Orthostatic test shows higher systolic blood pressure and sympathetic response in uncomplicated type 1 diabetes patients with normal V̇O2max vs. healthy controls.

IF 3.4 3区 医学 Q1 CLINICAL NEUROLOGY
Clinical Autonomic Research Pub Date : 2025-06-01 Epub Date: 2024-12-17 DOI:10.1007/s10286-024-01094-5
Samu Sorola, Vesa Hyrylä, Timo Eronen, Saana Kupari, Mika Venojärvi, Heikki Tikkanen, Mika Tarvainen, Harri Lindholm
{"title":"Orthostatic test shows higher systolic blood pressure and sympathetic response in uncomplicated type 1 diabetes patients with normal V̇O<sub>2max</sub> vs. healthy controls.","authors":"Samu Sorola, Vesa Hyrylä, Timo Eronen, Saana Kupari, Mika Venojärvi, Heikki Tikkanen, Mika Tarvainen, Harri Lindholm","doi":"10.1007/s10286-024-01094-5","DOIUrl":null,"url":null,"abstract":"<p><strong>Purpose: </strong>Cardiovascular autonomic neuropathy remains underdiagnosed in type 1 diabetes mellitus, posing a risk for severe complications, particularly in patients with lowered V̇O<sub>2max</sub>, compared to controls. This study aimed to determine whether heart rate variability during cardiovascular autonomic reflex tests reveals early signs of cardiovascular autonomic neuropathy in patients with uncomplicated type 1 diabetes mellitus and normal cardiovascular fitness, compared to healthy controls.</p><p><strong>Methods: </strong>A type 1 diabetes mellitus group (n = 14) with no other diagnosed diseases (diabetes duration 15 ± 7 years) and a control group (n = 31) underwent deep breathing test, passive orthostatic test, and cardiopulmonary exercise test. Participants were assessed for heart rate variability, heart rate, blood pressure, and V̇O<sub>2max</sub> (mL/min/kg).</p><p><strong>Results: </strong>Participant characteristics, including V̇O<sub>2max</sub> (mL/min/kg), showed no significant differences. The type 1 diabetes mellitus group had higher systolic blood pressure during the supine phase of the orthostatic test than healthy controls (131.6 ± 14.7 mmHg vs. 122.4 ± 10.8 mmHg, p = 0.022). After 5 mins in the upright position, systolic blood pressure (132.2 ± 20.6 mmHg vs. 118.7 ± 11.7 mmHg, p = 0.036), heart rate (85 (76; 89) bpm vs. 75 (72; 83) bpm, p = 0.013), and the root mean square of successive RR interval differences (20.22 (11.22; 27.42) vs. 27.11 (19.90; 35.52), p = 0.033) were significantly different compared to controls.</p><p><strong>Conclusion: </strong>Patients with uncomplicated type 1 diabetes mellitus, despite having normal cardiorespiratory fitness, exhibited higher systolic pressure and greater sympathetic activation in orthostatic tests, suggesting subclinically altered cardiovascular autonomic function.</p>","PeriodicalId":10168,"journal":{"name":"Clinical Autonomic Research","volume":" ","pages":"381-391"},"PeriodicalIF":3.4000,"publicationDate":"2025-06-01","publicationTypes":"Journal Article","fieldsOfStudy":null,"isOpenAccess":false,"openAccessPdf":"https://www.ncbi.nlm.nih.gov/pmc/articles/PMC12137366/pdf/","citationCount":"0","resultStr":null,"platform":"Semanticscholar","paperid":null,"PeriodicalName":"Clinical Autonomic Research","FirstCategoryId":"3","ListUrlMain":"https://doi.org/10.1007/s10286-024-01094-5","RegionNum":3,"RegionCategory":"医学","ArticlePicture":[],"TitleCN":null,"AbstractTextCN":null,"PMCID":null,"EPubDate":"2024/12/17 0:00:00","PubModel":"Epub","JCR":"Q1","JCRName":"CLINICAL NEUROLOGY","Score":null,"Total":0}
引用次数: 0

Abstract

Purpose: Cardiovascular autonomic neuropathy remains underdiagnosed in type 1 diabetes mellitus, posing a risk for severe complications, particularly in patients with lowered V̇O2max, compared to controls. This study aimed to determine whether heart rate variability during cardiovascular autonomic reflex tests reveals early signs of cardiovascular autonomic neuropathy in patients with uncomplicated type 1 diabetes mellitus and normal cardiovascular fitness, compared to healthy controls.

Methods: A type 1 diabetes mellitus group (n = 14) with no other diagnosed diseases (diabetes duration 15 ± 7 years) and a control group (n = 31) underwent deep breathing test, passive orthostatic test, and cardiopulmonary exercise test. Participants were assessed for heart rate variability, heart rate, blood pressure, and V̇O2max (mL/min/kg).

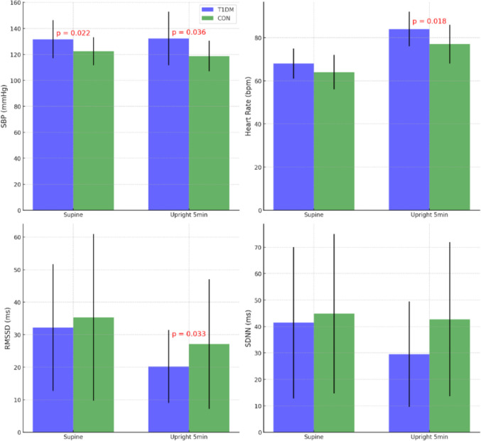
Results: Participant characteristics, including V̇O2max (mL/min/kg), showed no significant differences. The type 1 diabetes mellitus group had higher systolic blood pressure during the supine phase of the orthostatic test than healthy controls (131.6 ± 14.7 mmHg vs. 122.4 ± 10.8 mmHg, p = 0.022). After 5 mins in the upright position, systolic blood pressure (132.2 ± 20.6 mmHg vs. 118.7 ± 11.7 mmHg, p = 0.036), heart rate (85 (76; 89) bpm vs. 75 (72; 83) bpm, p = 0.013), and the root mean square of successive RR interval differences (20.22 (11.22; 27.42) vs. 27.11 (19.90; 35.52), p = 0.033) were significantly different compared to controls.

Conclusion: Patients with uncomplicated type 1 diabetes mellitus, despite having normal cardiorespiratory fitness, exhibited higher systolic pressure and greater sympathetic activation in orthostatic tests, suggesting subclinically altered cardiovascular autonomic function.

Abstract Image

Abstract Image

直立试验显示,与健康对照相比,无并发症的1型糖尿病患者vo2max正常的收缩压和交感神经反应较高。
目的:与对照组相比,心血管自主神经病变在1型糖尿病中仍未得到充分诊断,具有严重并发症的风险,特别是在vo2max降低的患者中。本研究旨在确定与健康对照者相比,心血管自主反射试验中的心率变异性是否能揭示无并发症的心血管健康正常的1型糖尿病患者心血管自主神经病变的早期体征。方法:1型糖尿病组(n = 14)无其他诊断疾病(糖尿病病程15±7年),对照组(n = 31)进行深呼吸试验、被动立位试验和心肺运动试验。评估参与者的心率变异性、心率、血压和V / O2max (mL/min/kg)。结果:两组受试者的血氧饱和度(vo2max, mL/min/kg)无显著性差异。1型糖尿病组仰卧位时收缩压高于健康对照组(131.6±14.7 mmHg vs 122.4±10.8 mmHg, p = 0.022)。直立体位5min后,收缩压(132.2±20.6 mmHg vs. 118.7±11.7 mmHg, p = 0.036),心率(85 (76;89) BPM vs. 75 (72;83) bpm, p = 0.013),连续RR区间差异的均方根(20.22 (11.22;27.42) vs. 27.11 (19.90;35.52), p = 0.033),与对照组比较差异有统计学意义。结论:无并发症的1型糖尿病患者,尽管心肺功能正常,但在直立试验中表现出更高的收缩压和更大的交感神经激活,提示亚临床心血管自主神经功能改变。
本文章由计算机程序翻译,如有差异,请以英文原文为准。
求助全文
约1分钟内获得全文 求助全文
来源期刊
Clinical Autonomic Research
Clinical Autonomic Research 医学-临床神经学
CiteScore
7.40
自引率
6.90%
发文量
65
审稿时长
>12 weeks
期刊介绍: Clinical Autonomic Research aims to draw together and disseminate research work from various disciplines and specialties dealing with clinical problems resulting from autonomic dysfunction. Areas to be covered include: cardiovascular system, neurology, diabetes, endocrinology, urology, pain disorders, ophthalmology, gastroenterology, toxicology and clinical pharmacology, skin infectious diseases, renal disease. This journal is an essential source of new information for everyone working in areas involving the autonomic nervous system. A major feature of Clinical Autonomic Research is its speed of publication coupled with the highest refereeing standards.
×
引用
GB/T 7714-2015
复制
MLA
复制
APA
复制
导出至
BibTeX EndNote RefMan NoteFirst NoteExpress
×
提示
您的信息不完整,为了账户安全,请先补充。
现在去补充
×
提示
您因"违规操作"
具体请查看互助需知
我知道了
×
提示
确定
请完成安全验证×
copy
已复制链接
快去分享给好友吧!
我知道了
右上角分享
点击右上角分享
0
联系我们:info@booksci.cn Book学术提供免费学术资源搜索服务,方便国内外学者检索中英文文献。致力于提供最便捷和优质的服务体验。 Copyright © 2023 布克学术 All rights reserved.
京ICP备2023020795号-1
ghs 京公网安备 11010802042870号
Book学术文献互助
Book学术文献互助群
群 号:604180095
Book学术官方微信