A prospective pilot study of kidney-specific biomarkers to detect acute kidney injury after cytoreduction and hyperthermic intraperitoneal chemotherapy.

IF 0.9 4区 医学 Q4 MEDICINE, RESEARCH & EXPERIMENTAL
Asian Biomedicine Pub Date : 2024-12-16 eCollection Date: 2024-12-01 DOI:10.2478/abm-2024-0034
Chao-Yu Chen, Ting-Yao Wang, Hung-Yu Chang, Min-Chi Chen, Lan-Yan Yang
{"title":"A prospective pilot study of kidney-specific biomarkers to detect acute kidney injury after cytoreduction and hyperthermic intraperitoneal chemotherapy.","authors":"Chao-Yu Chen, Ting-Yao Wang, Hung-Yu Chang, Min-Chi Chen, Lan-Yan Yang","doi":"10.2478/abm-2024-0034","DOIUrl":null,"url":null,"abstract":"<p><strong>Background: </strong>Acute kidney injury (AKI) is a critical morbidity after cytoreduction and hyperthermic intraperitoneal chemotherapy (CRS/HIPEC).</p><p><strong>Objective: </strong>This study was conducted to investigate the use of kidney-specific biomarkers to evaluate the diagnostic accuracy of post-HIPEC AKI.</p><p><strong>Methods: </strong>Patients who received CRS/HIPEC were prospectively enrolled in this study. We serially sampled urine neutrophil gelatinase-associated lipocalin (NGAL), serum cystatin C (sCyC), and β2 microglobulin (sβ2-MG) on the day before CRS/HIPEC and then 2 h, 1 d, 2 d, 3 d, and 7 d after CRS/HIPEC. The primary outcome was the occurrence of AKI during the first 7 d. The areas under the receiver operating characteristic curve (AUCs) were calculated to evaluate the detection performance.</p><p><strong>Results: </strong>A total of 75 patients were eligible, of whom 5 (6.7%) fulfilled the criteria of AKI during the study period (AKI group) and 70 did not (non-AKI group). No significant differences were observed in these biomarkers between the two groups, except for sβ2-MG on day 3 (<i>P</i> = 0.025). Regarding changes in biomarker concentrations, the AKI group had a significantly higher concentration range of sCyC on day 3 (<i>P</i> = 0.009) and sβ2-MG on day 1 and day 3 (<i>P</i> = 0.013 and 0.019).</p><p><strong>Conclusions: </strong>This is the first prospective study to evaluate the value of kidney-specific biomarkers in patients after CRS/HIPEC. We found that AKI cannot be predicted by simply using the absolute measurements of these biomarkers because of the heterogeneous characteristics of the patients.</p>","PeriodicalId":8501,"journal":{"name":"Asian Biomedicine","volume":"18 6","pages":"268-280"},"PeriodicalIF":0.9000,"publicationDate":"2024-12-16","publicationTypes":"Journal Article","fieldsOfStudy":null,"isOpenAccess":false,"openAccessPdf":"https://www.ncbi.nlm.nih.gov/pmc/articles/PMC11650413/pdf/","citationCount":"0","resultStr":null,"platform":"Semanticscholar","paperid":null,"PeriodicalName":"Asian Biomedicine","FirstCategoryId":"3","ListUrlMain":"https://doi.org/10.2478/abm-2024-0034","RegionNum":4,"RegionCategory":"医学","ArticlePicture":[],"TitleCN":null,"AbstractTextCN":null,"PMCID":null,"EPubDate":"2024/12/1 0:00:00","PubModel":"eCollection","JCR":"Q4","JCRName":"MEDICINE, RESEARCH & EXPERIMENTAL","Score":null,"Total":0}
引用次数: 0

Abstract

Background: Acute kidney injury (AKI) is a critical morbidity after cytoreduction and hyperthermic intraperitoneal chemotherapy (CRS/HIPEC).

Objective: This study was conducted to investigate the use of kidney-specific biomarkers to evaluate the diagnostic accuracy of post-HIPEC AKI.

Methods: Patients who received CRS/HIPEC were prospectively enrolled in this study. We serially sampled urine neutrophil gelatinase-associated lipocalin (NGAL), serum cystatin C (sCyC), and β2 microglobulin (sβ2-MG) on the day before CRS/HIPEC and then 2 h, 1 d, 2 d, 3 d, and 7 d after CRS/HIPEC. The primary outcome was the occurrence of AKI during the first 7 d. The areas under the receiver operating characteristic curve (AUCs) were calculated to evaluate the detection performance.

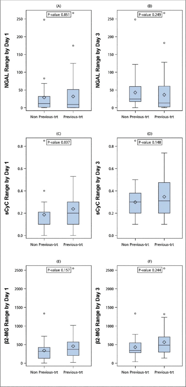
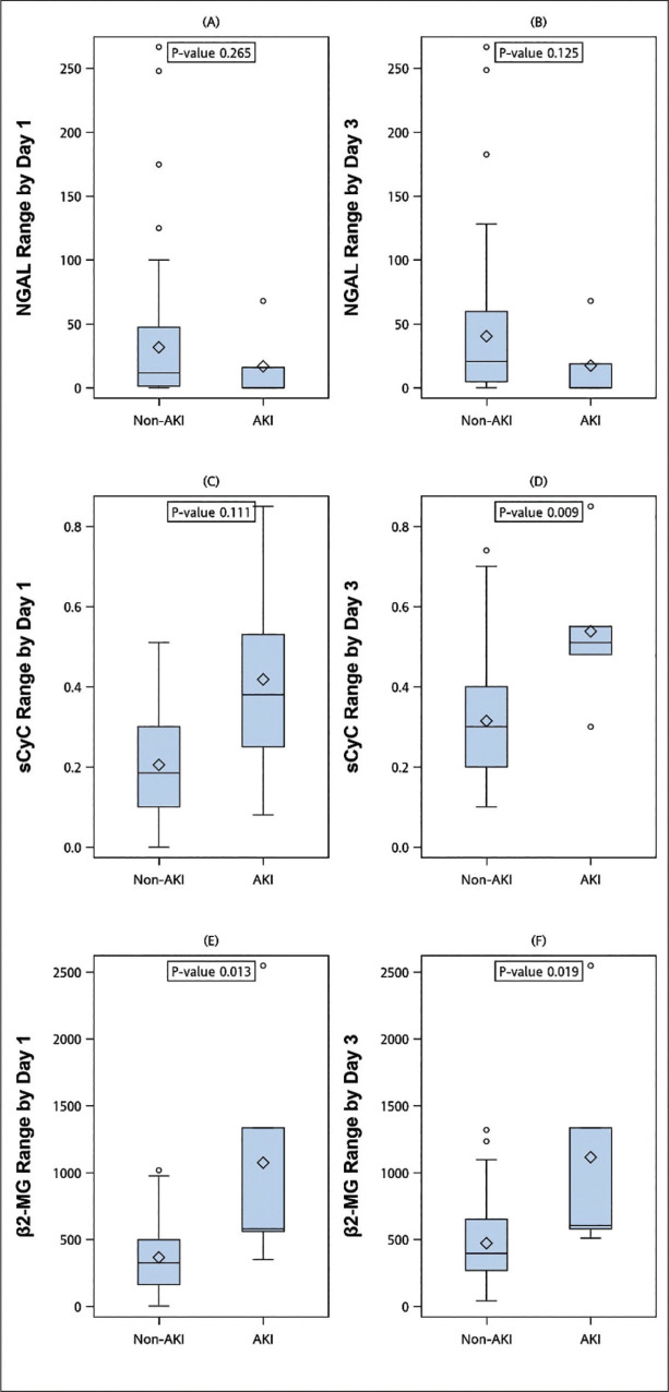
Results: A total of 75 patients were eligible, of whom 5 (6.7%) fulfilled the criteria of AKI during the study period (AKI group) and 70 did not (non-AKI group). No significant differences were observed in these biomarkers between the two groups, except for sβ2-MG on day 3 (P = 0.025). Regarding changes in biomarker concentrations, the AKI group had a significantly higher concentration range of sCyC on day 3 (P = 0.009) and sβ2-MG on day 1 and day 3 (P = 0.013 and 0.019).

Conclusions: This is the first prospective study to evaluate the value of kidney-specific biomarkers in patients after CRS/HIPEC. We found that AKI cannot be predicted by simply using the absolute measurements of these biomarkers because of the heterogeneous characteristics of the patients.

Abstract Image

Abstract Image

Abstract Image

肾特异性生物标志物检测细胞减少和腹腔内高温化疗后急性肾损伤的前瞻性先导研究。
背景:急性肾损伤(AKI)是细胞减少和腹腔内高热化疗(CRS/HIPEC)后的一种严重并发症。目的:本研究旨在探讨使用肾脏特异性生物标志物来评估hipec后AKI的诊断准确性。方法:前瞻性纳入接受CRS/HIPEC治疗的患者。我们在CRS/HIPEC前一天和CRS/HIPEC后2小时、1天、2天、3天和7天连续取样尿中性粒细胞明胶酶相关脂钙蛋白(NGAL)、血清胱抑素C (sCyC)和β2微球蛋白(sβ2-MG)。主要终点是前7天内AKI的发生情况。计算受试者工作特征曲线(auc)下的面积以评估检测性能。结果:共有75例患者入选,其中5例(6.7%)在研究期间达到AKI标准(AKI组),70例(非AKI组)未达到AKI标准。除第3天的sβ2-MG外,两组间这些生物标志物均无显著差异(P = 0.025)。在生物标志物浓度变化方面,AKI组在第3天sCyC (P = 0.009)和sβ2-MG在第1天和第3天的浓度范围显著升高(P = 0.013和0.019)。结论:这是第一个评估CRS/HIPEC患者肾脏特异性生物标志物价值的前瞻性研究。我们发现,由于患者的异质性特征,不能通过简单地使用这些生物标志物的绝对测量来预测AKI。
本文章由计算机程序翻译,如有差异,请以英文原文为准。
求助全文
约1分钟内获得全文 求助全文
来源期刊
Asian Biomedicine
Asian Biomedicine 医学-医学:研究与实验
CiteScore
1.20
自引率
0.00%
发文量
24
审稿时长
6-12 weeks
期刊介绍: Asian Biomedicine: Research, Reviews and News (ISSN 1905-7415 print; 1875-855X online) is published in one volume (of 6 bimonthly issues) a year since 2007. [...]Asian Biomedicine is an international, general medical and biomedical journal that aims to publish original peer-reviewed contributions dealing with various topics in the biomedical and health sciences from basic experimental to clinical aspects. The work and authorship must be strongly affiliated with a country in Asia, or with specific importance and relevance to the Asian region. The Journal will publish reviews, original experimental studies, observational studies, technical and clinical (case) reports, practice guidelines, historical perspectives of Asian biomedicine, clinicopathological conferences, and commentaries Asian biomedicine is intended for a broad and international audience, primarily those in the health professions including researchers, physician practitioners, basic medical scientists, dentists, educators, administrators, those in the assistive professions, such as nurses, and the many types of allied health professionals in research and health care delivery systems including those in training.
×
引用
GB/T 7714-2015
复制
MLA
复制
APA
复制
导出至
BibTeX EndNote RefMan NoteFirst NoteExpress
×
提示
您的信息不完整,为了账户安全,请先补充。
现在去补充
×
提示
您因"违规操作"
具体请查看互助需知
我知道了
×
提示
确定
请完成安全验证×
copy
已复制链接
快去分享给好友吧!
我知道了
右上角分享
点击右上角分享
0
联系我们:info@booksci.cn Book学术提供免费学术资源搜索服务,方便国内外学者检索中英文文献。致力于提供最便捷和优质的服务体验。 Copyright © 2023 布克学术 All rights reserved.
京ICP备2023020795号-1
ghs 京公网安备 11010802042870号
Book学术文献互助
Book学术文献互助群
群 号:604180095
Book学术官方微信