Immediate Effects of Whole Body Vibration on Proprioception and Upper Extremity Reaction Speed in Young Adult Students.

IF 2 4区 医学 Q2 PUBLIC, ENVIRONMENTAL & OCCUPATIONAL HEALTH
Cagtay Maden, Sedat Yiğit, Demet Karabulut, Fatma Betül Kavak, Hatice Yıldırım, Gönül Elpeze, Mehmet Göl
{"title":"Immediate Effects of Whole Body Vibration on Proprioception and Upper Extremity Reaction Speed in Young Adult Students.","authors":"Cagtay Maden, Sedat Yiğit, Demet Karabulut, Fatma Betül Kavak, Hatice Yıldırım, Gönül Elpeze, Mehmet Göl","doi":"10.23749/mdl.v115i6.16523","DOIUrl":null,"url":null,"abstract":"<p><strong>Background: </strong>There is limited information on the immediate effects of whole-body vibration (WBV) on the upper limb. This study aims to determine the immediate effects of WBV on reaction speed and proprioception in young adult students' upper extremities.</p><p><strong>Methods: </strong>In total, 62 students participated in the study. WBV was applied to the participants, and its immediate effects on proprioception and upper extremity reaction speed were examined. Participants' proprioception and perception of joint position at 30-60 degrees of shoulder flexion, shoulder abduction, and elbow flexion angles were measured with absolute error degrees. Reaction rates were evaluated with the Ruler-Drop Test and the mobile application SWAY.</p><p><strong>Results: </strong>A decrease was observed in the absolute error level of the participants' joint position perception at 30-60 elbow and shoulder position degrees, measured after immediate WBV application (p <0.05). After the RDT application, a decrease in the length of catching the target was observed (p <0.05). The SWAY test determined that they moved the smartphone in a shorter time (p <0.05). Right and left RDT scores showed that the distance to catch the ruler was significantly lower in male individuals before the application. In comparison, the distance to catch the ruler was lower after the application (right/left p<0.05).</p><p><strong>Conclusions: </strong>The study found that applying WBV improved upper extremity proprioception perception and reaction speed in young adults. This information can guide clinicians in applying WBV to healthy individuals and those with symptoms.</p>","PeriodicalId":49833,"journal":{"name":"Medicina Del Lavoro","volume":"115 6","pages":"e2024045"},"PeriodicalIF":2.0000,"publicationDate":"2024-12-19","publicationTypes":"Journal Article","fieldsOfStudy":null,"isOpenAccess":false,"openAccessPdf":"https://www.ncbi.nlm.nih.gov/pmc/articles/PMC11734632/pdf/","citationCount":"0","resultStr":null,"platform":"Semanticscholar","paperid":null,"PeriodicalName":"Medicina Del Lavoro","FirstCategoryId":"3","ListUrlMain":"https://doi.org/10.23749/mdl.v115i6.16523","RegionNum":4,"RegionCategory":"医学","ArticlePicture":[],"TitleCN":null,"AbstractTextCN":null,"PMCID":null,"EPubDate":"","PubModel":"","JCR":"Q2","JCRName":"PUBLIC, ENVIRONMENTAL & OCCUPATIONAL HEALTH","Score":null,"Total":0}
引用次数: 0

Abstract

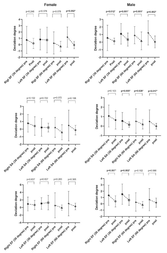
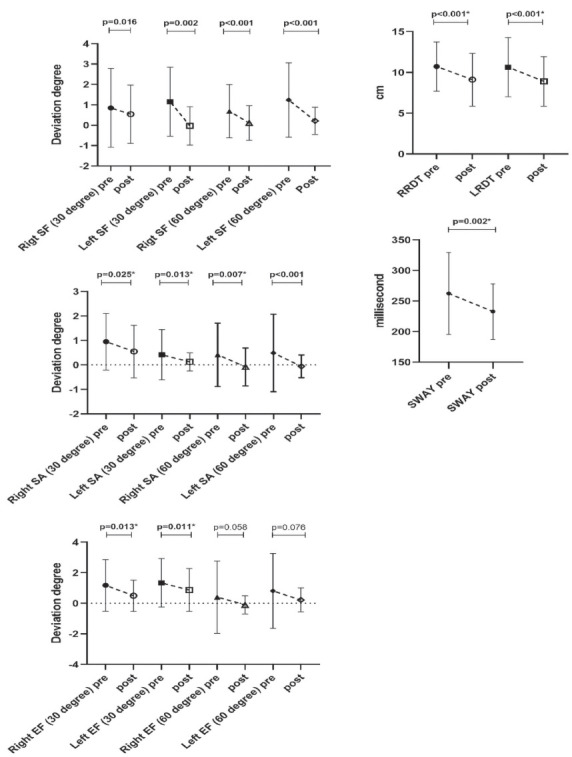
Background: There is limited information on the immediate effects of whole-body vibration (WBV) on the upper limb. This study aims to determine the immediate effects of WBV on reaction speed and proprioception in young adult students' upper extremities.

Methods: In total, 62 students participated in the study. WBV was applied to the participants, and its immediate effects on proprioception and upper extremity reaction speed were examined. Participants' proprioception and perception of joint position at 30-60 degrees of shoulder flexion, shoulder abduction, and elbow flexion angles were measured with absolute error degrees. Reaction rates were evaluated with the Ruler-Drop Test and the mobile application SWAY.

Results: A decrease was observed in the absolute error level of the participants' joint position perception at 30-60 elbow and shoulder position degrees, measured after immediate WBV application (p <0.05). After the RDT application, a decrease in the length of catching the target was observed (p <0.05). The SWAY test determined that they moved the smartphone in a shorter time (p <0.05). Right and left RDT scores showed that the distance to catch the ruler was significantly lower in male individuals before the application. In comparison, the distance to catch the ruler was lower after the application (right/left p<0.05).

Conclusions: The study found that applying WBV improved upper extremity proprioception perception and reaction speed in young adults. This information can guide clinicians in applying WBV to healthy individuals and those with symptoms.

Abstract Image

Abstract Image

Abstract Image

全身振动对青年学生本体感觉及上肢反应速度的直接影响。
背景:关于全身振动(WBV)对上肢的直接影响的信息有限。本研究旨在探讨白脑对青年学生上肢反应速度和本体感觉的直接影响。方法:共62名学生参与研究。将WBV应用于被试,观察其对本体感觉和上肢反应速度的直接影响。以绝对误差度测量参与者在30-60度肩屈、肩外展和肘关节屈曲角度的本体感觉和关节位置感知。用尺子跌落测试和移动应用程序SWAY评估反应率。结果:立即应用WBV后,观察到参与者在30-60肘部和肩部位置度的关节位置感知的绝对误差水平降低(p)。结论:研究发现,应用WBV改善了年轻人上肢本体感觉知觉和反应速度。这些信息可以指导临床医生对健康个体和有症状的个体应用白细胞计数。
本文章由计算机程序翻译,如有差异,请以英文原文为准。
求助全文
约1分钟内获得全文 求助全文
来源期刊
Medicina Del Lavoro
Medicina Del Lavoro 医学-公共卫生、环境卫生与职业卫生
CiteScore
4.70
自引率
7.40%
发文量
42
审稿时长
>12 weeks
期刊介绍: La Medicina del Lavoro is a bimonthly magazine founded in 1901 by L. Devoto, and then directed by L. Prieti, E. Vigliani, V. Foà, P.A. Bertazzi (Milan). Now directed by A. Mutti (Parma), the magazine is the official Journal of the Italian Society of Occupational Medicine (SIML), aimed at training and updating all professionals involved in prevention and cure of occupational diseases.
×
引用
GB/T 7714-2015
复制
MLA
复制
APA
复制
导出至
BibTeX EndNote RefMan NoteFirst NoteExpress
×
提示
您的信息不完整,为了账户安全,请先补充。
现在去补充
×
提示
您因"违规操作"
具体请查看互助需知
我知道了
×
提示
确定
请完成安全验证×
copy
已复制链接
快去分享给好友吧!
我知道了
右上角分享
点击右上角分享
0
联系我们:info@booksci.cn Book学术提供免费学术资源搜索服务,方便国内外学者检索中英文文献。致力于提供最便捷和优质的服务体验。 Copyright © 2023 布克学术 All rights reserved.
京ICP备2023020795号-1
ghs 京公网安备 11010802042870号
Book学术文献互助
Book学术文献互助群
群 号:604180095
Book学术官方微信