Effects of Pemafibrate on LDL-C and Related Lipid Markers in Patients with MASLD: A Sub-Analysis of the PEMA-FL Study.

IF 2.8 2区 医学 Q2 PERIPHERAL VASCULAR DISEASE
Journal of atherosclerosis and thrombosis Pub Date : 2025-07-01 Epub Date: 2024-12-18 DOI:10.5551/jat.65395
Ryohei Tanigawa, Atsushi Nakajima, Yuichiro Eguchi, Hirokazu Takahashi, Rohit Loomba, Hideki Suganami, Masaya Tanahashi, Ayumi Saito, Yuki Iida, Shizuya Yamashita
{"title":"Effects of Pemafibrate on LDL-C and Related Lipid Markers in Patients with MASLD: A Sub-Analysis of the PEMA-FL Study.","authors":"Ryohei Tanigawa, Atsushi Nakajima, Yuichiro Eguchi, Hirokazu Takahashi, Rohit Loomba, Hideki Suganami, Masaya Tanahashi, Ayumi Saito, Yuki Iida, Shizuya Yamashita","doi":"10.5551/jat.65395","DOIUrl":null,"url":null,"abstract":"<p><strong>Aim: </strong>In the PEMA-FL study in patients with metabolic dysfunction-associated steatotic liver disease (MASLD), pemafibrate was shown to significantly decrease low-density lipoprotein cholesterol (LDL-C) levels. We aimed to investigate the mechanisms of pemafibrate-induced LDL-C reduction in patients with MASLD by conducting an additional sub-analysis of the PEMA-FL study.</p><p><strong>Methods: </strong>The PEMA-FL study randomized 118 patients with MASLD to receive pemafibrate or placebo for 72 weeks. This sub-analysis examined the percentage change in LDL-C and related lipid markers by tertile of baseline LDL-C levels and the correlation between these changes in the pemafibrate group.</p><p><strong>Results: </strong>Pemafibrate significantly decreased LDL-C levels approximately 25% (p<0.001 at all timepoints) from baseline in the highest tertile of baseline LDL-C levels (≥ 137.5 mg/dL), with similar trends for non-high-density lipoprotein cholesterol (non-HDL-C) and apolipoprotein B (ApoB) levels. Lipoprotein (a) [Lp(a)] levels decreased only in patients with the highest baseline LDL-C levels. Regardless of the baseline LDL-C levels, pemafibrate altered the LDL particle profile (increased LDL particle size and decreased the number); reduced lathosterol, β-sitosterol, and campesterol; and increased angiopoietin-like protein 3 (ANGPTL3). The percentage change in LDL-C positively correlated with that in ApoB, non-HDL-C, Lp(a), lathosterol, β-sitosterol, and campesterol but not HDL-C and ANGPTL3.</p><p><strong>Conclusion: </strong>Pemafibrate reduced LDL-C, ApoB, and non-HDL-C levels in patients with MASLD, and the effect was greater in those with higher baseline LDL-C levels. Pemafibrate may clinically benefit patients with MASLD by improving LDL-C levels and the LDL particle profile.</p>","PeriodicalId":15128,"journal":{"name":"Journal of atherosclerosis and thrombosis","volume":" ","pages":"823-839"},"PeriodicalIF":2.8000,"publicationDate":"2025-07-01","publicationTypes":"Journal Article","fieldsOfStudy":null,"isOpenAccess":false,"openAccessPdf":"https://www.ncbi.nlm.nih.gov/pmc/articles/PMC12237786/pdf/","citationCount":"0","resultStr":null,"platform":"Semanticscholar","paperid":null,"PeriodicalName":"Journal of atherosclerosis and thrombosis","FirstCategoryId":"3","ListUrlMain":"https://doi.org/10.5551/jat.65395","RegionNum":2,"RegionCategory":"医学","ArticlePicture":[],"TitleCN":null,"AbstractTextCN":null,"PMCID":null,"EPubDate":"2024/12/18 0:00:00","PubModel":"Epub","JCR":"Q2","JCRName":"PERIPHERAL VASCULAR DISEASE","Score":null,"Total":0}
引用次数: 0

Abstract

Aim: In the PEMA-FL study in patients with metabolic dysfunction-associated steatotic liver disease (MASLD), pemafibrate was shown to significantly decrease low-density lipoprotein cholesterol (LDL-C) levels. We aimed to investigate the mechanisms of pemafibrate-induced LDL-C reduction in patients with MASLD by conducting an additional sub-analysis of the PEMA-FL study.

Methods: The PEMA-FL study randomized 118 patients with MASLD to receive pemafibrate or placebo for 72 weeks. This sub-analysis examined the percentage change in LDL-C and related lipid markers by tertile of baseline LDL-C levels and the correlation between these changes in the pemafibrate group.

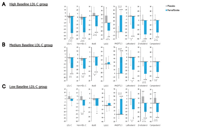
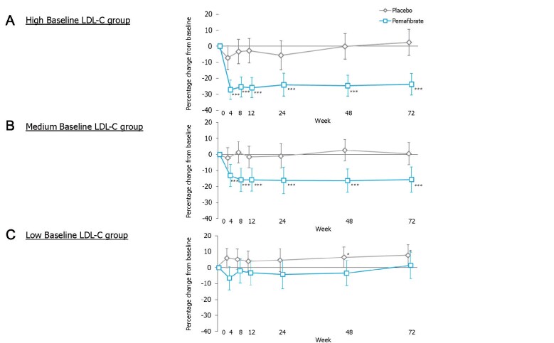
Results: Pemafibrate significantly decreased LDL-C levels approximately 25% (p<0.001 at all timepoints) from baseline in the highest tertile of baseline LDL-C levels (≥ 137.5 mg/dL), with similar trends for non-high-density lipoprotein cholesterol (non-HDL-C) and apolipoprotein B (ApoB) levels. Lipoprotein (a) [Lp(a)] levels decreased only in patients with the highest baseline LDL-C levels. Regardless of the baseline LDL-C levels, pemafibrate altered the LDL particle profile (increased LDL particle size and decreased the number); reduced lathosterol, β-sitosterol, and campesterol; and increased angiopoietin-like protein 3 (ANGPTL3). The percentage change in LDL-C positively correlated with that in ApoB, non-HDL-C, Lp(a), lathosterol, β-sitosterol, and campesterol but not HDL-C and ANGPTL3.

Conclusion: Pemafibrate reduced LDL-C, ApoB, and non-HDL-C levels in patients with MASLD, and the effect was greater in those with higher baseline LDL-C levels. Pemafibrate may clinically benefit patients with MASLD by improving LDL-C levels and the LDL particle profile.

Abstract Image

Abstract Image

Abstract Image

pemafbrate对MASLD患者LDL-C及相关脂质标志物的影响:pama - fl研究的亚分析
目的:在代谢功能障碍相关脂肪变性肝病(MASLD)患者的pama - fl研究中,pemafbrate被证明可以显著降低低密度脂蛋白胆固醇(LDL-C)水平。我们的目的是通过对pama - fl研究进行额外的亚分析,研究pemafbrate诱导MASLD患者LDL-C降低的机制。方法:pama - fl研究将118例MASLD患者随机分为两组,分别接受保马菲特或安慰剂治疗72周。该亚分析通过基线LDL-C水平的分位数检查了LDL-C和相关脂质标志物的百分比变化,以及这些变化之间的相关性。结果:在基线LDL-C水平(≥137.5 mg/dL)的最高分位数中,培马菲特显著降低了基线LDL-C水平约25%(所有时间点p<0.001),非高密度脂蛋白胆固醇(non-HDL-C)和载脂蛋白B (ApoB)水平也有类似的趋势。脂蛋白(a) [Lp(a)]水平仅在基线LDL-C水平最高的患者中下降。无论基线LDL- c水平如何,压脉颤振改变了LDL颗粒分布(增加LDL颗粒大小并减少数量);还原乙醇甾醇、β-谷甾醇和油菜甾醇;血管生成素样蛋白3 (ANGPTL3)升高。LDL-C变化百分比与ApoB、非HDL-C、Lp(a)、胆固醇、β-谷甾醇、油菜甾醇变化百分比呈正相关,与HDL-C、ANGPTL3变化百分比无关。结论:pemafbrate降低了MASLD患者的LDL-C、ApoB和非hdl - c水平,并且在基线LDL-C水平较高的患者中效果更大。培马替特可能通过改善LDL- c水平和LDL颗粒谱在临床上对MASLD患者有益。
本文章由计算机程序翻译,如有差异,请以英文原文为准。
求助全文
约1分钟内获得全文 求助全文
来源期刊
CiteScore
6.60
自引率
15.90%
发文量
271
审稿时长
1 months
期刊介绍: JAT publishes articles focused on all aspects of research on atherosclerosis, vascular biology, thrombosis, lipid and metabolism.
×
引用
GB/T 7714-2015
复制
MLA
复制
APA
复制
导出至
BibTeX EndNote RefMan NoteFirst NoteExpress
×
提示
您的信息不完整,为了账户安全,请先补充。
现在去补充
×
提示
您因"违规操作"
具体请查看互助需知
我知道了
×
提示
确定
请完成安全验证×
copy
已复制链接
快去分享给好友吧!
我知道了
右上角分享
点击右上角分享
0
联系我们:info@booksci.cn Book学术提供免费学术资源搜索服务,方便国内外学者检索中英文文献。致力于提供最便捷和优质的服务体验。 Copyright © 2023 布克学术 All rights reserved.
京ICP备2023020795号-1
ghs 京公网安备 11010802042870号
Book学术文献互助
Book学术文献互助群
群 号:604180095
Book学术官方微信