédérique Ouimet ,&nbsp;Darshil Patel ,&nbsp;Marissa Tsontakis ,&nbsp;Clifford Samson ,&nbsp;Shari L. Forbes","doi":"10.1016/j.fsisyn.2024.100566","DOIUrl":null,"url":null,"abstract":"<div><div>The detection of skeletal remains using human remain detection dogs (HRD) is often reported anecdotally by handlers to be a challenge. Limited studies have been conducted to determine the volatile organic compounds (VOCs) emitted from bones, particularly when there is limited organic matter remaining. This study aimed to determine the VOCs emitted from dry, weathered bones and examine the detection performance of HRD dogs on these bones when used as training aids. The VOCs of four different bones (clavicle, rib, humerus, and vertebrae) from three cadavers were collected using sorbent tubes and analyzed using comprehensive two-dimensional gas chromatography‒time-of-flight mass spectrometry (GC × GC‒TOFMS). Subsequently, the responses of the HRD dogs to the bone samples were recorded over two separate two-day trials. A total of 296 VOCs were detected and classified into chemical classes, with aromatics and linear aliphatics being the most abundant classes. Several differences in the chemical class distribution were observed between the bone types, but the number and intensity of the VOCs were similar between the bone samples. During the HRD dog training, a higher false detection rate was observed on the first day of each trial; however, the detection rate improved to 100 % on the second day of each trial. Although the dogs are capable of detecting bones, they require exposure to and training with a diverse range of skeletal remains to enhance their efficiency. This is necessary due to the variations in the types and intensity of VOCs compared to earlier decomposition stages involving soft tissue.</div></div>","PeriodicalId":36925,"journal":{"name":"Forensic Science International: Synergy","volume":"10 ","pages":"Article 100566"},"PeriodicalIF":0.0000,"publicationDate":"2024-12-14","publicationTypes":"Journal Article","fieldsOfStudy":null,"isOpenAccess":false,"openAccessPdf":"https://www.ncbi.nlm.nih.gov/pmc/articles/PMC11699303/pdf/","citationCount":"0","resultStr":null,"platform":"Semanticscholar","paperid":null,"PeriodicalName":"Forensic Science International: Synergy","FirstCategoryId":"1085","ListUrlMain":"https://www.sciencedirect.com/science/article/pii/S2589871X2400113X","RegionNum":0,"RegionCategory":null,"ArticlePicture":[],"TitleCN":null,"AbstractTextCN":null,"PMCID":null,"EPubDate":"","PubModel":"","JCR":"Q1","JCRName":"Social Sciences","Score":null,"Total":0}
引用次数: 0

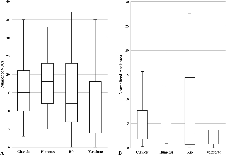
Abstract

The detection of skeletal remains using human remain detection dogs (HRD) is often reported anecdotally by handlers to be a challenge. Limited studies have been conducted to determine the volatile organic compounds (VOCs) emitted from bones, particularly when there is limited organic matter remaining. This study aimed to determine the VOCs emitted from dry, weathered bones and examine the detection performance of HRD dogs on these bones when used as training aids. The VOCs of four different bones (clavicle, rib, humerus, and vertebrae) from three cadavers were collected using sorbent tubes and analyzed using comprehensive two-dimensional gas chromatography‒time-of-flight mass spectrometry (GC × GC‒TOFMS). Subsequently, the responses of the HRD dogs to the bone samples were recorded over two separate two-day trials. A total of 296 VOCs were detected and classified into chemical classes, with aromatics and linear aliphatics being the most abundant classes. Several differences in the chemical class distribution were observed between the bone types, but the number and intensity of the VOCs were similar between the bone samples. During the HRD dog training, a higher false detection rate was observed on the first day of each trial; however, the detection rate improved to 100 % on the second day of each trial. Although the dogs are capable of detecting bones, they require exposure to and training with a diverse range of skeletal remains to enhance their efficiency. This is necessary due to the variations in the types and intensity of VOCs compared to earlier decomposition stages involving soft tissue.

Abstract Image

Abstract Image

建立人体遗骸检测犬对人体骨骼的挥发性有机化合物特征和检测能力。
使用人类遗骸检测犬(HRD)的骨骼遗骸检测经常被处理人员轶事报道为一个挑战。已经进行了有限的研究来确定骨骼释放的挥发性有机化合物(VOCs),特别是在有机物质残留有限的情况下。本研究旨在测定干燥、风化的骨骼所释放的挥发性有机化合物,并检验HRD犬在使用这些骨骼作为训练辅助工具时对这些骨骼的检测性能。采用吸附管采集3具尸体的锁骨、肋骨、肱骨和椎骨4块不同骨骼的挥发性有机化合物,并采用综合二维气相色谱-飞行时间质谱(GC × GC - tofms)进行分析。随后,HRD犬对骨样本的反应被记录在两个独立的为期两天的试验中。共检测到296种挥发性有机化合物,并将其划分为化学类,其中芳烃类和线性脂肪类含量最高。不同骨骼类型的VOCs化学类别分布存在差异,但不同骨骼样本间VOCs的数量和强度相似。在HRD犬训练期间,每次试验的第一天都观察到较高的误检率;然而,在每次试验的第二天,检出率提高到100%。虽然狗有能力探测骨头,但它们需要暴露在各种各样的骨骼残骸中并接受训练,以提高它们的效率。这是必要的,因为与涉及软组织的早期分解阶段相比,挥发性有机化合物的类型和强度有所不同。
本文章由计算机程序翻译,如有差异,请以英文原文为准。
求助全文
约1分钟内获得全文 求助全文
来源期刊
CiteScore
4.90
自引率
0.00%
发文量
75
审稿时长
90 days
×
引用
GB/T 7714-2015
复制
MLA
复制
APA
复制
导出至
BibTeX EndNote RefMan NoteFirst NoteExpress
×
提示
您的信息不完整,为了账户安全,请先补充。
现在去补充
×
提示
您因"违规操作"
具体请查看互助需知
我知道了
×
提示
确定
请完成安全验证×
copy
已复制链接
快去分享给好友吧!
我知道了
右上角分享
点击右上角分享
0
联系我们:info@booksci.cn Book学术提供免费学术资源搜索服务,方便国内外学者检索中英文文献。致力于提供最便捷和优质的服务体验。 Copyright © 2023 布克学术 All rights reserved.
京ICP备2023020795号-1
ghs 京公网安备 11010802042870号
Book学术文献互助
Book学术文献互助群
群 号:604180095
Book学术官方微信