Coping with Complications that Occur after Prostate Biopsy for Satisfactory Evaluation of Call Service Using Artificial Intelligence: A Pilot Randomized Controlled Trial.

IF 4.1 3区 医学 Q1 ANDROLOGY
World Journal of Mens Health Pub Date : 2025-10-01 Epub Date: 2024-11-25 DOI:10.5534/wjmh.240191
Yong Nam Gwon, Ukrae Cho, Seung Ryong Chong, Ji Yeon Han, Do Kyung Kim, Seung Whan Doo, Won Jae Yang, Kyeongmin Kim, Sung Ryul Shim, Jaehun Jung, Jae Heon Kim
{"title":"Coping with Complications that Occur after Prostate Biopsy for Satisfactory Evaluation of Call Service Using Artificial Intelligence: A Pilot Randomized Controlled Trial.","authors":"Yong Nam Gwon, Ukrae Cho, Seung Ryong Chong, Ji Yeon Han, Do Kyung Kim, Seung Whan Doo, Won Jae Yang, Kyeongmin Kim, Sung Ryul Shim, Jaehun Jung, Jae Heon Kim","doi":"10.5534/wjmh.240191","DOIUrl":null,"url":null,"abstract":"<p><strong>Purpose: </strong>To assess whether an artificial intelligence (AI)-based reassurance-call can inform patients about potential complications and provides reassurance following a prostate biopsy.</p><p><strong>Materials and methods: </strong>From October 2022 to December 2023, 42 patients aged 40 to 70 years undergoing their first prostate biopsy were recruited. The 'Reassurance-call' service was utilized to inform and monitor patients for complications. Participants were randomized into three groups: AI-assisted Reassurance-call service (Group 1), human-assisted Reassurance-call service (Group 2), and no call (Group 3). The primary outcome measured was patient satisfaction with the Reassurance-call service, assessed using a Likert scale. Secondary outcomes included satisfaction with complication management and anxiety levels, evaluated using the Likert scale, visual analog scale (VAS), and the state-trait anxiety inventory (STAI).</p><p><strong>Results: </strong>Satisfaction with Reassurance-call averaged 4.20 (standard deviation [SD] 0.56) for Group 1 and 4.71 (SD 0.47) for Group 2, showing a statistically significant difference. Satisfaction regarding complication management using Likert scale was 4.13 (SD 0.52) for Group 1, 4.43 (SD 0.76) for Group 2, and 3.79 (SD 0.80) for Group 3 with no statistically significant differences. Satisfaction regarding complication management using VAS averaged 8.33 (SD 1.23) for Group 1, 8.57 (SD 1.45) for Group 2, and 7.07 (SD 1.86) for Group 3, indicating significant differences. Anxiety levels using STAI averaged 40.00 (SD 10.54) for Group 1, 39.14 (SD 8.29) for Group 2, and 35.00 (SD 9.46) for Group 3, showing no significant differences. Anxiety levels using VAS averaged 5.07 (SD 2.79) for Group 1, 2.21 (SD 2.64) for Group 2, and 3.50 (SD 2.28) for Group 3, with significant differences observed.</p><p><strong>Conclusions: </strong>AI demonstrated potential in enhancing patient reassurance and managing complications post-prostate biopsy, although human interaction proved superior in certain aspects. Further studies with larger cohorts are necessary to verify the effectiveness of AI-based tools.</p>","PeriodicalId":54261,"journal":{"name":"World Journal of Mens Health","volume":" ","pages":"934-943"},"PeriodicalIF":4.1000,"publicationDate":"2025-10-01","publicationTypes":"Journal Article","fieldsOfStudy":null,"isOpenAccess":false,"openAccessPdf":"https://www.ncbi.nlm.nih.gov/pmc/articles/PMC12505482/pdf/","citationCount":"0","resultStr":null,"platform":"Semanticscholar","paperid":null,"PeriodicalName":"World Journal of Mens Health","FirstCategoryId":"3","ListUrlMain":"https://doi.org/10.5534/wjmh.240191","RegionNum":3,"RegionCategory":"医学","ArticlePicture":[],"TitleCN":null,"AbstractTextCN":null,"PMCID":null,"EPubDate":"2024/11/25 0:00:00","PubModel":"Epub","JCR":"Q1","JCRName":"ANDROLOGY","Score":null,"Total":0}
引用次数: 0

Abstract

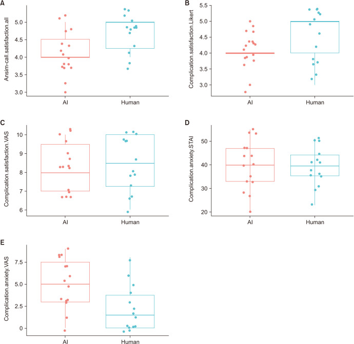
Purpose: To assess whether an artificial intelligence (AI)-based reassurance-call can inform patients about potential complications and provides reassurance following a prostate biopsy.

Materials and methods: From October 2022 to December 2023, 42 patients aged 40 to 70 years undergoing their first prostate biopsy were recruited. The 'Reassurance-call' service was utilized to inform and monitor patients for complications. Participants were randomized into three groups: AI-assisted Reassurance-call service (Group 1), human-assisted Reassurance-call service (Group 2), and no call (Group 3). The primary outcome measured was patient satisfaction with the Reassurance-call service, assessed using a Likert scale. Secondary outcomes included satisfaction with complication management and anxiety levels, evaluated using the Likert scale, visual analog scale (VAS), and the state-trait anxiety inventory (STAI).

Results: Satisfaction with Reassurance-call averaged 4.20 (standard deviation [SD] 0.56) for Group 1 and 4.71 (SD 0.47) for Group 2, showing a statistically significant difference. Satisfaction regarding complication management using Likert scale was 4.13 (SD 0.52) for Group 1, 4.43 (SD 0.76) for Group 2, and 3.79 (SD 0.80) for Group 3 with no statistically significant differences. Satisfaction regarding complication management using VAS averaged 8.33 (SD 1.23) for Group 1, 8.57 (SD 1.45) for Group 2, and 7.07 (SD 1.86) for Group 3, indicating significant differences. Anxiety levels using STAI averaged 40.00 (SD 10.54) for Group 1, 39.14 (SD 8.29) for Group 2, and 35.00 (SD 9.46) for Group 3, showing no significant differences. Anxiety levels using VAS averaged 5.07 (SD 2.79) for Group 1, 2.21 (SD 2.64) for Group 2, and 3.50 (SD 2.28) for Group 3, with significant differences observed.

Conclusions: AI demonstrated potential in enhancing patient reassurance and managing complications post-prostate biopsy, although human interaction proved superior in certain aspects. Further studies with larger cohorts are necessary to verify the effectiveness of AI-based tools.

Abstract Image

Abstract Image

Abstract Image

使用人工智能处理前列腺活检后并发症对呼叫服务的满意评价:一项先导随机对照试验。
目的:评估基于人工智能(AI)的安慰电话是否可以告知患者潜在的并发症,并在前列腺活检后提供安慰。材料与方法:从2022年10月至2023年12月,招募42例年龄在40 - 70岁之间进行首次前列腺活检的患者。“安心电话”服务用于通知和监测患者的并发症。参与者被随机分为三组:人工智能辅助的安心电话服务(第1组)、人工辅助的安心电话服务(第2组)和无电话(第3组)。测量的主要结果是患者对安心电话服务的满意度,使用李克特量表进行评估。次要结局包括并发症管理满意度和焦虑水平,采用李克特量表、视觉模拟量表(VAS)和状态-特质焦虑量表(STAI)进行评估。结果:组1和组2的满意度分别为4.20(标准差[SD] 0.56)和4.71(标准差[SD] 0.47),差异有统计学意义。使用Likert量表对并发症管理的满意度,组1为4.13 (SD 0.52),组2为4.43 (SD 0.76),组3为3.79 (SD 0.80),差异无统计学意义。使用VAS对并发症管理的满意度,第1组平均为8.33 (SD 1.23),第2组为8.57 (SD 1.45),第3组为7.07 (SD 1.86),差异有统计学意义。使用STAI计算的焦虑水平,第一组平均为40.00 (SD 10.54),第二组为39.14 (SD 8.29),第三组为35.00 (SD 9.46),差异无统计学意义。使用VAS评分,第1组的焦虑水平平均为5.07 (SD 2.79),第2组为2.21 (SD 2.64),第3组为3.50 (SD 2.28),差异有统计学意义。结论:人工智能显示了增强患者安心和管理前列腺活检后并发症的潜力,尽管在某些方面证明了人类互动的优势。进一步的研究需要更大的队列来验证基于人工智能的工具的有效性。
本文章由计算机程序翻译,如有差异,请以英文原文为准。
求助全文
约1分钟内获得全文 求助全文
来源期刊
World Journal of Mens Health
World Journal of Mens Health Medicine-Psychiatry and Mental Health
CiteScore
7.60
自引率
2.10%
发文量
92
审稿时长
6 weeks
×
引用
GB/T 7714-2015
复制
MLA
复制
APA
复制
导出至
BibTeX EndNote RefMan NoteFirst NoteExpress
×
提示
您的信息不完整,为了账户安全,请先补充。
现在去补充
×
提示
您因"违规操作"
具体请查看互助需知
我知道了
×
提示
确定
请完成安全验证×
copy
已复制链接
快去分享给好友吧!
我知道了
右上角分享
点击右上角分享
0
联系我们:info@booksci.cn Book学术提供免费学术资源搜索服务,方便国内外学者检索中英文文献。致力于提供最便捷和优质的服务体验。 Copyright © 2023 布克学术 All rights reserved.
京ICP备2023020795号-1
ghs 京公网安备 11010802042870号
Book学术文献互助
Book学术文献互助群
群 号:604180095
Book学术官方微信