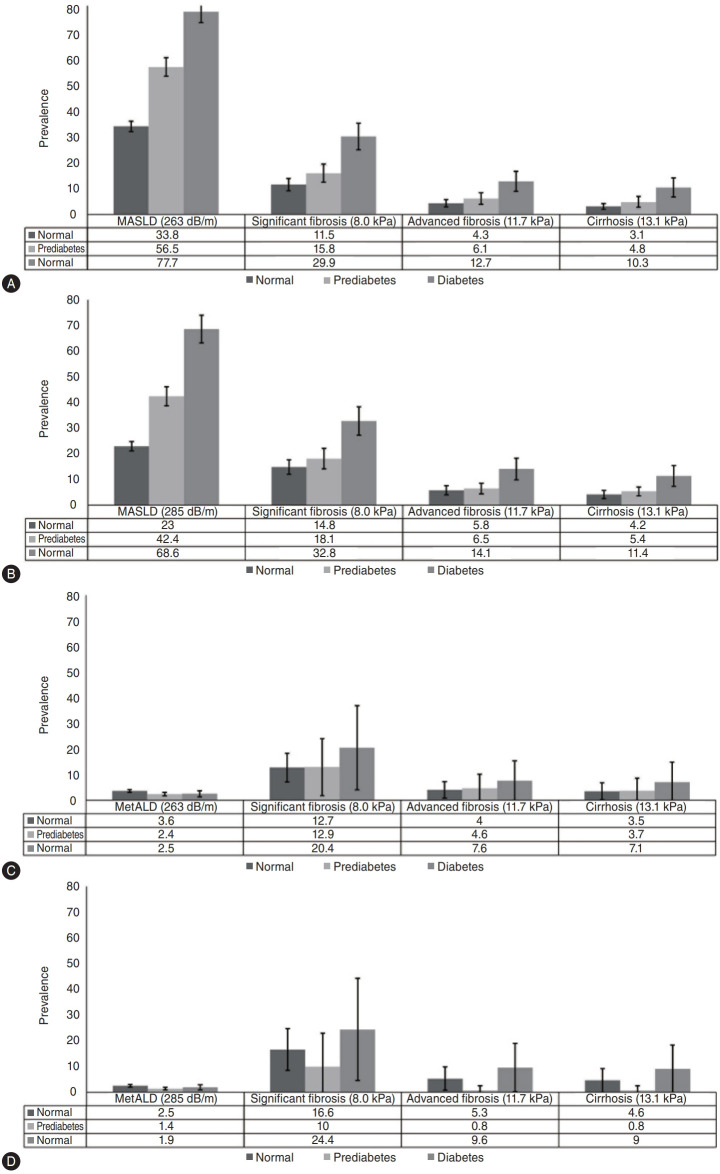
Current burden of MASLD, MetALD, and hepatic fibrosis among US adults with prediabetes and diabetes, 2017-2023.

IF 16.9 1区 医学 Q1 GASTROENTEROLOGY & HEPATOLOGY
Clinical and Molecular Hepatology Pub Date : 2025-07-01 Epub Date: 2024-12-30 DOI:10.3350/cmh.2024.1150
Donghee Kim, Rohit Loomba, Aijaz Ahmed
{"title":"Current burden of MASLD, MetALD, and hepatic fibrosis among US adults with prediabetes and diabetes, 2017-2023.","authors":"Donghee Kim, Rohit Loomba, Aijaz Ahmed","doi":"10.3350/cmh.2024.1150","DOIUrl":null,"url":null,"abstract":"","PeriodicalId":10275,"journal":{"name":"Clinical and Molecular Hepatology","volume":" ","pages":"e235-e238"},"PeriodicalIF":16.9000,"publicationDate":"2025-07-01","publicationTypes":"Journal Article","fieldsOfStudy":null,"isOpenAccess":false,"openAccessPdf":"https://www.ncbi.nlm.nih.gov/pmc/articles/PMC12260613/pdf/","citationCount":"0","resultStr":null,"platform":"Semanticscholar","paperid":null,"PeriodicalName":"Clinical and Molecular Hepatology","FirstCategoryId":"3","ListUrlMain":"https://doi.org/10.3350/cmh.2024.1150","RegionNum":1,"RegionCategory":"医学","ArticlePicture":[],"TitleCN":null,"AbstractTextCN":null,"PMCID":null,"EPubDate":"2024/12/30 0:00:00","PubModel":"Epub","JCR":"Q1","JCRName":"GASTROENTEROLOGY & HEPATOLOGY","Score":null,"Total":0}
引用次数: 0

Abstract Image

2017-2023年美国成人糖尿病前期和糖尿病患者的MASLD、MetALD和肝纤维化负担
本文章由计算机程序翻译,如有差异,请以英文原文为准。
求助全文
约1分钟内获得全文 求助全文
来源期刊
Clinical and Molecular Hepatology
Clinical and Molecular Hepatology Medicine-Hepatology
CiteScore
15.60
自引率
9.00%
发文量
89
审稿时长
10 weeks
期刊介绍: Clinical and Molecular Hepatology is an internationally recognized, peer-reviewed, open-access journal published quarterly in English. Its mission is to disseminate cutting-edge knowledge, trends, and insights into hepatobiliary diseases, fostering an inclusive academic platform for robust debate and discussion among clinical practitioners, translational researchers, and basic scientists. With a multidisciplinary approach, the journal strives to enhance public health, particularly in the resource-limited Asia-Pacific region, which faces significant challenges such as high prevalence of B viral infection and hepatocellular carcinoma. Furthermore, Clinical and Molecular Hepatology prioritizes epidemiological studies of hepatobiliary diseases across diverse regions including East Asia, North Asia, Southeast Asia, Central Asia, South Asia, Southwest Asia, Pacific, Africa, Central Europe, Eastern Europe, Central America, and South America. The journal publishes a wide range of content, including original research papers, meta-analyses, letters to the editor, case reports, reviews, guidelines, editorials, and liver images and pathology, encompassing all facets of hepatology.
×
引用
GB/T 7714-2015
复制
MLA
复制
APA
复制
导出至
BibTeX EndNote RefMan NoteFirst NoteExpress
×
提示
您的信息不完整,为了账户安全,请先补充。
现在去补充
×
提示
您因"违规操作"
具体请查看互助需知
我知道了
×
提示
确定
请完成安全验证×
copy
已复制链接
快去分享给好友吧!
我知道了
右上角分享
点击右上角分享
0
联系我们:info@booksci.cn Book学术提供免费学术资源搜索服务,方便国内外学者检索中英文文献。致力于提供最便捷和优质的服务体验。 Copyright © 2023 布克学术 All rights reserved.
京ICP备2023020795号-1
ghs 京公网安备 11010802042870号
Book学术文献互助
Book学术文献互助群
群 号:604180095
Book学术官方微信