Plant Heat Shock Proteins Are More Effective in Enhancing Recombinant Alcohol Dehydrogenase Activity than Bacterial Ones In Vitro.

IF 1.5 4区 生物学 Q4 BIOTECHNOLOGY & APPLIED MICROBIOLOGY
Minjae Jung, Yunjin Park, Yeh-Jin Ahn
{"title":"Plant Heat Shock Proteins Are More Effective in Enhancing Recombinant Alcohol Dehydrogenase Activity than Bacterial Ones <i>In Vitro</i>.","authors":"Minjae Jung, Yunjin Park, Yeh-Jin Ahn","doi":"10.30498/ijb.2024.442517.3878","DOIUrl":null,"url":null,"abstract":"<p><strong>Background: </strong>Recombinant proteins produced in the cell factories are used in biological research, pharmaceutical production, and biochemical and agricultural applications. Molecular chaperones, such as heat shock proteins (Hsps), are co-expressed with recombinant proteins to enhance their yield, stability, and activity. When <i>Escherichia coli</i> (<i>E. coli</i>) is used as a cell factory, <i>E. coli</i> Hsps are the frequently used co-expression partners.</p><p><strong>Objectives: </strong>We examined if there are differences in the molecular chaperone activities of plant and bacterial Hsps on recombinant protein activity. We compared the effects of the Hsps from carrot (<i>Daucus carota</i>) and <i>E. coli</i> on enhancing the recombinant alcohol dehydrogenase (ADH) activity and solubility under normal and heat conditions <i>in vitro</i>.</p><p><strong>Materials and methods: </strong>His-tagged carrot Hsps (DcHsp17.7 and DcHsp70), <i>E. coli</i> Hsps (IbpA, IbpB, and DnaK), and ADH from a thermophile <i>Geobacillus stearothermophilus</i> were individually cloned in a pET11a or a pET26b vector, introduced into <i>E. coli</i> BL21(DE3), and expressed by isopropyl β-D-1-thiogalactopyranoside treatment (0.5 mM, 16 °C , 20 h). The recombinant proteins were purified using Ni-NTA affinity chromatography and resolved in SDS-PAGE (17%). The recombinant ADH was treated with the individual Hsps or in combination, and the enzyme activity was examined by measuring the NADH product levels at O.D.<sub>340</sub>.</p><p><strong>Results: </strong>The recombinant ADH was expressed at high levels in <i>E. coli</i> and very thermotolerant when the purified enzyme reacted (up to 70 °C). All five Hsps enhanced the ADH activity under normal and heat conditions <i>in vitro</i>, compared to the control. DcHsp17.7 and DcHsp70 were the most effective for improving the enzyme activity by up to 13.0- and 11.6-fold, respectively, followed by IbpA (8.4-fold), DnaK (6.5-fold), and IbpB (3.4-fold), at 37 °C . Combined incubation of DcHsp17.7-DcHsp70 and DcHsp17.7-DnaK further enhanced the ADH activity by 13.8 and 14.2-fold, respectively. DcHsp70 effectively enhanced ADH's solubility at 37 °C <i>in vitro</i>.</p><p><strong>Conclusion: </strong>Our results suggest that plant Hsps can enhance recombinant protein activity, such as ADH, more effectively than their bacterial counterparts. Identifying effective molecular chaperones in the bacterial and eukaryotic domains will help enhance the production of recombinant proteins in <i>E. coli</i>.</p>","PeriodicalId":14492,"journal":{"name":"Iranian Journal of Biotechnology","volume":"22 3","pages":"e3878"},"PeriodicalIF":1.5000,"publicationDate":"2024-07-01","publicationTypes":"Journal Article","fieldsOfStudy":null,"isOpenAccess":false,"openAccessPdf":"https://www.ncbi.nlm.nih.gov/pmc/articles/PMC11682524/pdf/","citationCount":"0","resultStr":null,"platform":"Semanticscholar","paperid":null,"PeriodicalName":"Iranian Journal of Biotechnology","FirstCategoryId":"5","ListUrlMain":"https://doi.org/10.30498/ijb.2024.442517.3878","RegionNum":4,"RegionCategory":"生物学","ArticlePicture":[],"TitleCN":null,"AbstractTextCN":null,"PMCID":null,"EPubDate":"","PubModel":"","JCR":"Q4","JCRName":"BIOTECHNOLOGY & APPLIED MICROBIOLOGY","Score":null,"Total":0}
引用次数: 0

Abstract

Background: Recombinant proteins produced in the cell factories are used in biological research, pharmaceutical production, and biochemical and agricultural applications. Molecular chaperones, such as heat shock proteins (Hsps), are co-expressed with recombinant proteins to enhance their yield, stability, and activity. When Escherichia coli (E. coli) is used as a cell factory, E. coli Hsps are the frequently used co-expression partners.

Objectives: We examined if there are differences in the molecular chaperone activities of plant and bacterial Hsps on recombinant protein activity. We compared the effects of the Hsps from carrot (Daucus carota) and E. coli on enhancing the recombinant alcohol dehydrogenase (ADH) activity and solubility under normal and heat conditions in vitro.

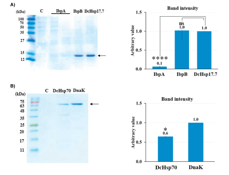
Materials and methods: His-tagged carrot Hsps (DcHsp17.7 and DcHsp70), E. coli Hsps (IbpA, IbpB, and DnaK), and ADH from a thermophile Geobacillus stearothermophilus were individually cloned in a pET11a or a pET26b vector, introduced into E. coli BL21(DE3), and expressed by isopropyl β-D-1-thiogalactopyranoside treatment (0.5 mM, 16 °C , 20 h). The recombinant proteins were purified using Ni-NTA affinity chromatography and resolved in SDS-PAGE (17%). The recombinant ADH was treated with the individual Hsps or in combination, and the enzyme activity was examined by measuring the NADH product levels at O.D.340.

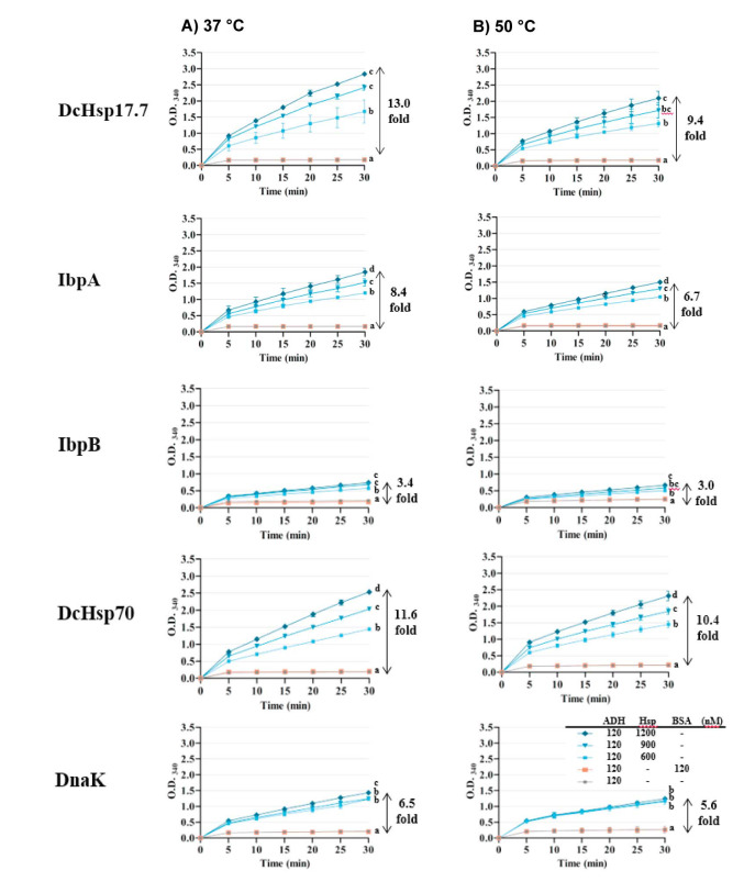
Results: The recombinant ADH was expressed at high levels in E. coli and very thermotolerant when the purified enzyme reacted (up to 70 °C). All five Hsps enhanced the ADH activity under normal and heat conditions in vitro, compared to the control. DcHsp17.7 and DcHsp70 were the most effective for improving the enzyme activity by up to 13.0- and 11.6-fold, respectively, followed by IbpA (8.4-fold), DnaK (6.5-fold), and IbpB (3.4-fold), at 37 °C . Combined incubation of DcHsp17.7-DcHsp70 and DcHsp17.7-DnaK further enhanced the ADH activity by 13.8 and 14.2-fold, respectively. DcHsp70 effectively enhanced ADH's solubility at 37 °C in vitro.

Conclusion: Our results suggest that plant Hsps can enhance recombinant protein activity, such as ADH, more effectively than their bacterial counterparts. Identifying effective molecular chaperones in the bacterial and eukaryotic domains will help enhance the production of recombinant proteins in E. coli.

Abstract Image

Abstract Image

Abstract Image

植物热休克蛋白比细菌热休克蛋白更有效地提高重组乙醇脱氢酶活性。
背景:在细胞工厂中生产的重组蛋白被用于生物学研究、制药生产、生化和农业应用。分子伴侣,如热休克蛋白(Hsps),与重组蛋白共表达,以提高其产量,稳定性和活性。当使用大肠杆菌作为细胞工厂时,大肠杆菌热休克蛋白是常用的共表达伙伴。目的:研究植物热休克蛋白和细菌热休克蛋白分子伴侣活性对重组蛋白活性的影响。比较了胡萝卜热蛋白和大肠杆菌热蛋白对体外正常和高温条件下重组醇脱氢酶(ADH)活性和溶解度的影响。材料和方法:分别在pET11a或pET26b载体上克隆his标记的胡萝卜Hsps (DcHsp17.7和DcHsp70)、大肠杆菌Hsps (IbpA、IbpB和DnaK)和ADH,导入大肠杆菌BL21(DE3),用异丙基β- d -1-硫代半乳糖苷处理(0.5 mM, 16°C, 20 h),重组蛋白用Ni-NTA亲和层析纯化,SDS-PAGE(17%)分离。重组ADH分别用单独或联合热休克蛋白处理,在od值340时测定NADH产物水平,检测酶活性。结果:重组ADH在大肠杆菌中高水平表达,当纯化酶反应时(高达70°C)具有很强的耐热性。与对照组相比,在正常和高温条件下,这5种热休克蛋白均能提高体外ADH活性。在37°C条件下,DcHsp17.7和DcHsp70对酶活性的提高最有效,分别达到13.0和11.6倍,其次是IbpA(8.4倍)、DnaK(6.5倍)和IbpB(3.4倍)。DcHsp17.7-DcHsp70和DcHsp17.7-DnaK联合孵育,ADH活性分别提高13.8倍和14.2倍。DcHsp70能有效提高ADH在体外37℃的溶解度。结论:植物热休克蛋白能比细菌热休克蛋白更有效地提高重组蛋白的活性,如ADH。在细菌和真核结构域中鉴定有效的分子伴侣将有助于提高大肠杆菌重组蛋白的生产。
本文章由计算机程序翻译,如有差异,请以英文原文为准。
求助全文
约1分钟内获得全文 求助全文
来源期刊
Iranian Journal of Biotechnology
Iranian Journal of Biotechnology BIOTECHNOLOGY & APPLIED MICROBIOLOGY-
CiteScore
2.60
自引率
7.70%
发文量
20
期刊介绍: Iranian Journal of Biotechnology (IJB) is published quarterly by the National Institute of Genetic Engineering and Biotechnology. IJB publishes original scientific research papers in the broad area of Biotechnology such as, Agriculture, Animal and Marine Sciences, Basic Sciences, Bioinformatics, Biosafety and Bioethics, Environment, Industry and Mining and Medical Sciences.
×
引用
GB/T 7714-2015
复制
MLA
复制
APA
复制
导出至
BibTeX EndNote RefMan NoteFirst NoteExpress
×
提示
您的信息不完整,为了账户安全,请先补充。
现在去补充
×
提示
您因"违规操作"
具体请查看互助需知
我知道了
×
提示
确定
请完成安全验证×
copy
已复制链接
快去分享给好友吧!
我知道了
右上角分享
点击右上角分享
0
联系我们:info@booksci.cn Book学术提供免费学术资源搜索服务,方便国内外学者检索中英文文献。致力于提供最便捷和优质的服务体验。 Copyright © 2023 布克学术 All rights reserved.
京ICP备2023020795号-1
ghs 京公网安备 11010802042870号
Book学术文献互助
Book学术文献互助群
群 号:604180095
Book学术官方微信