General medical comorbidities in psychotic disorders in the Finnish SUPER study.

IF 4.1 Q2 PSYCHIATRY
Johan Ahti, Tuula Kieseppä, Willehard Haaki, Jaana Suvisaari, Solja Niemelä, Kimmo Suokas, Minna Holm, Asko Wegelius, Olli Kampman, Markku Lähteenvuo, Tiina Paunio, Jari Tiihonen, Jarmo Hietala, Erkki Isometsä
{"title":"General medical comorbidities in psychotic disorders in the Finnish SUPER study.","authors":"Johan Ahti, Tuula Kieseppä, Willehard Haaki, Jaana Suvisaari, Solja Niemelä, Kimmo Suokas, Minna Holm, Asko Wegelius, Olli Kampman, Markku Lähteenvuo, Tiina Paunio, Jari Tiihonen, Jarmo Hietala, Erkki Isometsä","doi":"10.1038/s41537-024-00546-1","DOIUrl":null,"url":null,"abstract":"<p><p>Schizophrenia (SZ), schizoaffective disorder (SZA), bipolar disorder (BD), and psychotic depression (PD) are associated with premature death due to preventable general medical comorbidities (GMCs). The interaction between psychosis, risk factors, and GMCs is complex and should be elucidated. More research particularly among those with SZA or PD is warranted. We evaluated the association between registry-based psychotic disorders and GMC diagnoses in a large national sample of participants with different psychotic disorders. In addition, we examined whether body mass index (BMI) and smoking as risk factors for GMCs explain differences between diagnostic groups. This was a cross-sectional study of a clinical population of participants (n = 10,417) in the Finnish SUPER study. Registry-based diagnoses of psychotic disorders and hypertension, diabetes, chronic obstructive pulmonary disease (COPD), cancers, ischemic heart disease, and liver disorders were obtained. Participants' BMI and self-reported smoking were recorded. Total effect of diagnostic category adjusted for age and sex as well as direct effect including known risk factors was calculated using logistic regression. Regardless of diagnostic category, participants had high BMI (average 30.3 kg/m<sup>2</sup>), and current smoking was common (42.4%). Diabetes and COPD were more common in SZ than in other diagnostic categories. The differences between psychotic disorders were not explained by obesity or smoking status only. Obesity and smoking were prevalent in all diagnostic categories of psychotic disorders, and continued efforts at prevention are warranted. Additional differences in GMC prevalence exist between psychotic disorders that are not explained by obesity and smoking.</p>","PeriodicalId":74758,"journal":{"name":"Schizophrenia (Heidelberg, Germany)","volume":"10 1","pages":"124"},"PeriodicalIF":4.1000,"publicationDate":"2024-12-31","publicationTypes":"Journal Article","fieldsOfStudy":null,"isOpenAccess":false,"openAccessPdf":"https://www.ncbi.nlm.nih.gov/pmc/articles/PMC11688420/pdf/","citationCount":"0","resultStr":null,"platform":"Semanticscholar","paperid":null,"PeriodicalName":"Schizophrenia (Heidelberg, Germany)","FirstCategoryId":"1085","ListUrlMain":"https://doi.org/10.1038/s41537-024-00546-1","RegionNum":0,"RegionCategory":null,"ArticlePicture":[],"TitleCN":null,"AbstractTextCN":null,"PMCID":null,"EPubDate":"","PubModel":"","JCR":"Q2","JCRName":"PSYCHIATRY","Score":null,"Total":0}
引用次数: 0

Abstract

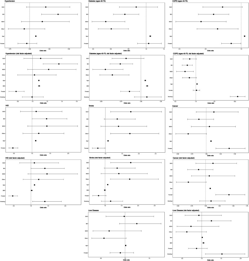
Schizophrenia (SZ), schizoaffective disorder (SZA), bipolar disorder (BD), and psychotic depression (PD) are associated with premature death due to preventable general medical comorbidities (GMCs). The interaction between psychosis, risk factors, and GMCs is complex and should be elucidated. More research particularly among those with SZA or PD is warranted. We evaluated the association between registry-based psychotic disorders and GMC diagnoses in a large national sample of participants with different psychotic disorders. In addition, we examined whether body mass index (BMI) and smoking as risk factors for GMCs explain differences between diagnostic groups. This was a cross-sectional study of a clinical population of participants (n = 10,417) in the Finnish SUPER study. Registry-based diagnoses of psychotic disorders and hypertension, diabetes, chronic obstructive pulmonary disease (COPD), cancers, ischemic heart disease, and liver disorders were obtained. Participants' BMI and self-reported smoking were recorded. Total effect of diagnostic category adjusted for age and sex as well as direct effect including known risk factors was calculated using logistic regression. Regardless of diagnostic category, participants had high BMI (average 30.3 kg/m2), and current smoking was common (42.4%). Diabetes and COPD were more common in SZ than in other diagnostic categories. The differences between psychotic disorders were not explained by obesity or smoking status only. Obesity and smoking were prevalent in all diagnostic categories of psychotic disorders, and continued efforts at prevention are warranted. Additional differences in GMC prevalence exist between psychotic disorders that are not explained by obesity and smoking.

Abstract Image

Abstract Image

芬兰SUPER研究中精神障碍的一般医学合并症
精神分裂症(SZ)、分裂情感性障碍(SZA)、双相情感障碍(BD)和精神病性抑郁症(PD)与可预防的一般医学合并症(GMCs)导致的过早死亡相关。精神病、危险因素和gmc之间的相互作用是复杂的,应该加以阐明。需要进行更多的研究,特别是对SZA或PD患者的研究。我们评估了基于登记的精神障碍和GMC诊断之间的关系,在一个大型的国家样本中,参与者患有不同的精神障碍。此外,我们还研究了体重指数(BMI)和吸烟作为GMCs的危险因素是否可以解释诊断组之间的差异。这是芬兰SUPER研究中一项临床人群参与者(n = 10417)的横断面研究。获得了基于登记的精神障碍和高血压、糖尿病、慢性阻塞性肺疾病(COPD)、癌症、缺血性心脏病和肝脏疾病的诊断。研究人员记录了参与者的身体质量指数和自我报告的吸烟情况。采用logistic回归计算经年龄和性别调整的诊断类别的总效应以及包括已知危险因素的直接效应。无论诊断类别如何,参与者都有高BMI(平均30.3 kg/m2),目前吸烟很常见(42.4%)。糖尿病和COPD在SZ中比在其他诊断类别中更常见。精神疾病之间的差异不能仅仅用肥胖或吸烟状况来解释。肥胖和吸烟在所有诊断类型的精神病中都很普遍,继续努力预防是有必要的。精神疾病之间GMC患病率的其他差异并不能用肥胖和吸烟来解释。
本文章由计算机程序翻译,如有差异,请以英文原文为准。
求助全文
约1分钟内获得全文 求助全文
来源期刊
自引率
0.00%
发文量
0
×
引用
GB/T 7714-2015
复制
MLA
复制
APA
复制
导出至
BibTeX EndNote RefMan NoteFirst NoteExpress
×
提示
您的信息不完整,为了账户安全,请先补充。
现在去补充
×
提示
您因"违规操作"
具体请查看互助需知
我知道了
×
提示
确定
请完成安全验证×
copy
已复制链接
快去分享给好友吧!
我知道了
右上角分享
点击右上角分享
0
联系我们:info@booksci.cn Book学术提供免费学术资源搜索服务,方便国内外学者检索中英文文献。致力于提供最便捷和优质的服务体验。 Copyright © 2023 布克学术 All rights reserved.
京ICP备2023020795号-1
ghs 京公网安备 11010802042870号
Book学术文献互助
Book学术文献互助群
群 号:604180095
Book学术官方微信