Safety and Efficacy of Dose-Dense Methotrexate, Vinblastine, Doxorubicin, and Cisplatin with Pegfilgrastim in Japanese Patients with Advanced or Metastatic Urothelial Carcinoma.

IF 1.7 4区 医学 Q3 ONCOLOGY
Chemotherapy Pub Date : 2025-01-01 Epub Date: 2024-12-30 DOI:10.1159/000543333
Takahiro Harano, Masaomi Ikeda, Shuhei Hirano, Soichiro Shimura, Masayoshi Toyoda, Satoshi Okuda, Dai Koguchi, Hideyasu Tsumura, Daisuke Ishii, Kazumasa Matsumoto
{"title":"Safety and Efficacy of Dose-Dense Methotrexate, Vinblastine, Doxorubicin, and Cisplatin with Pegfilgrastim in Japanese Patients with Advanced or Metastatic Urothelial Carcinoma.","authors":"Takahiro Harano, Masaomi Ikeda, Shuhei Hirano, Soichiro Shimura, Masayoshi Toyoda, Satoshi Okuda, Dai Koguchi, Hideyasu Tsumura, Daisuke Ishii, Kazumasa Matsumoto","doi":"10.1159/000543333","DOIUrl":null,"url":null,"abstract":"<p><strong>Introduction: </strong>Dose-dense methotrexate, vinblastine, doxorubicin, and cisplatin (ddMVAC) therapy is indicated as first-line or neoadjuvant chemotherapy (NAC) for patients with advanced or metastatic urothelial carcinoma (UC). However, no studies reported ddMVAC therapy with pegfilgrastim (3.6 mg) in Japanese patients. We investigated the safety and efficacy of ddMVAC therapy with pegfilgrastim in patients with advanced or metastatic UC.</p><p><strong>Methods: </strong>A total of 43 patients received ddMVAC therapy with pegfilgrastim (3.6 mg) from February 2021 to December 2023. Among them, 25 and 18 patients received this regimen as first-line chemotherapy and NAC, respectively. We assessed toxicity and efficacy using Common Terminology Criteria for Adverse Events version 4.0 and Response Evaluation Criteria in Solid Tumors version 1.1, respectively.</p><p><strong>Results: </strong>The median number of ddMVAC therapy cycles was 3 (range: 1-5), with a total of 131 cycles. Cisplatin at the full dose without reduction was administered to 24 (56%) patients. Grade ≥3 hematologic toxicity occurred in 15 (35%) patients. Among them, anemia, neutropenia, thrombocytopenia, and febrile neutropenia were 13.9%, 9.3%, 11.7%, and 7.0%, respectively. Regarding non-hematologic toxicity, grade 3 appetite loss was observed in 2 (5%) patients. Complete response was observed in 7 (16%) patients and partial response in 26 patients (60%), yielding an objective response rate of 76%. Pathologic complete response (pCR; ypT0pN0) was observed in 3 (16.7%) patients and downstaging occurred in 13 (72.2%) patients. The median progression-free survival and overall survival of first-line treatment with ddMVAC were 18.6 months and not reached, respectively.</p><p><strong>Conclusion: </strong>The ddMVAC with pegfilgrastim (3.6 mg) reduced injection-related patient burden, caused fewer grade ≥3 adverse events, and demonstrated similar efficacy when compared to the original ddMVAC regimen that used granulocyte colony-stimulating factor for 7 consecutive days.</p>","PeriodicalId":10047,"journal":{"name":"Chemotherapy","volume":" ","pages":"85-91"},"PeriodicalIF":1.7000,"publicationDate":"2025-01-01","publicationTypes":"Journal Article","fieldsOfStudy":null,"isOpenAccess":false,"openAccessPdf":"https://www.ncbi.nlm.nih.gov/pmc/articles/PMC12101802/pdf/","citationCount":"0","resultStr":null,"platform":"Semanticscholar","paperid":null,"PeriodicalName":"Chemotherapy","FirstCategoryId":"3","ListUrlMain":"https://doi.org/10.1159/000543333","RegionNum":4,"RegionCategory":"医学","ArticlePicture":[],"TitleCN":null,"AbstractTextCN":null,"PMCID":null,"EPubDate":"2024/12/30 0:00:00","PubModel":"Epub","JCR":"Q3","JCRName":"ONCOLOGY","Score":null,"Total":0}
引用次数: 0

Abstract

Introduction: Dose-dense methotrexate, vinblastine, doxorubicin, and cisplatin (ddMVAC) therapy is indicated as first-line or neoadjuvant chemotherapy (NAC) for patients with advanced or metastatic urothelial carcinoma (UC). However, no studies reported ddMVAC therapy with pegfilgrastim (3.6 mg) in Japanese patients. We investigated the safety and efficacy of ddMVAC therapy with pegfilgrastim in patients with advanced or metastatic UC.

Methods: A total of 43 patients received ddMVAC therapy with pegfilgrastim (3.6 mg) from February 2021 to December 2023. Among them, 25 and 18 patients received this regimen as first-line chemotherapy and NAC, respectively. We assessed toxicity and efficacy using Common Terminology Criteria for Adverse Events version 4.0 and Response Evaluation Criteria in Solid Tumors version 1.1, respectively.

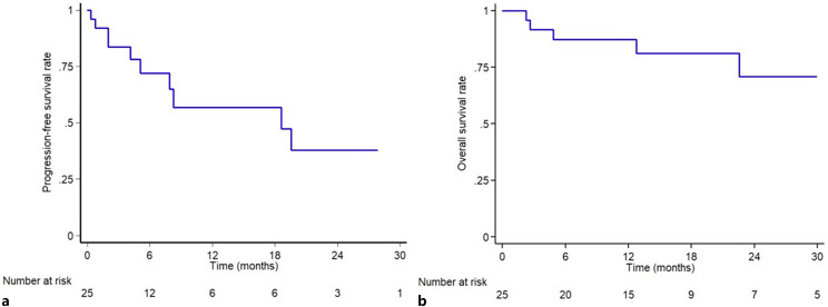
Results: The median number of ddMVAC therapy cycles was 3 (range: 1-5), with a total of 131 cycles. Cisplatin at the full dose without reduction was administered to 24 (56%) patients. Grade ≥3 hematologic toxicity occurred in 15 (35%) patients. Among them, anemia, neutropenia, thrombocytopenia, and febrile neutropenia were 13.9%, 9.3%, 11.7%, and 7.0%, respectively. Regarding non-hematologic toxicity, grade 3 appetite loss was observed in 2 (5%) patients. Complete response was observed in 7 (16%) patients and partial response in 26 patients (60%), yielding an objective response rate of 76%. Pathologic complete response (pCR; ypT0pN0) was observed in 3 (16.7%) patients and downstaging occurred in 13 (72.2%) patients. The median progression-free survival and overall survival of first-line treatment with ddMVAC were 18.6 months and not reached, respectively.

Conclusion: The ddMVAC with pegfilgrastim (3.6 mg) reduced injection-related patient burden, caused fewer grade ≥3 adverse events, and demonstrated similar efficacy when compared to the original ddMVAC regimen that used granulocyte colony-stimulating factor for 7 consecutive days.

Abstract Image

剂量密集甲氨蝶呤、长春花碱、阿霉素和顺铂联合聚非格昔汀在日本晚期或转移性尿路上皮癌患者中的安全性和有效性
剂量密集的甲氨蝶呤、长春花碱、阿霉素和顺铂(ddMVAC)治疗是晚期或转移性尿路上皮癌(UC)患者的一线或新辅助化疗(NAC)。然而,没有研究报道日本患者使用pegfilgrastim (3.6 mg)进行ddMVAC治疗。我们研究了ddMVAC联合pegfilgrastim治疗晚期或转移性UC患者的安全性和有效性。方法:从2021年2月至2023年8月,共有43例患者接受了pegfilgrastim (3.6 mg)的ddMVAC治疗。其中25例和18例患者分别接受该方案作为一线化疗和NAC。我们分别使用不良事件通用术语标准4.0版和实体瘤反应评价标准1.1版来评估毒性和疗效。结果:ddMVAC治疗周期中位数为3(范围:1-5),共131个周期。24例(56%)患者接受了全剂量的顺铂治疗。15例(35%)患者发生≥3级血液学毒性。其中,贫血、中性粒细胞减少症、血小板减少症和发热性中性粒细胞减少症分别占13.9%、9.3%、11.7%和7.0%。在非血液学毒性方面,2例(5%)患者出现3级食欲下降。7例(16%)患者完全缓解,26例(60%)患者部分缓解,客观缓解率为76%。病理完全缓解;3例(16.7%)患者出现ypT0pN0, 13例(72.2%)患者出现分期下降。ddMVAC一线治疗的中位无进展生存期和总生存期分别为18.6个月和未达到。结论:与使用G-CSF连续7天的ddMVAC方案相比,使用pegfilgrastim (3.6 mg)的ddMVAC方案减少了注射相关的患者负担,导致的≥3级不良事件较少,并且显示出相似的疗效。
本文章由计算机程序翻译,如有差异,请以英文原文为准。
求助全文
约1分钟内获得全文 求助全文
来源期刊
Chemotherapy
Chemotherapy 医学-药学
CiteScore
5.80
自引率
0.00%
发文量
34
审稿时长
6-12 weeks
期刊介绍: This journal publishes original research articles and state-of-the-art reviews on all aspects of antimicrobial and antitumor chemotherapy. The results of experimental and clinical investigations into the microbiological and pharmacologic properties of antibacterial, antiviral and antitumor compounds are major topics of publication. Papers selected for the journal offer data concerning the efficacy, toxicology, and interactions of new drugs in single or combined applications. Studies designed to determine the pharmacokinetic and pharmacodynamics properties of similar preparations and comparing their efficacy are also included. Special emphasis is given to the development of drug-resistance, an increasing problem worldwide.
×
引用
GB/T 7714-2015
复制
MLA
复制
APA
复制
导出至
BibTeX EndNote RefMan NoteFirst NoteExpress
×
提示
您的信息不完整,为了账户安全,请先补充。
现在去补充
×
提示
您因"违规操作"
具体请查看互助需知
我知道了
×
提示
确定
请完成安全验证×
copy
已复制链接
快去分享给好友吧!
我知道了
右上角分享
点击右上角分享
0
联系我们:info@booksci.cn Book学术提供免费学术资源搜索服务,方便国内外学者检索中英文文献。致力于提供最便捷和优质的服务体验。 Copyright © 2023 布克学术 All rights reserved.
京ICP备2023020795号-1
ghs 京公网安备 11010802042870号
Book学术文献互助
Book学术文献互助群
群 号:604180095
Book学术官方微信